7.5 二阶常系数线性微分方程
在线性微分方程中,如果未知函数及其各阶导数的系数都是常数,则称为常系数线性微分方程.本节讨论二阶常系数线性微分方程的解法.
7.5.1 二阶常系数齐次线性微分方程
二阶常系数齐次线性微分方程的一般形式为
其中p,q是常数.
因为指数函数erx与其一阶、二阶导数rerx,r2erx只相差一个常数因子,所以,只要选择适当的r,就可使erx成为常系数齐次线性微分方程(1)的解.为此,我们将y=erx代入方程(1),得
因为erx≠0,所以
由此可见,只要待定系数r满足代数方程(2),函数y=erx就是微分方程(1)的解.我们把代数方程(2)称为微分方程(1)的特征方程.
特征方程(2)是一个二次代数方程,其中r2,r的系数及常数项恰好依次是微分方程(1)中y″,y′及y的系数.
设特征方程的两个根为r1,r2,则相应于r1,r2的三种情况,微分方程(1)的通解也有三种不同的情形.分别讨论如下:
(1)特征方程有两个不相等的实根:r1≠r2
这时微分方程(1)有两个特解

因为
不为常数,所以y1,y2线性无关.因此方程(1)的通解为

(2)特征方程有两个相等的实根:r1=r2
这时微分方程(1)有一个特解

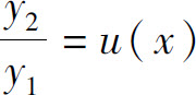
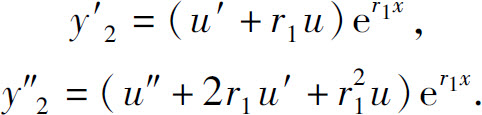
为了得到微分方程(1)的通解,还需求出一个与y1线性无关的特解y2,也就是求方程(1)的特解y2,它满足
不为常数.为此,设
,即令方程(1)另一个的特解为
其中u(x)是一个待定函数.求导得
将y2,y′2和y″2代入微分方程(1),得
即
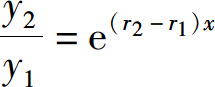
因为
,所以
由于r1是特征方程(2)的重根,从而
,所以得u″=0.因为这里只要得到一个不为常数的解,所以不妨取u=x,代入式(3)得

这便是微分方程(1)的与
线性无关的特解.由此,微分方程(1)的通解为

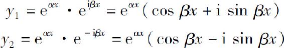
(3)特征方程有一对共轭复根:r1=α+iβ,r2=α-iβ
这时微分方程(1)有两个特解
但它们是复值函数形式.为了得到实值函数的特解,利用欧拉公式

将y1与y2改写为
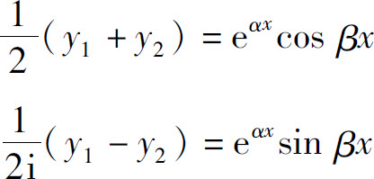
由叠加原理,实值函数
也是微分方程(1)的解,并且
不为常数,所以这两个解线性无关.
由此,微分方程(1)的通解为

综上所述,求二阶常系数齐次线性微分方程(1)的通解的步骤如下:
第一步,写出微分方程的特征方程r2+pr+q=0;
第二步,求出特征方程的两个根r1,r2;
第三步,根据特征方程根的不同情况,按下表写出微分方程的通解.
例1 求微分方程y″+5y′-6y=0的通解.解 其特征方程为
r2+5r-6=0
有两个不相等的实根:r1=-6,r2=1,因此所求通解为

例2 求微分方程y″+2y′+y=0满足初始条件y(0)=4,y′(0)=-2的特解.
解 其特征方程为
r2+2r+1=0
有两个相等的实根:r1=r2=-1,因此所求微分方程的通解为

求导,得

将条件y(0)=4,y′(0)=-2代入上面两式,得

解得C1=4,C2=2,所以所求特解为
y=(4+2x)e-x.
例3 求微分方程y″+6y′+13y=0的通解.
解 其特征方程为
r2+6r+13=0
有一对公轭复根:r1,2=-3±2i,因此所求通解为

例4 已知某二阶常系数齐次线性微分方程的特征方程有一个根r1=1-3i,试建立这个微分方程.
解 由于r1=1-3i是特征方程r2+pr+q=0的一个根,则r2=1+3i为另一个根.故

由韦达定理可知其特征方程为
r2-2r+10=0,
从而所求微分方程为
y″-2y′+10y=0.
7.5.2 二阶常系数非齐次线性微分方程
二阶常系数非齐次线性微分方程的一般形式为
由7.4定理3可知,方程(4)的通解等于它的一个特解y*加上相应的齐次方程
的通解.由于二阶常系数齐次线性微分方程的通解的求法在前一节得到解决,所以只需讨论求方程(4)的特解y*的方法.一般说来,特解y*是不容易求的,但当非齐次项f(x)为某些特殊类型的函数时,我们只用代数方法就能求出y*.这种代数方法称为待定系数法.
1)f(x)=Pm(x)eλx型
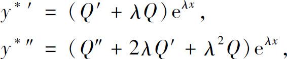
这里Pm(x)是x的m次多项式,λ为常数.因为f(x)是多项式与指数函数的乘积,而多项式与指数函数乘积的导数仍是由多项式与指数函数的乘积构成,所以可推测方程(4)的特解y*也是多项式与指数函数的乘积,即令
y*=Q(x)eλx,
其中Q(x)是待定多项式.求导
代入方程(4)并消去eλx,得
(1)如果λ2+pλ+q≠0,即λ不是方程(5)的特征方程的根,此时上述等式要成立,等号左边的最高次幂应出现在Q(x)中.所以可知Q(x)=Qm(x)为一个m次多项式:
代入式(6),比较等式两边x同次幂的系数,由此可定出b0,b1,…,bm这m+1个待定系数,从而得到所求的特解
(2)如果λ2+pλ+q=0而2λ+p≠0,即λ是特征方程的单根,此时式(6)化为
(2λ+p)Q′+Q″=Pm(x).
为使其两边恒等,Q′(x)必须是m次多项式.可令
Q(x)=xQm(x)
并且可用同样的方法来确定Qm(x)的系数.
(3)如果λ2+pλ+q=0且2λ+p=0,即λ是特征方程的重根,此时式(6)化为
Q″=Pm(x)
为使其两边恒等,Q″(x)必须是m次多项式.可令
Q(x)=x2Qm(x)
并且可用同样的方法来确定Qm(x)的系数.
综上所述,我们可以得到以下结论:
当f(x)=Pm(x)eλx时,二阶常系数非齐次线性微分方程(4)的特解形如

其中,Qm(x)是与Pm(x)同次的(m次)待定多项式,k按λ不是特征方程的根、是特征方程的单根或重根依次取为0,1或2.
例5 求微分方程y″-2y′-3y=3x+1的一个特解.
解 相应齐次方程y″-2y′-3y=0的特征方程为
r2-2r-3=0,
有两个不相等的空根:r1=3,r2=-1.
因为f(x)=3x+1是Pm(x)eλx型(Pm(x)=3x+1是一次多项式,λ=0),且λ=0不是特征方程的根,所以可设特解为

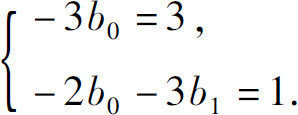
把它代入所给方程,得
-3b0x-2b0-3b1=3x+1,
比较两边同类项的系数,得

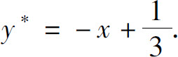
解得
.因而所给方程的一个特解为

例6 求微分方程y″-2y′+y=ex的通解.
解 相应齐次方程的特征方程为
r2-2r+1=0,
有重根r1=r2=1.所以相应齐次方程的通解为
Y=(C1+C2x)ex.
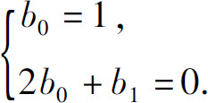
因为f(x)=ex是Pm(x)eλx型(Pm(x)=1是零次多项式,λ=1),且λ=1是特征方程的重根,所以可令

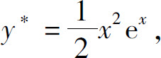
把它代入所给方程,得2b=1,即
,于是求得一个特解为

从而所求通解为

例7 求微分方程y″-2y′+y=xe2x的通解.
解 由上例,其相应齐次方程的通解为
Y=(C1+C2x)ex.
因为f(x)=xe2x是Pm(x)eλx型(Pm(x)=x是一次多项式,λ=2),且λ=2不是特征方程的根,所以可令

把它代入所给方程,得

解得b0=1,b1=-2,于是求得一个特解为

从而所给方程的通解为

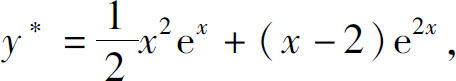
例8 求微分方程y″-2y′+y=ex+xe2x的通解.
解 由非齐次线性微分方程的解的叠加原理及例6、例7,可知此方程的一个特解为

其通解为
2)f(x)=eλx[Pl(x)cos βx+Pn(x)sin βx]型
应用欧拉公式及前面分析的结果可以推出下面的结论:
当f(x)=eλx[Pl(x)cos βx+Pn(x)sin βx]时,二阶常系数非齐次线性微分方程(4)具有形如
的特解,其中
是m次多项式,m=max{l,n},k按λ+iβ(或λ-iβ)不是特征方程的根或是特征方程的单根依次取为0或1.
特别地,当f(x)=Aeλxcos βx或f(x)=Beλxsin βx时,可设特解
其中D1,D2是两个待定常数,k按λ+iβ(或λ-iβ)不是特征方程的根或是特征方程的单根依次取为0或1.
例9 求微分方程y″+y=sin 2x的一个特解.
解 相应齐次方程的特征方程为
r2+1=0.
f(x)=sin 2x属于eλx[Pl(x)cos βx+Pn(x)sin βx]型(λ=0,β=2,Pl(x)=0,Pn(x)=1),由于λ+iβ=2i不是特征方程的根,所以可设特解
y*=a cos 2x+b sin 2x.
把它代入所给方程,得 -3a cos 2x-3b sin 2x=sin 2x.
比较两边同类项的系数,得
.于是所给方程的一个特解为

例10 求微分方程y″+2y′+3y=2x cos x的通解.
解 相应齐次方程的特征方程为
r2+2r+3=0,
有一对共轭复根
.所以相应齐次方程的通解为
因为f(x)=2x cos x属于eλx[Pl(x)cos βx+Pn(x)sin βx]型(其中λ=0,β=1,Pl(x)=x,Pn(x)=0),由于λ+iβ=i不是特征方程的根,所以可设特解
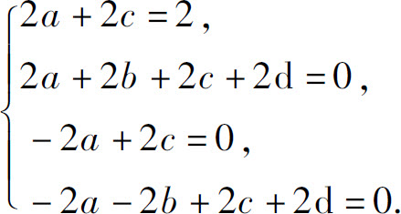
y*=(ax+b)cos x+(cx+d)sin x.
把它代入所给方程,得
[(2a+2c)x+2a+2b+2c+2d]cos x+[(-2a+2c)x-2a-2b+2c+2d]=2x cos x,
比较两边同类项的系数,得

解得
于是求得一个特解
从而所给方程的通解为
习题7.5
1.求下列微分方程的通解:
(1)y″+4y′+3y=0;
(2)y″+6y′+9y=0;
(3)y″+2y′+2y=0;
(4)y″+y′=0;
2.求下列微分方程的特解:
(1)y″+2y′+y=0,y(0)=1,y′(0)=0;
(2)y″-3y′+2y=0,y(0)=3,y′(0)=4;
(3)y″+4y′+29y=0,y(0)=0,y′(0)=15;
(4)y″+25y=0,y(0)=2,y′(0)=5.
3.求满足方程y″+4y′+4y=0的曲线y=y(x),使该曲线在点P(2,4)处与直线y=x+2相切.
4.求下列微分方程的通解:
(1)y″-y′-2y=4ex;
(2)y″-4y′=5;
(3)y″-6y′+9y=x+1;
(4)y″+2y′+y=4xe-x;
(5)y″+y=sin x;
(6)y″+4y=x cos x.
5.求下列微分方程满足所给初始条件的特解:
(1)y″-3y′+2y=5,y(0)=1,y′(0)=2;
(2)y″+4y=sin x cos x,y(0)=0,y′(0)=0.
6.设函数φ(x)连续,且满足
求φ(x).