1.2.2 2.2 矩阵的运算

2.2 矩阵的运算

2.2.1 矩阵的加法

定义3 设有两个m×n矩阵A=(aijm×n,和B-(bij)m×n,则矩阵A与矩阵B的和记作A+B,并规定为

0032-03

注意:只有同型矩阵才能进行加法运算.

矩阵加法的运算规律(设A,B,C都是m×n矩阵):

(i)A+B=B+A;

(ii)(A+B)+C=A+(B+C).

设矩阵A=(aijm×n,记-A=(-aijm×n,称为A的负矩阵,显然有

A+(-A)=0.

由此定义矩阵的减法为

A-B=A+(-B).

2.2.2 数与矩阵的乘法

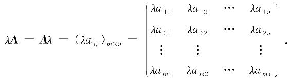
定义4 数λ与矩阵A的乘积记作λA或Aλ,并规定为

0033-01

数与矩阵相乘的运算规律(设A,B都是m×n矩阵,λ,μ为数):

(i)(λμ)A=λ(μA);

(ii)(λ+μ)A=λA+μA;

(iii)λ(A+B)=λA+λB.

矩阵的加法和数与矩阵的乘法合起来,统称为矩阵的线性运算.

2.2.3 矩阵与矩阵相乘

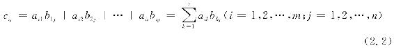
定义5 设矩阵A=(aijm×s,B=(bijs×n,则规定矩阵A与矩阵B的乘积是一个m×n矩阵C=(cijm×n,其中

0033-02

把此乘积记作C=AB.

由定义可以看出:C=AB中第i行第j列的元素cij,等于A的第i行与B的第j列的对应元素的乘积之和. 必须注意:只有当第一个矩阵(左矩阵)的列数等于第二个矩阵(右矩阵)的行数时,两个矩阵才能相乘.

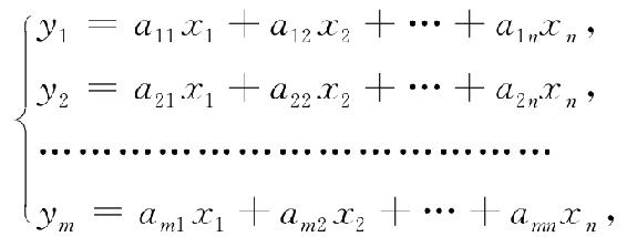
例2.1 若变量x1,x2,…,xn与变量.y1,y2,…,ym之间存在关系式

0034-01

则称该关系式为从变量x1,x2,…,Xn到变量.y1,y2,…,ym的线性变换. 由矩阵乘法的定义,上式可表示为:Y=AX,其中

0034-02

例2.2 设矩阵

0034-03

求AB.

 因为A是2×3矩阵,B是3×3矩阵,A的列数等于B的行数,所以矩阵A与B可以相乘,AB=C是2×3矩阵. 由定义5有

0034-04
0035-01

由以上例子可以看出,矩阵乘法一般不满足交换律,即AB≠BA.因为AB与BA未必都有意义,如例2.2中,AB有意义,而BA就没有意义;即使都有意义,AB也不一定等于BA,如例2.3. 由此可知,在矩阵的乘法中,必须注意矩阵相乘的顺序.AB是A左乘B的乘积,BA是A右乘B的乘积.

对于两个n阶方阵A,B,若AB=BA,则称A与B是可交换的.

由例2.3还可看出:A,B都不是零矩阵,但却有AB=O,这是矩阵乘法与数的乘法又一不同之处. 特别注意:若两个矩阵A,B满足AB=O,不能推出A=O或B=O的结论;若AB=AC,A≠O,也不能推出B=C的结论.

矩阵乘法的运算规律(设其中所涉及的运算都有意义).

(i)(AB)C=A(BC);

(ii)A(B+C)=AB+AC,

(B+C)A=BA+CA;

(iii)λ(AB)=(λA)B=A(λB).

对于单位矩阵E,容易验证

EmAm×n=Am×n,Am×nEn=Am×n

可简记为

EA=AE=A.

可见单位矩阵E在矩阵乘法中的作用类似于数量中的1.

有了矩阵的乘法,就可定义n阶方阵的幂. 设A是n阶方阵,k为正整数,则规定

A1=A,A2=A1A1,…,Ak=Ak-1A1

称Ak为A的k次幂,即Ak就是k个A连乘.

方阵幂的运算规律:

(i)AkAl=Ak+l

(ii)(Akl=Akl.

由于矩阵乘法运算一般不满足交换律,所以在数的乘法中成立的一些恒等式,在矩阵中一般不再成立. 如

(A+B)2≠A2+B2+2AB;

(A+B)(A-B)≠A2-B2

(AB)k≠Ak·Bk.

但若A与B可交换,即AB=BA,则上式等号成立.

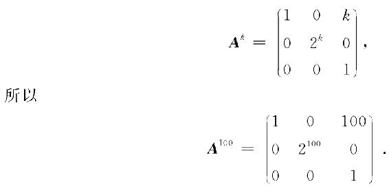
例2.4 设0036-01,求A100.

0036-02

于是很容易通过数学归纳法得到

0036-03

2.2.4 矩阵的转置

定义6 将m×n矩阵A=(ajim×n的行换成同序数的列得到的一个n×m矩阵,称为A的转置矩阵,记作AT.

例如矩阵

0036-04

的转置矩阵为

0036-05

矩阵的转置也可看成一种运算,满足下列运算规律:

(i)(ATT=A;

(ii)(A+B)T=AT+BT

(iii)(λA)T=λAT

(iv)(AB)T=BTAT.

(i),(ii),(iii)可直接按定义验证,下面只证明(iv).

 设A=(aijm×s,B=(bijs×n,记AB=C=(cijm×n,BTAT=D(dijn×m,按矩阵乘法公式,有

0037-01

同理,由于BT的第j行为B的第j列,AT的第i列为A的第i行,故D的第j行第i列元素

0037-02

所以

dji-cij(i-1,2,…,m;j-1,2,…,n),

即D=CT,亦即

(AB)T=BTAT.

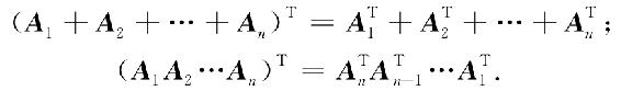
(ii),(iv)还可推广到n个矩阵的情形:

0037-03

例2.5 已知

0037-04

求(AB)T.

解法1 因为

0037-05

所以

0037-06

解法2

0038-01

定义7 设A为n阶方阵,如果满足AT=A,即

aij=aji(i,j=1,2,…,n),

则称A为对称阵. 其特点是它的元素以主对角线为对称轴对应相等.

例如

0038-02

为对称阵.

定义8 若n阶方阵A满足AT=-A,即

aij=-aji(i,j=1,2,…,n),

则称A为反对称阵. 由此定义,应有aii=-aii(i=1,2,…,n),即aii=0,表明主对角线上的元素aii(i=1,2,…,n)全为零.

例如

0038-03

为反对称阵.

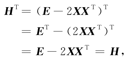
例2.6 设列矩阵X=(x1,x2,…,xnT满足XTX=1,E为n阶单位矩阵,H=E-2XXT,证明H是对称矩阵,且HHT=E.

 因为

0038-04

所以H是对称矩阵. 且

0038-05

2.2.5 方阵的行列式

定义9 由n阶方阵A的元素所构成的行列式(各元素的位置不变),称为方阵A的行列式,记作|A|或det A.

注意:方阵与行列式是两个不同的概念,n阶方阵是n2个数按一定方式排成的数表,而n阶行列式则是n2个数按一定的运算法则所确定的一个数.

方阵的行列式的运算规律(设A,B为n阶方阵,λ为数):

(i) | AT|=|A|(行列式的性质1);

(ii)|λA|=λn|A|;

(iii)|AB|=|A|·|B|.

(i)和(ii)由行列式的性质容易验证. 下面我们证明(iii).

 设A=(aij),B=(bij),记2n阶行列式

0039-01

由第1章1.3节中的例1.11可知D=|A|·|B|,而在D中以b1j乘第1列,b2j乘第2列,…,bnj.乘第n列,都加到n+j列上(j=1,2,…,n),有

0039-02

其中,C=(cij),cij=b1jail+b2jai2+…+bnjain,故C=AB.

再对D的行作ri↔rn+j(j=1,2,…,n),有

0039-03

由第1章1.3节中的例1.11有

D=(-1)n|-E||C|=(-1)n(-1)n|E||C|=|C|=|AB|,

所以

|AB|=|A|·|B|.

对于n阶方阵A,B,一般来说AB≠BA,但总有|AB|=|BA|=|A|·|B|.

例2.7 设A是n阶方阵,满足AAT=E,且|A|=-1,求|A+E|.

 由于

0040-01

所以2|A+E|=0,即|A+E|=0.

2.2.6 共轭矩阵

定义10 设A=(aij)为复矩阵,0040-02为aij的共轭复数,记

0040-03

则称0040-04为A的共轭矩阵.

共轭矩阵的运算规律(设A,B为复矩阵,λ为复数,且运算都有意义):

0040-05