1.2.4 2.4 矩阵的分块

2.4 矩阵的分块

对于行数和列数较高的矩阵,运算时常采用分块法,使大矩阵的运算转化为小矩阵的运算. 将矩阵用若干条纵线和横线分成若干个小矩阵,每个小矩阵称为原矩阵的子块,以子块为元素的形式上的矩阵称为分块矩阵.

例如

0046-02

可如下分块:

0046-03

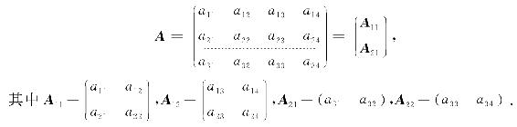
一个矩阵可以按不同的方式分块,上述矩阵A也可如下分块:

0047-01

其中,aj=(a1j,a2j,…,amjT,j=1,2,…,n.

由此可见,矩阵的分块方式很多,究竟采用哪种方式分块,要根据矩阵的具体运算来确定.

分块矩阵的运算:分块后的矩阵,把小矩阵当成元素,按普通矩阵的运算法则进行运算.

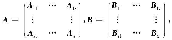
①设矩阵A与B是同型矩阵,且采用相同的分块法,得分块矩阵为

0047-02

其中,各对应的子块Aij与Bij具有相同的行数和列数,则

0047-03
0048-01

③设A为m×l矩阵,B为l×n矩阵,分块为

0048-02

此处A的列的分法与B的行的分法一致,即Ai1,A=i2,…,Ait的列数分别等于B1j,B2j,…,Btj的行数,则

0048-03

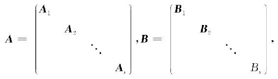
其中,只有在对角线上有非零子块,其余的子块都为零矩阵,且在对角线上的子块都是方阵,此时称A为分块对角矩阵,并有

(i)|A|=|A1||A2|…|As|;

(ii)当|Ai|≠0(i=1,…,s)时,有

0048-04

0049-01

是两个分块对角矩阵,其中Ai与Bi是同阶方阵,则

0049-02

由此可见,对于能划分为分块对角矩阵的矩阵,如果采用分块米求逆阵或进行运算是十分方便的.

例2.12 设

0049-03

求AB.

0049-04
0050-01

所以

0050-02

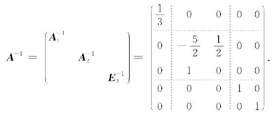
例2.13 设

0050-03

求A-1.

 将A分块如下:

0050-04

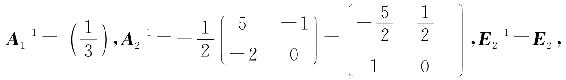
其中

0051-01

由于

0051-02

所以

0051-03

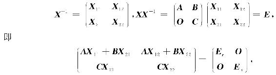
例2.14 设A,C分别为r阶和s阶可逆矩阵,求分块矩阵

0051-04

的逆矩阵.

 设逆矩阵分块为

0051-05

比较等式两边对应的子块,有

0051-06

注意到A,C可逆,可解得

X22 =C-1,X21=O,X11=A-1,X12=-A-1BC-1

所以

0052-01

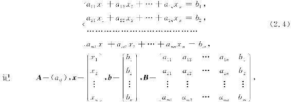
对于线性方程组

0052-02

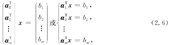
其中,A称为系数矩阵,x称为未知数向量,b称为常数项向量,B称为增广矩阵. 按矩阵的分块法,可记

0052-04

利用矩阵的乘法,此方程组可记作

Ax=b.

(2.5)

方程(2.5)以向量x为未知元,它的解称为方程组(2.4)的解向量.

若把系数矩阵A按行分块,则线性方程组Ax=b可记作

0052-03

这相当于把每个方程

ai1x1+ai2x2+…+ainxn=bi

记作

0052-05

若把系数矩阵A按列分块,则与A相乘的x应对应按行分成n块,则线性方程组Ax=b可记作

0053-01

a1x1+a2x2+…+anxn=b.

(2.7)

方程组(2.5)(2.6)(2.7)是线性方程组(2.4)的各种变形,都表示线性方程组,以后将混同使用不加区分.