8.4 幂级数
8.4.1 函数项级数的概念
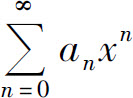
设un(x)(n=1,2,…)是定义在区间I上的一列函数,则表达式
称为定义在区间I上的函数项级数.
对于区间I上的每一点x0,由函数项级数(1)可得一个数项级数
如果数项级数(2)收敛,则称点x0为函数项级数(1)的收敛点;如果数项级数(2)发散,则称点x0为函数项级数(1)的发散点.收敛点的全体称为函数项级数(1)的收敛域.
对应于收敛域内的任意一点x,函数项级数成为一个收敛的数项级数,因而有一确定的和s.这样,在收敛域上,函数项级数的和是x的函数,称为函数项级数的和函数,记为s(x),即
函数项级数(1)的前n项的部分和记为sn(x),则在收敛域上

8.4.2 幂级数及其收敛半径
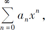
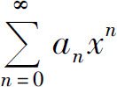
函数项级数中最简单而重要的一类级数就是幂级数,它的每一项都是幂函数,一般形式是
其中常数a0,a1,a2,…,an,…称为幂级数的系数.
不失一般性,我们只研究形如
的幂级数.因为经过变换t=x-x0,幂级数(3)就可化为(4)的形式.
现在来讨论幂级数的收敛域.
我们知道几何级数

当|x|<1时收敛,当|x|≥1时发散.因此,这个几何级数的收敛域是以x=0为中心的开区间(-1,1).
定理1(幂级数收敛定理) 幂级数
的收敛域有三种可能:
(1)存在一个正数R,使得幂级数在开区间(-R,R)内收敛,在闭区间[-R,R]外发散,在区间端点x=±R处可能收敛也可能发散;
(2)幂级数对一切的x都收敛;
(3)幂级数只在x=0处收敛.
这里,R称为幂级数的收敛半径,开区间(-R,R)称为幂级数的收敛区间.
如果幂级数对一切的x都收敛,则规定收敛半径R=+∞.如果幂级数只在x=0处收敛,则规定收敛半径R=0.
该定理揭示了幂级数收敛域的结构.如果R=+∞或R=0,收敛半径完全决定了收敛域;而对于0<R<+∞,还留下幂级数在x=±R处的收敛性问题.
可以看出,求幂级数收敛域的关键就是找出幂级数的收敛半径.对于幂级数收敛半径R,有以下简便的求法:
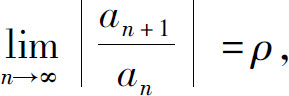
定理2 给定幂级数
设

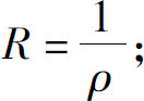
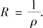
则 (1)当0<ρ<+∞时,
(2)当ρ=0时,R=+∞;
(3)当ρ=+∞时,R=0.
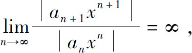
证 考察幂级数各项取绝对值所成的级数
其相邻两项之比的极限
(1)如果0<ρ<+∞,根据正项级数的比值判别法,当ρ·|x|<1,即
时,级数(5)收敛,从而级数
绝对收敛;当ρ·|x|>1,即
时,级数(5)发散并从某个n开始
因此
不可能趋于零,所以
也不可能趋于零,从而级数
发散.于是级数
的收敛半径
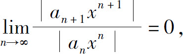
(2)如果ρ=0,则对一切的x都有
所以级数(5)收敛,从而级数
收敛.于是R=+∞.
(3)如果ρ=+∞,则对任意的x≠0都有
所以级数(5)发散,由(1)中同样的理由可知级数
发散,于是R=0.
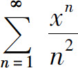
例1 求幂级数
的收敛域.
解 这里
因为
所以收敛半径R=1,收敛区间为(-1,1).
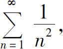
当x=1时,级数成为
是收敛的;当x=-1时,级数成为
也是收敛的.
综上所述,幂级数
的收敛域为[-1,1].
例2 求幂级数
的收敛域.
解 因为
所以收敛半径R=+∞,收敛域为(-∞,+∞).
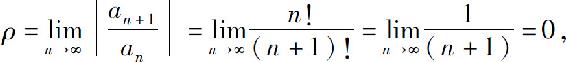
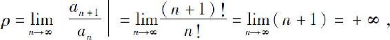
例3 求幂级数
的收敛半径.
解 因为
所以收敛半径R=0,级数仅在x=0处收敛.
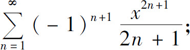
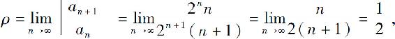
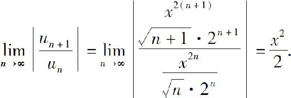
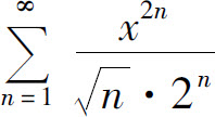
例4 求幂级数
的收敛域.
解 级数缺少奇数次幂的项,定理2不能直接应用.我们用正项级数的比值判别法来求收敛半径.
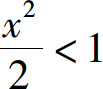
因此当
即
时,幂级数收敛;当
即
时,幂级数发散,所以幂级数的收敛半径
,收敛区间为(
).
当
时,级数成为
是发散的;当
时,级数成为
也是发散的.
综上所述,幂级数的收敛域为(
).
最后指出,幂级数
收敛域的确定,可仿照上面的方法进行讨论.
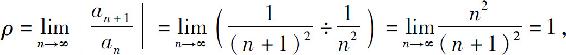
例5 求幂级数
的收敛域.
解 因为
所以收敛半径R=2,当|x-1|<2时,级数收敛,即收敛区间为(-1,3).
当x=-1时,级数成为
是收敛的;当x=3时,级数成为
是发散的.
综上所述,幂级数
的收敛域为[-1,3).
8.4.3 幂级数的运算
设幂级数
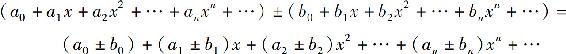
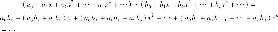
的收敛区间分别为(-R1,R1),(-R2,R2),和函数分别为s1(x),s2(x).令R=min{R1,R2},则在区间(-R,R)内两级数可逐项相加、相减和相乘.
逐项相加和相减:
逐项相乘:
可以证明,幂级数的和函数有下列性质:
性质1 幂级数
的和函数s(x)在其收敛域I上连续.
性质2 幂级数
的和函数s(x)在其收敛域I上可积,并有
性质3 幂级数
的和函数s(x)在其收敛区间(-R,R)内可导,并有
也就是幂级数
逐项积分或逐项求导后所得的幂级数与原幂级数有相同的收敛半径R,并且在区间(-R,R)内新得到的幂级数的和函数分别为原幂级数的和函数s(x)的积分或导数.
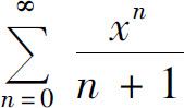
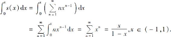
例6 求幂级数

的和函数.
解 易知幂级数的收敛域为(-1,1).设和函数为s(x),即
逐项积分,得
等式两边求导,得
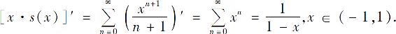
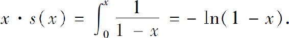
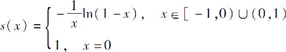
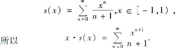
例7 求幂级数
的和函数.
解 易知幂级数的收敛域为[-1,1).设和函数为s(x),即
逐项求导,得
两边积分,得
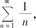
于是,当x≠0时,有
而s(0)=1,故
习题8.4
1.求下列幂级数的收敛域:
(1)
(2)
(3)
(4)
(5)
(6)
(7)
2.求下列幂级数的和函数:
(1)
(2)