全屏显示 专题 章节
部分习题参考答案
第1章
习题1.1
1.(1)(-3,3);
(2)(-1,+∞);
(3)(-∞,0)∪(0,3];
(4)[1,5].
2.f(0)=-1,f(1)=4,f(2)=5,
3.(1)奇函数;
(2)偶函数;
(3)偶函数;
(4)奇函数;
(5)非奇非偶;
(6)奇函数.
4.不能.
5.(1)
(2)
(3)
(4)
6.(1)y=u20,u=1+x;
(2)y=u2,u=arcsin v,v=x2;
(3)y=ln u,u=1+v,
w=1+x2;
(4)y=2u,u=v2,v=sin x.
习题1.2
2.(1)1;
(2)0;
(3)
(4)1;
(5)
(6)
习题1.3
2.(1)-1,1;不存在
3.(1)
(2)
(3)
(4)
(5)-1;
(6)
习题1.4
1.(1)4;
(2)1;
(3)0;
(4)
(5)sin 2a;
(6)1;
(7)-1;
(8)0.
2.(1)e4;
(2)e2;
(3)en;
(4)e2;
(5)e2;
(6)e;
(7)e;
(8)α.
3.(1)0;
(2)1.
习题1.5
1.(1)无穷小;
(2)无穷大;
(3)无穷小;
(4)无穷大.
2.a=-4,b=-4.
3.(1)β(x);
(2)α(x).
4.(1)
(2)2;
(3)
习题1.6
1.(1)x=0,第二类间断点;
(2)x=0,跳跃间断点;
(3)x=0,可去间断点;
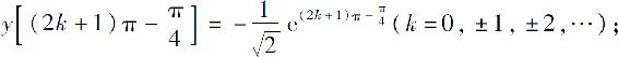
(4)
(k=0,±1,±2,…),跳跃间断点;
(5)除x=0外,每一点都是第二类间断点;
(6)x=-7为第二类间断点,x=1为跳跃间断点.
2.
3.(1)f[g(x)]处处连续;g[f(x)],x=0为可去间断点;
(2)f[g(x)],x=-1,0,1为跳跃间断点;g[f(x)]处处连续.
4.(1)
(2)1;
(3)
(4)0;
(5)π;
(6)e.
习题1
一、填空题
1.arcsin(1-x2);
2.1;
3.1;
4.存在且相等;
5.-6;
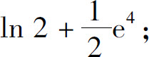
6.ln 2.
二、选择题
1.A;
2.D;
3.C;
4.D;
5.B;
6.B.
三、单项解答题
1.(1)1;
(2)
(3)e-2;
(4)2;
(5)2;
(6)e.
2.(1)
(2)2;
(3)1;
(4)1.
第2章
习题2.1
1.-4.
2.(1)
(2)-sin x.
3.切线方程:y=1,法线方程:x=0.
4.切线方程:x-y=0,法线方程:x+y-6=0.
5.a=4,b=-4.
习题2.2
1.(1)x2+x-2;
(2)
(3)2x ln x+x;
(4)
(5)
(6)
(7)
(8)x cos x+xln x(2 cos x-x sin x).
2.(1)10x(1+x2)4;
(2)
(3)
(4)
(5)
(6)
(7)
(8)
4.(1)2xf′(x2);
(2)
习题2.3
1.(1)6x+4;
(2)(4x2-2)e-x2;
(3)-2 cos 2x;
(4)
(5)
(6)
2.0.
3.(1)
(2)
习题2.4
1.(1)
(2)
(3)
(4)
2.(1)
(2)
(3)
3.
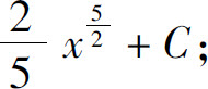
4.(1)2t2;
(2)
5.切线方程
法线方程
习题2.5
1.(1)-2.16;
(2)-0.025.
2.(1)
(2)ln xdx;
(3)(2x cos x-2x2 sin 2x)dx;
(4)e-x[sin(3-x)-cos(3-x)]dx;
(5)
(6)
3.(1)1.0067;
(2)0.002.
习题2
一、填空题
1.2f′(x0).
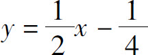
2.y=x-e.
3.a=2,b=-1.
4.
5.f′(0).
二、单项选择题
1.B.
2.B.
3.C.
4.D.
5.D.
三、解答题
1.(1)
(2)
(3)
(4)2 lnx·xln x-1;
2.
3.
第3章
习题3.1
2.有分别位于区间(0,1),(1,2),(2,3)内的三个根.
9.提示:令φ(x)=f(x)e-x,先证明φ(x)为常数.
习题3.2
1.(1)
(2)
(3)1;
(4)2;
(5)
(6)
(7)1;
(8)3;
(9)2;
(10)1;
(11)
(12)
(13)∞;
(14)
(15)
(16)
(17)1;
(18)1;
(19)
(20)
习题3.3
1.在(-∞,+∞)上单调减少.
3.(1)在(-∞,+∞)上单调增加;
(2)在[
,+∞)上单调增加,在(0,
]上单调减少;
(3)在(-∞,1]和[3,+∞)上单调增加,在[-1,3]上单调减少;
(4)在[2,+∞)上单调增加,在(0,2]上单调减少;
(5)在(-∞,-2]和[0,+∞)上单调增加,在[-2,0]上单调减少;
(6)在(-∞,+∞)上单调增加;
(7)在(-∞,-2)和(8,+∞)上单调增加,在(-2,8)上单调减少;
(8)在
上单调增加;
在
上单调减少(k=0,±1,±2,…).
6.(1)极小值y(1)=4;
(2)极大值y(0)=0,极小值y(1)=-1;
(3)极大值y(-1)=10,极小值y(3)=-54;
(4)极小值y(0)=0;
(5)无极值;
(6)极大值y(±1)=7,极小值y(0)=6;
(7)极大值
(8)极大值
极小值
(9)极大值
(10)极大值
极小值y(0)=0;
(11)极大值
极小值
(12)极小值y(0)=2;
(13)极大值y(-1)=2;
(14)无极值;
(15)极大值
极小值
(16)无极值.
7.a=2,
为极大值.
8.(1)最大值y(4)=0,最小值y(-1)=-85;
(2)最大值y(3)=9,最小值y(2)=-16;
(3)最大值
最小值
(4)最大值y(0)=0,最小值y(-1)=-2.
9.(1)x=-3时函数有最小值27;
(2)没有最大,最小值;
(3)x=1时函数有最大值
.
10.a≥2时最近距离为
a<2时最近距离为|a|.
11.底半径为
高为
12.当
反应速度最大.
13.
14.每小时57 km,总费用为82.2元.
习题3.4
1.(1)凸区间(-∞,+∞);
(2)凹区间(0,+∞);
(3)凸区间(-∞,2],凹区间[2,+∞),拐点(2,-10);
(4)凸区间(-∞,2],凹区间[2,+∞);拐点(2,2e-2);
(5)凹区间(-∞,+∞);
2.a=-3,拐点为(1,-7),凸区间为(-∞,1],凹区间为(1,+∞).
3.
4.(1)y=0;
(2)y=0,x=-1,x=1;
(3)y=x-3,x=-1.
习题3.5
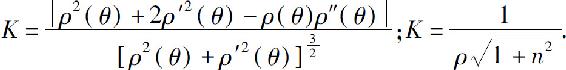
1.K=2.
2.K=|cos x|,ρ=|sec x|.
3.K=2,
4.
处曲率半径有最小值
5.
习题3.6
1.2.
2.
习题3
一、填空题
1.[-1,1].
2.1.
3.a=1,b=-3.
4.
5.1.
6.
二、单项选择题
1.A.
2.A.
3.C.
4.A.
5.D.
6.B.
7.B.
8.A.
9.B.
三、解答题
1.(1)
(2)0;
(3)
(4)1;
(5)100!;
(6)
4.当
时有最大面积
5.(1)有且仅有一个实根;
(2)至少有一个实根.
9.点
处曲率半径有最小值1.
第4章
习题4.1
1.F(x2).
2.y=1+ln x.
3.(1)
(2)
(3)
(4)
(5)
(6)2 sin x+C;
(7)
(8)
(9)
(10)
(11)x-arctan x+C;
(12)2arcsin x-arctan x+C;
(13)
(14)
(15)
(16)
(17)
(18)-cot x-x+C;
(19)-csc x+cot x+C;
(20)-(tan x+cot x)+C;
(21)
习题4.2
1.(1)
(2)
(3)
(4)
(5)
(6)
(7)
(8)
(9)
(10)
(11)
(12)
(13)
(14)ln|tan x|+C;
(15)
(16)
(17)
(18)
(19)
(20)
(21)
(22)
(23)
(24)
(25)
(26)
(27)
(28)
(29)
(30)
(31)
(32)
2.(1)
(2)
(3)
(4)
(5)
(6)
(7)
(8)
(9)
(10)
(11)
(12)
习题4.3
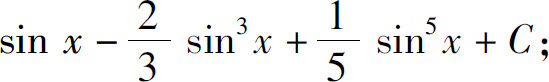
1.(1)-x cos x+sin x+C;
(2)
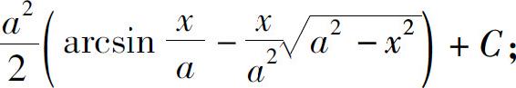
(3)x ln(1+x2)-2x+2 arctan x+C;
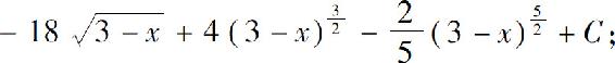
(4)-e-x x2+2x+2+C;
(5)
(6)
(7)
(8)
(9)
(10)
(11)
(12)
2.
习题4.4
1.ln|x2+3x-10|+C.
2.
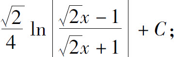
3.
4.
5.
6.
7.
8.
9.
10.
习题4
一、填空题
1.f(x)+C.
2.
3.G(x)=F(x)+C.
4.
5.
二、单项选择题
1.B.
2.B.
3.D.
4.C.
5.D.
三、解答题
(1)
(2)
(3)
(4)
(5)
(6)
(7)
第5章
习题5.1
1.
2.(1)1;
(2)
3.(1)
(2)
(3)
(4)
4.(1)
(2)
(3)π≤I≤2π;
(4)
习题5.2
1.(1)
(2)
(3)
(4)
(5)
(6)
(7)
(8)
2.(1)
(2)
(3)
3.
4.2.
5.
习题5.3
1.(1)
(2)
(3)
(4)
(5)
(6)
(7)
(8)1;
(9)
(10)
(11)
(12)1.
2.8.
习题5.4
1.(1)
(2)发散;
(3)
(4)
(5)π;
(6)1;
(7)发散;
(8)
(9)
(10)
2.当k>1时收敛于
当k≤1时发散;当
时取得最小值.
习题5.5
1.(1)
(2)1;
(3)
(4)
(5)e+e-1-2;
(6)
2.
3.(1)πa2;
(2)
4.(1)
(2)
5.
6.5000π kgm.
7.14373.33 kN.
8.水平方向分力:
垂直方向分力:Fy=0.
9.q(p)=20 ln(p+1)+1000.
10.
11.R(q)=3q-0.1q2,当q=15时收入最高为22.5.
12.(1)9987.5;
(2)19850.
习题5
一、填空题
1.0.
2.
3.收敛.
4.
5.0.
6.π.
7.1.
8.π[g(y)]2 dy.
二、单项选择题
1.D.
2.B.
3.D.
4.A.
5.C.
6.C.
7.A.
8.B.
9.A.
三、解答题
1.(1)
(2)
2.(1)
(2)
(3)
(4)
(5)
(6)
3.b-a.
4.(1)3π;
(2)5π2.
5.
6.(1)
(2)
第6章
习题6.1
1.
2.(1,0,0).
3.x+2y-3z-2=0.
5.(1){(x.y)|x≥y};
(2){(x.y)|xy≥0};
(3){(x,y)|y≥x2且x+y≤2};
(4){(x,y)|y2>4x-8};
(5){(x,y)||x|≠|y|};
(6){(x,y)||x|≥|y|且x≠0};
(7){(x,y)|x>0,y>0,z>0};
(8){(x,y)|r2≤x2+y2+z2≤R2}.
6.(1)31;
(2)(x+y)3-2(x2-y2)+3(x-y)2.
习题6.2
1.(1)2;
(2)2;
(3)ln 2;
(4)0;
(5)2;
(6)0;
(7)2;
(8)-2
2.不连续,不连续,连续.
3.(1)不存在;
(2)不存在.
习题6.3
1.(1)
(2)
(3)
(4)
(5)
(6)
2.36,-2.
3.(1)
(2)

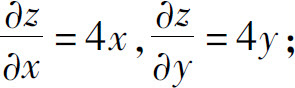
4.2,2,0.
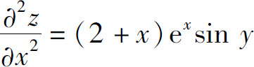
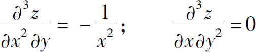
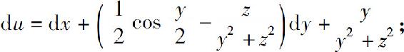
5.
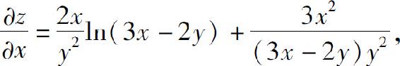
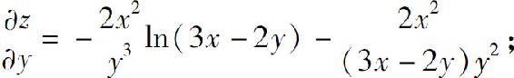
6.(1)dz=2xydx+(x2+2y)dy;
(2)
(3)
(4)
(5)dz=0.04;
(6)
(7)
7.(1)
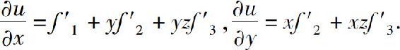
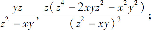
(2)0.75.
习题6.4
1.(1)
(2)

(3)
(4)

(5)
3.(1)
(2)
(3)
(4)
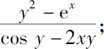
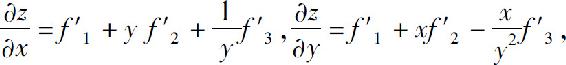
5.
习题6.5
1.(1)极大值f(2,-2)=8;
(2)极大值
(3)极小值
2.(1)条件极值
(2)条件极值
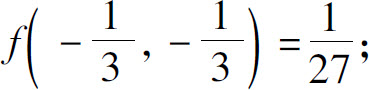
(3)条件极值u=9.
3.
4.
5.长为
宽为
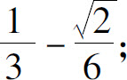
6.最大值
最小值
7.(1)用0.75万元作电台广告,用1.25万元作报纸广告;
(2)将1.5万元广告费全部用于报纸广告.
习题6.6
1.
2.(1)
(2)
(3)
3.(1)0≤I≤2;
(2)0≤I≤π2.
4.(1)
(2)
(3)-2;
(4)e-e-1.
5.(1)
(2)
(3)
(4)
6.(1)π ln 2;
(2)
(3)18π;
(4)
7.(1)
(2)
(3)
(4)
8.(1)
(2)
(3)14a4;
(4)
9.
10.
习题6
一、填空题
1.
2.
3.
4.
5.2π.
6.
二、单项选择题
1.D.
2.A.
3.D.
4.B.
5.D.
6.B.
三、解答题
1.
2.(1)
(2)
3.

4.柱高
锥高
5.最大值
最小值f(1,0)=0.
7.(1)
(2)
8.
9.e-1
10.
第7章
习题7.1
1.(1)一阶;
(2)二阶;
(3)一阶;
(4)二阶.
2.(1)是;
(2)不是;
(3)是;
(4)是.
3.(1)y′=x2;
(2)xy′=2y
4.y=-xe-x-e-x+1.
习题7.2
1.(1)y=sin(x+C);
(2)
(3)y=C sin x-3;
(4)(x-4)y4=Cx;
(5)
(6)y=2(1+x2).
2.(1)
(2)
(3)x+3y+2 ln|x+y-2|=C;
(4)y3=y2-x2
3.(1)y=Cecos x;
(2)y=cos x(C-2 cos x);
(3)
(4)
(5)
4.
5.
习题7.3
1.(1)
(2)
(3)
(4)
(5)y=C1(sin x+C2);
(6)y2=C1x+C2.
2.(1)
(2)
(3)y=ln ch x.
3.
习题7.4
1.(1)线性无关;
(2)线性相关;
(3)线性无关;
(4)线性无关;
(5)线性无关;
(6)线性无关.
2.y=C1 cos 2x+C2 sin 2x.
习题7.5
1.(1)
(2)
(3)
(4)
2.(1)
(2)
(3)
(4)
3.
4.(1)
(2)
(3)
(4)
(5)
(6)
5.(1)
(2)
6.
习题7.6
1.(1)一阶差分Δyx=(n+1)x(x-1)(x-2)…(x-n+1),
二阶差分Δ2yx=n(n+1)x(x-1)(x-2)…(x-n+2);
(2)一阶差分Δyx=8・32x,二阶差分Δ2yx=64・32x;
2.(1)
(2)yx=C(-1)x;
(3)
3.(1)
(2)
(3)
习题7
一、填空题
1.
2.
3.
4.
5.
6.
7.
8.y″-2y′+2y=0;
9.b=-4,c=5;
10.
11.y=C1(x-1)+C2(x2-1)+1.
二、单项选择题
1.C.
2.A.
3.A.
4.A.
5.D
6.A.
7.C.
三、解答题
1.(1)y2(1+y′2)=1;
(2)y″-3y′+2y=0.
2.(1)y=x(ln Cx)2;
(2)
(3)
3.(1)y=-ln(x+1);
(2)
(3)
4.φ(x)=sin x+cos x.
5.
6.y=ex.
7.1.05 km.
第8章
习题8.1
1.(1)
(2)
(3)
(4)
2.(1)发散;
(2)收敛.
3.(1)发散;
(2)发散;
(3)收敛;
(4)发散.
4.(1)1;
(2)3;
(3)1.
习题8.2
1.(1)发散;
(2)收敛;
(3)收敛;
(4)a>1时收敛,a≤1时发散;
(5)收敛;
(6)发散.
2.(1)收敛;
(2)收敛;
(3)收敛;
(4)发散.
3.(1)收敛;
(2)收敛;
(3)收敛;
(4)收敛.
4.(1)发散;
(2)收敛;
(3)发散;
(4)收敛.
习题8.3
1.(1)收敛;
(2)收敛;
(3)收敛;
(4)发散.
2.(1)条件收敛;
(2)条件收敛;
(3)绝对收敛;
(4)绝对收敛;
(5)发散;
(6)绝对收敛.
3.
习题8.4
1.(1)(-1,1);
(2)
(3)(-1,1];
(4)[-1,1];
(5)(-1,1];
(6)[4,6);
(7)[-1,5).
2.(1)
(2)
习题8.5
1.(1)

(2)
(3)
2.(1)

(2)

(3)
(4)

(5)

(6)

3.
4.
习题8.6
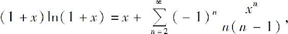
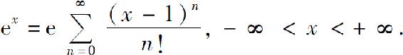
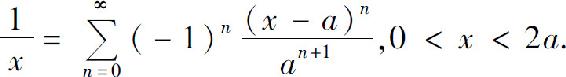
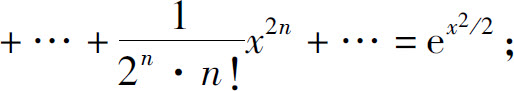
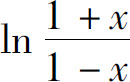
1.(1)0.6931,提示:应用
的幂级数展开式;
(2)1.648;
(3)2.9926.
2.(1)0.5205;
(2)0.4940.
3.(1)
;
(2)
.
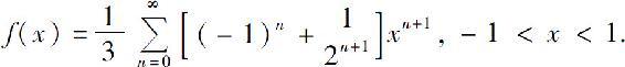
4.(1)

(2)
习题8
一、填空题
1.0.
2.>1.
3.充分必要.
4.(-2,2).
5.[0,6].
6.(1,5].
7.(-2,4).
8.
二、单项选择题
1.B.
2.A.
3.C.
4.D.
5.D.
6.B
三、解答题
1.当
时,级数发散;当a>1时,级数收敛.
2.(1)收敛且绝对收敛;
(2)条件收敛.
3.收敛区间为(-3,3),x=3时级数发散,x=-3时收敛.
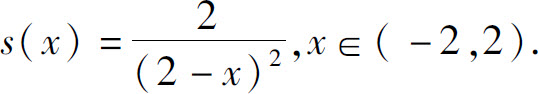
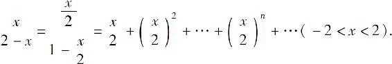
4.收敛域为(-2,2),和函数为
5.
6.
7.

8.

