-
1.1第1章 行列式
-
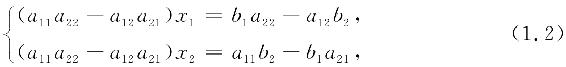
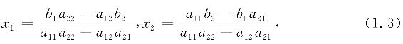
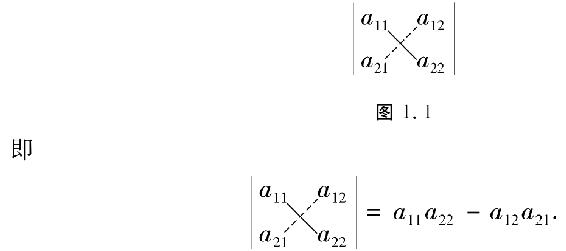
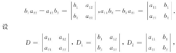
1.1.11.1 二阶与三阶行列式
-
1.1.21.2 n阶行列式
-
1.1.31.3 行列式的性质
-
1.1.41.4 行列式按行(列)展开
-
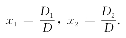
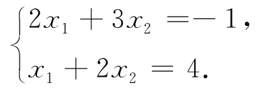
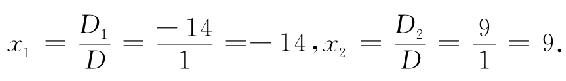
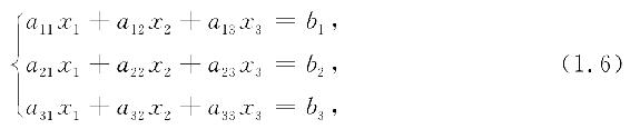
1.1.51.5 克莱姆(Cramer)法则
-
1.1.6习题1
-
1.2第2章 矩阵
-
1.2.12.1 矩阵
-
1.2.22.2 矩阵的运算
-
1.2.32.3 逆矩阵
-
1.2.42.4 矩阵的分块
-
1.2.5习题2
-
1.3第3章 矩阵的初等变换与线性方程组
-
1.3.13.1 矩阵的初等变换
-
1.3.23.2 初等矩阵
-
1.3.33.3 矩阵的秩
-
1.3.43.4 线性方程组的解
-
1.3.5习题3
-
1.4第4章 向量组的线性相关性
-
1.4.14.1 向量组及其线性组合
-
1.4.24.2 向量组的线性相关性
-
1.4.34.3 向量组的秩
-
1.4.44.4 线性方程组的解的结构
-
1.4.54.5 向量空间
-
1.4.6习题4
-
1.5第5章 相似矩阵
-
1.5.15.1 向量的内积及正交性
-
1.5.25.2 方阵的特征值与特征向量
-
1.5.35.3 相似矩阵
-
1.5.45.4 实对称矩阵的对角化
-
1.5.5习题5
-
1.6第6章 二次型
-
1.6.16.1 二次型及其标准形
-
1.6.26.2 配方法化二次型为标准形
-
1.6.36.3 正定二次型
-
1.6.4习题6
-
1.7习题参考答案
-
1.8参考文献















