2.3 逆矩阵
在数的运算中,当a≠0时,有
aa-1=a-1a=1,
其中,
称为a的倒数(或称为a的逆).
在矩阵的运算中,单位矩阵E相当于数的乘法运算中的1,那么对于矩阵A,如果存在矩阵“A-1”,使得
A-1A=AA-1=E,
则矩阵“A-1”可否称为矩阵A的逆呢?
定义11 设A为n阶方阵,若存在n阶方阵B,使得
AB=BA=E,
(2.3)
则称方阵A是可逆的,并称B是A的逆矩阵,简称逆阵,记作A-1=B.
由此定义可知,可逆矩阵一定是方阵,并且适合(2.3)式的矩阵B也一定是方阵;还可看出(2.3)式中A与B的地位是一样的,若矩阵A与B满足(2.3)式,则A与B都是可逆的,并且互为逆矩阵,即A-1=B,B-1=A.
定理1 若矩阵A可逆,则其逆矩阵唯一.
证 设B,C都是A的逆矩阵,则
AB=BA=E,AC=CA=E,
从而
B=EB=(CA)B=C(AB)=CE=C,
所以A的逆矩阵唯一.
为了讨论方阵可逆的充分必要条件及得出逆矩阵的计算方法,我们引入伴随矩阵的概念.
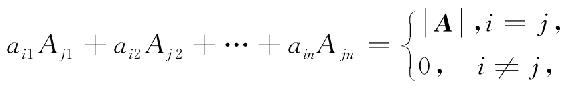
定义12 设A为n阶方阵,记
其中,Aij是|A|的元素aij的代数余子式,A*称为A的伴随矩阵.
定理2 设A*为A的伴随矩阵,则有
AA*=A*A=|A|E.
证 因为
所以
同理
A*A=|A|E.
于是
AA*=A*A=|A|E.
定理3 n阶方阵A可逆的充分必要条件是|A|≠0,且有
其中,A*为A的伴随矩阵.
证 先证必要性.
设A可逆,即A-1存在,则
AA-1=E,
于是|AA-1|=|A||A-1|=|E|=1,所以|A|≠0,
再证充分性.
根据定理2,有
AA*=A*A=|A|E,
又|A|≠0,故有
所以,根据逆矩阵的定义可知A可逆,且有
推论 设A,B都是n阶方阵,若AB=E(或BA=E),则A与B都可逆,且A-1=B,B-1=A.
证 因为AB=E,所以|AB|=|A||B|=|E|=1,由此可知|A|≠0,|B|≠0,于是根据定理3,A与B都可逆,且有
B=EB=(A-1A)B=A-1(AB)=A-1E=A-1,
A=AE=A(BB-1)=(AB)B-1=EB-1=B-1.
这个推论说明,要验证A是否可逆,只需验证AB=E或BA=E即可.
当|A|≠0时,我们称A为非奇异矩阵,否则成为奇异矩阵,由上面定理知,可逆矩阵就是非奇异矩阵.
方阵的逆矩阵的性质:
(i)若A可逆,则(A-1)-1=A;
(ii)若A可逆,数λ≠0,则λA可逆,且
;
(iii)若A,B为同阶方阵,且A,B都可逆,则AB可逆,且
(AB)-1=B-1A-1;
(iv)若A可逆,则AT可逆,且(AT)-1=(A-1)T;
(v)若A可逆,则
.
我们只证明性质(iii)、性质(iv),其他结论读者可以自行证明.
证 性质(iii)因为
(AB)(B-1A-1)=A(BB-1)A-1=AEA-1=AA-1=E,
所以
(AB)-1=B-1A-1.
性质(iv)因为
AT(A-1)T=(A-1A)T=ET=E,
所以
(AT)-1=(A-1)T.
性质(iii)可推广为:设A1,A2,…,An都是n阶可逆阵,则A1A2…An可逆,且
当|A|≠0时,还可定义
A0=E,A-k=(A-1)k,
其中,k为正整数. 这样,当|A|≠0,λ,μ为整数时,有
AλAμ=Aλ+μ,(Aλ)μ=Aλμ,
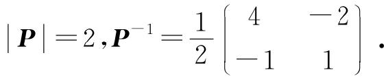
例2.8 设
求A-1.
解 由
知A可逆. 且
解矩阵方程AXB=C.
解 因为|A|=1≠0,|B|=1≠0,所以A-1,B-1都存在,且
分别以A-1,B-1左乘与右乘矩阵方程的两边,得
A-1(AXB)B-1=A-1CB-1,
于是
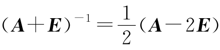
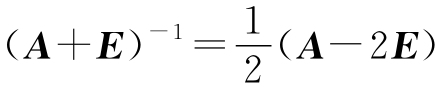
例2.10 已知方阵A满足
A2-A-4E=O,
试证A+E可逆,并求(A+E)-1
证 由A2-A-4E=O,得
(A+E)(A-2E)-2E=O,
即
因此A+E可逆,且
.
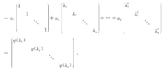
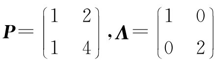
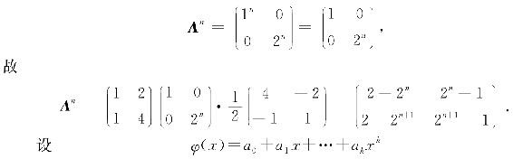
例2.11 设
,AP=PΛ,求An.
解 
A=PΛP-1,A2=PΛP-1PΛP-1=PΛ2P-1,…,An=PΛnP-1,
而易验证
为x的k次多项式,A为n阶矩阵,记
φ(A)=a0E+a1A+…+akAk,
则φ(A)称为矩阵A的k次多项式.
我们常用例2.11计算An的方法来计算A的多项式φ(A):
(i)若A=PAP-1,则An=PΛnP-1,从而
(ii)若A=diag(λ1,λ2,…λn)为对角矩阵,则
,从而
φ(Λ)=a0E+a1Λ+…+akΛk