1.1.3 1.3 行列式的性质

1.3 行列式的性质

在1.2节中,引入了n阶行列式的定义,并利用定义计算了一些特殊行列式(如上三角行列式等). 然而,对于一般的n阶行列式,当n较大时,直接利用定义计算将非常烦琐,因此必须进一步研究行列式的性质,以便利用它来简化行列式的计算.

0012-01

将其中的行与列互换,即把行列式中的各行换成相应的列,得到行列式

0012-02

上式称为行列式D的转置行列式,记作DT.

性质1 行列式与它的转置行列式相等,即D=DT.

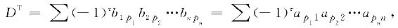
 记D=det(aij)的转置行列式

0012-03

则bij=aij(i,j=1,2,…,n),按行列式的定义

0012-04

由定理2知DT=D.

此性质表明,在行列式中,行与列有相同的地位,凡是有关行的性质对列同样成立,反之亦然.

性质2 互换行列式的两行(列),行列式改变符号.

 设行列式

0012-05

是由行列式D=det(aij)交换第i和第j两行得到的,当k≠i,j时,bkp=akp;当k=i或j时,bip=ajp,bjp=aip,于是

0013-01

其中,1…i…j…n为自然排列,τ为排列p1…pi…pj…pn的逆序数.

设排列p1…pj…pi…pn的逆序数为τ1,则(-1)τ=-(-1)τ1,所以

0013-02

以ri表示行列式的第i行,以ci表示行列式的第i列. 交换i,j两行记作ri↔rj,交换i,j两列记作ci↔cj.

推论 若行列式有两行(列)完全相同,则该行列式等于零.

 把这两行互换,有D=-D,故D=0.

性质3 行列式的某一行(列)的各元素都乘以同一数k,等于用数k乘此行列式,即

0013-03

第i行(或列)乘以k,记作ri×k(或ci×k).

推论1 行列式的某一行(列)的所有元素的公因子,可以提到行列式符号的外面.

第i行(或列)提出公因子k,记作ri÷=k(或ci÷k).

推论2 行列式的某一行(列)的元素全为零时,则该行列式等于零.

性质4 若行列式中有两行(列)的元素对应成比例,则该行列式等于零.

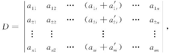
性质5 若行列式的某一列(行)的元素都是两数之和,例如:

0013-04

则D等于下列两个行列式之和,

0014-01

性质6 把行列式的某一列(行)的各元素乘以同一数k后加到另一列(行)对应的元素上去,行列式的值不变.

例如以数k乘第j列加到第i列上(记作ci+kcj),有

0014-02

以数k乘第j行加到第i行上,记作ri+krj.

以上没有给出证明的性质,读者可根据行列式的定义自行证明.

性质2,3,6介绍了行列式关于行和关于列的3种运算,即ri↔rj,ri×k,ri+krj和ci↔cj,ci×k,ci+kcj,利用这些运算可简化行列式的计算,特别是利用运算ri+krj(或ci+kcj)可以把行列式中许多元素化为0,进而把行列式化为上(下)三角行列式,从而得到行列式的值. 把行列式化为上三角行列式的步骤为:

(i)若第一列第一个元素为0,先将第一行与其他行交换,使得第一列第一个元素不为0,然后把第一行分别乘以适当的数加到其他各行,使得第一列除第一个元素外,其余元素全为0;

(ii)用同样的方法处理除去第一行和第一列后余下的低一阶的行列式,如此反复下去,直到使它变为上三角行列式,这时主对角线上元素的乘积就是所求行列式的值.

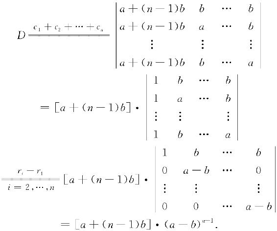
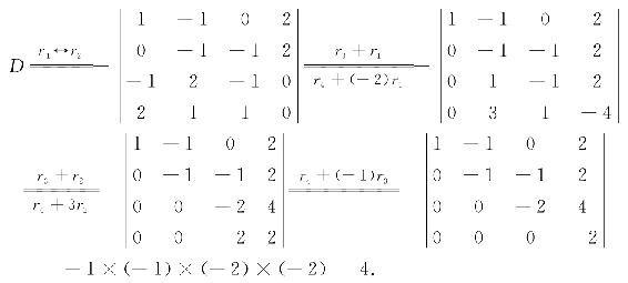
例1.8 计算行列式

0014-03

0015-01

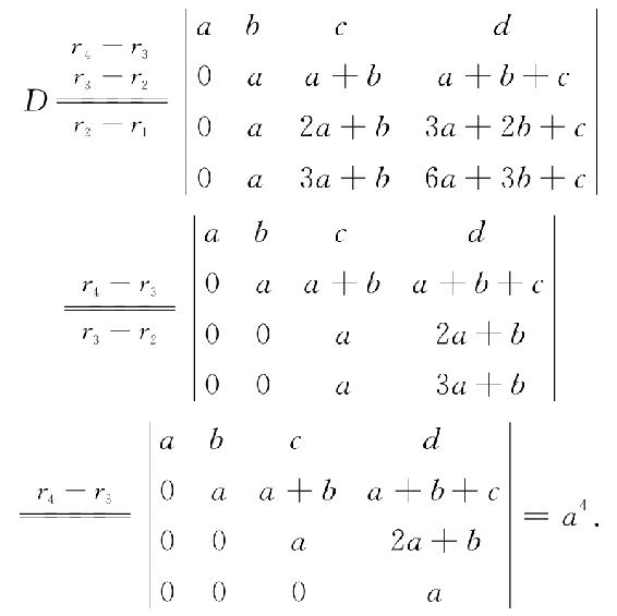
例1.9 计算n阶行列式

0015-02

 注意到行列式的各行(列)对应元素之和相等这一特点,从第2列起,把各列都加到第1列上,得

0015-03

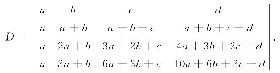
例1.10 计算行列式

0016-01

 从第4行开始,后行减前行,得

0016-02

可见,计算行列式主要是利用运算ri+krj将其化为上三角行列式,既简便又程序化. 类似地,利用列运算ci+kcj,也可把行列式化为上(下)三角行列式.

例1.11 设

0016-03
0017-01

证明:D=D1D2.

 对D1作运算ri+krj,把D1化为下三角行列式,设为

0017-02

对D2作运算ci+kcj,把D2化为下三角行列式,设为

0017-03

于是,对D的前k行作运算ri+krj,再对后n列作运算ci+kcj,把D化为下三角行列式

0017-04