1.1.4 1.4 行列式按行(列)展开

1.4 行列式按行(列)展开

一般说来,行列式的阶数越低,计算就越简单. 因此,我们自然会考虑是否能用低阶行列式来表示高阶行列式的问题. 为此,我们需要先引入余子式和代数余子式的概念.

定义2 在n阶行列式中,把元素aij所在的第i行和第j列划去,余下的n-1阶行列式(依原来的排法),称为元素aij的余子式,记作Mij;记

Aij=(-1)i+jMij

称Aij为元素aij的代数余子式.

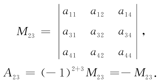
例如四阶行列式

0018-01

中,元素a23的余子式和代数余子式分别为

0018-02

引理 一个n阶行列式D,若第i行所有元素除aij外全为零,则该行列式等于aij与它的代数余子式的乘积,即

D=aijAij.

 先证aij位于第1行第1列的情形,此时

0018-03

这是1.3节例1.11中当k=1时的特殊情形,按1.3节例1.11的结论有

D=a11M11=a11A11.

再证一般情形,此时

0018-04

将D的第i行依次与第i-1行,第i-2行,…,第1行对调,这样,元素aij就调到了第1行第j列的位置,调换次数为i-1次:再把第j列依次与第j-1列,第j-2列,…,第1列对调,元素aij最终调到了第1行第1列的位置,调换次数为j-1次,总共经过i+j-2次对调,将元素aij调到第1行第1列的位置. 第1行其他元素为零,所得的行列式记作D1,则

D1=(-1)i+j-2D=(-1)i+jD,

而aij在D1中的余子式仍然是aij在D中的余子式Mij.利用前面的结果,有

D1=aijMij

于是

D=(-1)i+jD1=(-1)i+jaijMij=aijAij.

定理4 行列式等于它的任一行(列)的各元素与其对应的代数余子式的乘积之和,即

D=ailAil+ai2Ai2+…+ainAin(i=1,2,…,n),

D=a1jA1j+a2jA2j+…+anjAnj(j=1,2,…,n).

0019-01

根据引理,有

D=ailAil+ai2Ai2+…+ainAin (i=1,2,…,n).

类似地,可以得到列的结论,即

D=a1jA1j+a2jA2j+…+anjAnj (1=1,2,…,n).

这个定理称为行列式按行(列)展开法则,利用这一法则并结合行列式的性质,可将行列式降阶,从而简化行列式的计算.

下面用此法则,再来计算1.3节例1.8中的行列式

0020-01

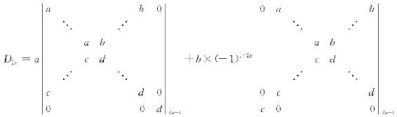
例1.12 计算2n阶行列式

0020-02

未写出的元素均为0.

 按第1行展开有

0020-03

再对上式两个2n-1阶行列式按第2n-1行展开,得

0021-01

以此作递推公式,得

D2n=(ad-bc)D2(n-1)=(ad-bc)2D2(n-2)=…=(ad-bc)n-1D2=(ad-bc)n.

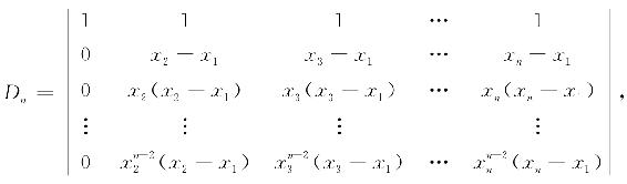
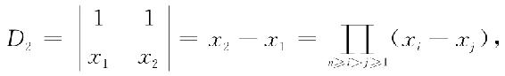
例1.13 证明范德蒙德(Vandermonde)行列式

0021-02

其中,记号“∏”表示全体同类因子的乘积.

 用数学归纳法证明. 当n=2时,

0021-03

所以当n=2时,式(1.12)成立.

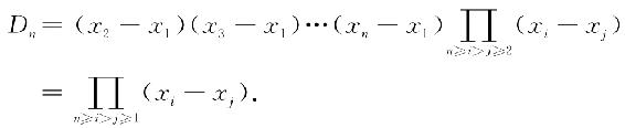
假设式(1.12)对n-1阶范德蒙德行列式成立,要证式(1.12)对n阶范德蒙德行列式也成立. 为此,将Dn降阶,从第n行开始,后一行减前一行的x1倍,得

0022-01

按第1列展开,并提出每一列的公因子(xi-x1),有

0022-02

上式右端行列式是n-1阶范德蒙德行列式,由归纳法假设它等于0022-03(xi-xj),故

0022-04

显然,范德蒙德行列式不为零的充要条件是x1,x2,…,xn互不相等.

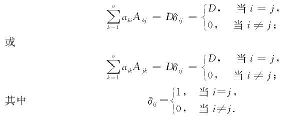
推论 行列式某一行(列)的元素与另一行(列)的对应元素的代数余子式乘积之和等于零,即

ai1Aj1+ai2Aj2+…+ainAjn=0(i≠j),

a1iA1j+a2iA2j+…+aniAnj=0(i≠j).

证明略.

综合定理4及其推论,得

0022-05