8.2 正项级数
给定一个级数,我们有两个问题:
(1)级数是否收敛?
(2)如果级数收敛,它的和是多少?
就第一个问题,本节研究没有负项的级数,即正项级数.
设
是一个正项级数,其部分和为sn,则有
s1≤s2≤…≤sn≤…
即部分和数列
是一个单调增加数列.根据单调有界准则,如果数列
有界,则其极限一定存在,从而正项级数
收敛;反过来,如果正项级数
收敛,即数列
有极限,故数列
有界.
定理1 正项级数
收敛的充分必要条件是它的部分和数列有界.
由此可得正项级数收敛性的一个基本判别法.
定理2(比较判别法) 设
是正项级数.
(1)如果存在一个收敛的正项级数
有un≤vn,则
收敛;
(2)如果存在一个发散的正项级数
,有un≥vn,则
发散.
证 (1)设
收敛于σ,则
的部分和
sn=u1+u2+…+un≤v1+v2+…+vn≤σ,
即
的部分和数列
有界,从而由定理1知级数收敛.
(2)用反证法.假设级数
收敛,由(1)可知级数
收敛,这与定理所给条件矛盾,所以
发散.
因为级数的收敛性与级数前有限项无关,我们可得如下推论:
推论 设
是正项级数.
(1)如果存在一个收敛的正项级数
和正整数N,使得当n>N时,有un≤kvn(k>0),则
收敛;
(2)如果存在一个发散的正项级数
和正整数N,使得当n>N时,有un≥kvn(k>0),则
发散.
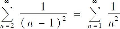
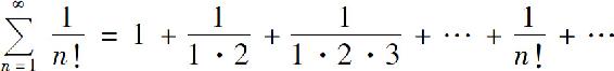
例1 讨论p级数
的收敛性.
解 当p≤1时,有
由于调和级数
是发散的,故级数(1)发散.
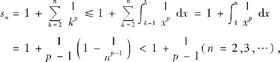
当p>1时,因为对任意x≥1,当k-1≤x≤k时,有
所以
从而级数(1)的部分和
故部分和数列
有界,所以级数(1)收敛.
综上所述,当p≤1时,p级数发散;当p>1时,p级数收敛.
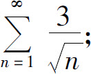
例如,级数
是p级数,
因而级数是发散的.而p级数
是收敛的,因为p=2>1.
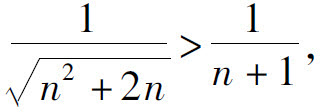
例2 讨论级数

的收敛性.
解 因为n2+2n<n2+2n+1=(n+1)2,所以
而级数
是发散的,由比较判别法知原级数也是发散的.
在应用上,我们常使用较为方便的比较判别法的极限形式.
定理3(比较判别法的极限形式) 设
和
都是正项级数,且
(1)如果0<l<+∞,则级数
和
同时收敛或同时发散;
(2)如果l=0,并且级数
收敛,则级数
收敛;
(3)如果l=∞,并且级数
发散,则级数
发散.
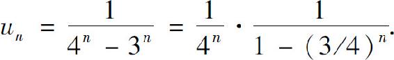
例3 判定级数
的收敛性.
解 由于一般项
令
则
而几何级数
收敛,所以级数
收敛.
例4 判定级数
的收敛性.
解 当n→∞时,
故
而调和级数
发散,故级数
发散.
应用比较判别法时,需要找到一个已知收敛性的级数
作为比较的对象,最常选用的是几何级数和p级数.但在不少情况下要找到这类比较对象是困难的,为此,下面介绍更简单直观的比值判别法.这种方法不需借助其他的级数,因此使用起来更为简便.比值判别法通过考察通项的比值
来测量级数增长的速率.对于几何级数
这个速率是一个常数
当且仅当这个速率的绝对值小于1时级数收敛.比值判别法将这个结果推广为通用的规则.
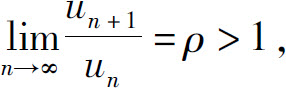
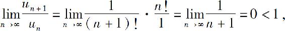
定理4(比值判别法) 设
为正项级数,如果

则 (1)当ρ<1时,级数收敛;
(2)当ρ>1(或ρ=∞)时,级数发散;
(3)当ρ=1时,级数可能收敛也可能发散.
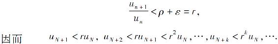
证 (1)当ρ<1时.取一个适当的正数ε,使得ρ+ε=r<1,根据极限的定义,存在正整数N,当n>N时有
而级数
收敛(公比r<1的几何级数),于是由比较判别法可知级数
也收敛,从而级数
收敛.
(2)当ρ>1时.因为
所以存在正整数N,当n>N时有
由此可见,从第N项以后un是递增的,从而
根据级数收敛的必要条件知级数
发散.
类似可证,当ρ=∞时,级数
发散.
(3)当ρ=1时,级数
可能收敛也可能发散.例如p级数
对任意的p>0都有
但我们知道,当p≤1时级数发散,当p>1时级数收敛.
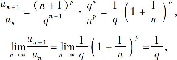
例5 讨论级数
的收敛性.
解 因为
所以,当
即q>1时,级数收敛;当
即q<1时,级数发散;而当q=1时,级数为
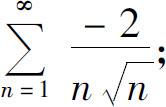
显然发散.
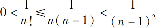
例6 讨论级数
的收敛性.
解法1(利用比较判别法)当n≥2时,
而
收敛,所以所给级数收敛.
解法2(利用比值判别法)因为
所以所给级数收敛.
下面不加证明地给出另一判别正项级数收敛性的强有力工具——根值判别法.
定理5(根值判别法)设
为正项级数,如果

则 (1)当ρ<1时,级数收敛;
(2)当ρ>1(或ρ=∞)时,级数发散;
(3)当ρ=1时,级数可能收敛也可能发散.
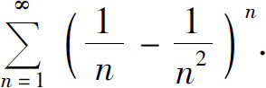
例7 讨论级数
的收敛性.
解 因为
所以所给级数收敛(这里
).
习题8.2
1.用比较判别法及其极限形式判定下列级数的收敛性:
(1)
(2)
(3)
(4)
(5)
(6)
2.用比值判别法判定下列级数的收敛性:
(1)
(2)
(3)
(4)
3.用根值判别法判定下列级数的收敛性:
(1)
(2)
(3)
(4)
4.确定下列级数的收敛性:
(1)
(2)
(3)
(4)
5.利用级数收敛的必要条件证明: