1.2 n阶行列式
在1.1节,介绍了二阶、三阶行列式的定义. 在1.2节中,将根据二阶、三阶行列式的规律引出n阶行列式的定义. 首先,介绍全排列的相关知识.
1.2.1 全排列与逆序数
把n个不同的元素排成一列,称为这n个元素的全排列(也简称排列). n个不同的元素所有可能的排列种数,称为全排列数,通常用
表示. 下面来给出
的计算公式.
从n个不同元素中任取一个放在第一个位置上,有n种取法;从剩下的n-1个元素中任取一个放在第二个位置上,有n-1种取法;这样递推下去,直到最后只剩下一个元素放在第n个位置上,只有1种取法. 于是
因此,n个不同元素的全排列数为
.
例如,用1,2,3三个数字,可以组成多少个没有重复数字的三位数?
这个问题相当于把3个数字分别放在百位、十位与个位上,有几种不同的放法?由式(1.9)可知,共有
种放法. 事实上,百位上可以从1,2,3三个数字中任选一个,所以有3种放法;十位上只能从剩下的两个数字中选一个,所以有两种放法;而个位上只能放最后剩下的一个数字,所以只有1种放法. 因此,共有3×2×1=6种放法.
这6个不同的三位数分别是:
123,132,213,231,312,321.
对于n个不同的元素,先规定各元素之间有一个标准次序(例如n个不同的自然数,可规定由小到大为标准次序),于是在这n个元素的任一排列中,当某两个元素的排列次序与标准次序不同时,就称为有一个逆序. 一个排列中所有逆序的总数称为这个排列的逆序数.
一般地,n个自然数1,2,…,n的一个任意排列记作p1p2…pn,如果比pi大的且排在pi前面的元素有ττi个,就说元素pi的逆序数是τi.全体元素的逆序数之和
即是这个排列的逆序数.
例1.4 求排列43512的逆序数.
解 在排列43512中,4排在首位,逆序数为0;3的前面比3大的数有一个“4”,故逆序数为1;5是最大的数,逆序数为0;1的前面比1大的数有3个,即“4,3,5”,故逆序数为3;2的前面比2大的数有3个,为“4,3,5”,故逆序数为3;于是这个排列的逆序数为
τ-0+1+0+3+3-7.
逆序数为奇数的排列称为奇排列,逆序数为偶数的排列称为偶排列. 如例1.4中的排列43512就是一个奇排列.
1.2.2 对换
为研究n阶行列式的需要,我们再来讨论对换的概念以及其与排列奇偶性的关系.
将一个排列中任意两个元素的位置对调,其余元素不动,而得到一个新排列的过程称为对换. 若对换的是相邻的两个元素,则称为相邻对换.
排列43512可由排列34512进行一次相邻对换得到,也可由排列13542进行一次不相邻的对换得到. 可知排列34512和排列13542都是偶排列,而排列43512是一个奇排列,可见进行一次对换(无论相邻与否)将改变排列的奇偶性. 可得出下面的基本事实:
定理1 一个排列进行一次对换,排列改变奇偶性一次.
证 先证相邻对换的情形.
设排列为a1…alabb1…bm,对换元素a,b,变为a1…albab1…bm.显然,a1…al;b1…bm这些元素的逆序数经过a,b对换后并不改变,改变的只是元素a,b的逆序数,当a<b时,经对换后a的逆序数增加1,而b的逆序数不变;当a>b时,经对换后a的逆序数不变,而b的逆序数减少1. 因此,不论是增加1还是减少1,排列a1…alabbl…bm与排列a1 … albab1…bm的奇偶性不同.
再证一般对换情形.
设排列为a1…alab1…bmbc1…cn,将元素b作m次相邻对换,变成排列a1…alabb1…bmc1…Cn,再将元素a作m+l次相邻对换,变成排列a1…a1bb1…bmac1…cn.于是可知排列a1…alab1…bmbc1…cn经2m+1次相邻对换变成排列a1…albb1…bmac1…cn,所以这两个排列的奇偶性相反.
推论 奇排列变成标准排列的对换次数为奇数,偶排列变成标准排列的对换次数为偶数.
证 由定理1知,对换的次数就是排列奇偶性的变化次数,而标准排列是偶排列(逆序数为0),因此,可知推论成立.
1.2.3 n阶行列式
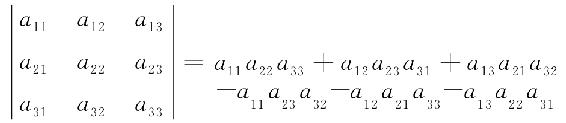
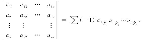
为了给出n阶行列式的定义,先来回顾一下三阶行列式的结构. 三阶行列式的定义为式(1.8),即
容易看出:
(i)式(1.8)右边的每一项都恰是位于不同行、不同列的3个元素的乘积. 因此,式(1.8)右边的任一项除正负号外可以写成
.这里第一个下标(行标)排成标准次序123,而第二个下标(列标)排成p1p2p3,它是1,2,3这3个数的一个全排列,这样的排列共有3!=6种,对应式(1.8)右边共有3!=6项.
(ii)各项的正负号与列标排列的对应情况:
取正号的三项列标排列是:123,231,312;
取负号的三项列标排列是:132,213,321.
易知前3个排列都是偶排列,而后3个排列都是奇排列. 因此各项所取的正负号可以表示为(-1)τ,其中,τ为列标排列p1p2p3的逆序数.
于是,三阶行列式可以写成
其中,τ为列标排列p1p2p3的逆序数,∑表示对1,2,3这3个数的所有排列p1p2p3对应的项求和.
以此类推,可把行列式推广到n阶的情形.
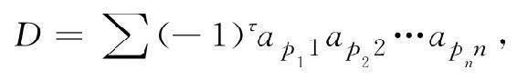
定义1 设有n2个数,排成n行n列的数表
作出表中位于不同行不同列的n个数的乘积
并冠以符号(1)τ,得到的项形如
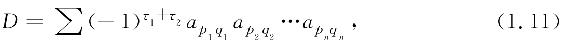
其中,p1p2…pn为自然数1,2,…,n的一个全排列,x为这个排列的逆序数. 由于这样的排列共有n!个,因而形如式(1.10)的项共有n!项. 所有这n!项的代数和
称为n阶行列式,记作
也简记作det(aij),其中aij称为行列式D的(i,j)元,即
按此定义的二阶、三阶行列式,与1.1节中所用的对角线法则定义的二阶、三阶行列式是一致的. 特别当n=1时,一阶行列式|a|=a,注意不要与绝对值记号相混淆.
例1.5 计算下三角行列式:
,
其中,未写出的元素全为零(以后均如此).
解 在这个行列式中,当j>i时,aij=0,故D中可能不为0的元素aipi,其下标应满足pi≤i,即p1≤l,p2≤2,…,pn≤n.
在所有排列p1p2…pn中,能满足上述关系的排列只有一个自然排列12…n,所以D中可能不为0的项只有一项(-1)τa11a22…ann.此项的符号(-1)τ=(-1)0=1,所以
D=a11a22…ann,
即D等于主对角线上元素的乘积.
同理可得上三角行列式
作为三角行列式特例的对角行列式(除对角线上的元素外,其他元素都为0,在行列式中未写出来)也有,
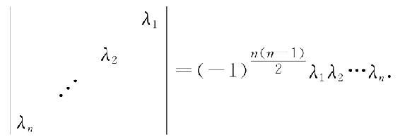
例1.6 证明行列式
证 令λi=ai,n-i+1,则由行列式的定义
其中,τ为排列n(n-1)…21的逆序数,则τ=0+1+2+…+(n+1)=
,故结论得以证明.
1.2.4 n阶行列式的其他定义形式
利用定理1,我们来讨论行列式定义的其他表示法.
对于行列式的任一项
其中,l…i…j…n为自然排列,τ为排列p1…pi…pi…pn的逆序数,对换元素
得
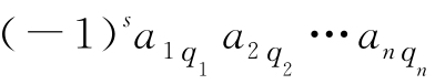
这时,这一项的值不变,而行标排列与列标排列同时作了一次相应的对换. 设新的行标排列l…i…i…n的逆序数为τ1,则τ1为奇数:设新的列标排列p1…pi…pi…pn的逆序数为τ2,则
这说明,对换乘积中两元素的次序,从而行标排列与列标排列同时作了一次对换,因此,行标排列与列标排列的逆序数之和并不改变奇偶性. 经过一次对换如此,经过多次对换亦如此. 于是经过若干次对换,使列标排列p1p2…pn(逆序数为τ)变为自然排列(逆序数为0);行标排列则相应地从自然排列变为某个新的排列,设此新排列为q1q2…qn,其逆序数为s,则有
又若pi=j,则qj=i(即
),可见排列q1q2…qn由排列p1p2…pn所唯一确定.
由此可得n阶行列式的定义如下:
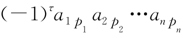
定理2 n阶行列式也可定义为
其中,τ为行标排列p1p2…pn,的逆序数.
证 按行列式定义有
按上面的讨论可知:对于D中任一项
,总有D1中唯一的一项
与之对应并相等,反之,对于D1中的任一项
,也总有D中唯一的一项
与之对应并相等,于是D与D1中的项可以一一对应并相等,所以D=D1.
更一般的有,n阶行列式的定义如下:
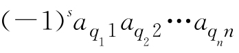
定理3 n阶行列式可定义为
其中,p1p2…pn,q1q2…qn。分别为行标排列和列标排列,它们的逆序数分别为τ1,τ2 .
例1.7 判断在四阶行列式中,a21a32a14a43应取什么符号?
解 (1)按定义1计算.
因为a21a32a14a43=a14a21a32a43,而4123的逆序数为
τ=0+1+1+1=3,
所以,a21a32a14a43的前面应取负号.
(2)按定理3计算.
因为a21a32a14a43的行标排列2314的逆序数为
τ1=0+0+2+0=2,
列标排列1243的逆序数为
τ2=0+0+0+1=1,
τ1+τ2=3,为奇数,所以a21a32a14a43的前面应取负号.