1
高等数学
1.8.4 7.4 线性微分方程解的结构

7.4 线性微分方程解的结构

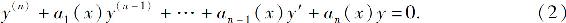
前面介绍了一阶线性微分方程.一般地,若微分方程关于未知函数及其各阶导数是线性的,则称此方程为线性微分方程.n阶线性微分方程的一般形式为

其中a1(x),a2(x),…,an(x)和f(x)都是某个区间I上的已知连续函数.当f(x)≡0时,(1)变成相应的齐次线性方程:

我们先讨论二阶齐次线性方程:

定理1(叠加原理) 如果函数y1(x)与y2(x)是二阶齐次线性方程(3)的两个解,则

也是方程(3)的解,其中C1,C2是任意常数.

证 将式(4)代入方程(3)的左边,得

由于y1与y2是方程(3)的解,上式右边方括号中的表达式都恒等于零,因而整个式子恒等于零,所以式(4)是方程(3)的解.

例如,可以验证y1=e3x与y2=e-x都是方程

y″-2y′-3y=0

的解,从而由叠加原理可知,对于任意常数C1,C2,y=C1e3x+C2e-x也是方程的解,且由于这个解含有两个互相独立的任意常数C1与C2,所以y=C1e3x+C2e-x是方程的通解.但是,对于这个方程的任意两个解y1与y2,y=C1y1+C2y2不一定是方程的通解.

例如,y1=e3x与y2=2e3x是方程

y″-2y′-3y=0

的两个解,由于y=C1e3x+C2·2e3x可以改写为y=Ce3x,其中C=C1+2C2,所以y=C1e3x+C2·2e3x显然不是方程的通解.那么在什么情况下式(4)才是方程(3)的通解?为解决这个问题,我们引入函数线性相关与线性无关的概念.

定义 设y1(x),y2(x),…,yn(x)为定义区间I上的n个函数,如果存在n个不全为零的常数k1,k2,…,kn,使得任意x∈I都有

k1y1(x)+k2y2(x)+…+knyn(x)=0

成立,则称y1(x),y2(x),…,yn(x)在区间I上线性相关;否则称线性无关.

对于两个函数的情形,判断它们线性相关与否,只要看它们的比是否恒为常数.如果比恒为常数,那么它们线性相关,否则线性无关.

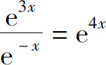
例如前面所提到的e3x与e-x,因为不恒为常数,所以e3x与e-x线性无关;而,所以e3x与2e3x线性相关.又如,因为x,x2,ex,sin x,cos x中任意两个函数的比都不为常数,所以它们当中任意两个函数都是线性无关的.

有了线性相关与线性无关的概念,我们给出如下关于二阶齐次线性方程(3)通解结构的定理.

定理2 如果函数y1(x)与y2(x)是二阶齐次线性方程(3)的两个线性无关的特解,则

y=C1y1(x)+C2y2(x) (C1,C2是任意常数)

就是方程(3)的通解.

例如,y1=e3x与y2=e-x是方程y″-2y′-3y=0两个线性无关的特解,由上述定理可知y=C1e3x+C2e-x是方程的通解.

定理2不难推广到n阶齐次线性微分方程的情形.

推论 如果y1(x),y2(x),…,yn(x)是n阶齐次线性微分方程(2)的n个线性无关的特解,则

y=C1y1(x)+C2y2(x)+…+Cnyn(x) (其中C1,C2,…,Cn为任意常数)

是方程(2)的通解.

在前一节中我们已经看到,一阶非齐次线性微分方程的通解由两部分组成:一部分是对应齐次方程的通解,另一部分是非齐次方程本身的一个特解.实际上,二阶及更高阶的非齐次线性微分方程的通解也具有同样的结构.

定理3 设y*(x)是二阶非齐次线性微分方程

的特解,Y(x)是方程(5)相应的齐次线性方程(3)的通解,则

方程(5)的通解.

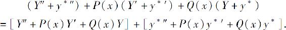
证 把y=Y(x)+y*(x)代入式(5)的左边,得

因为Y是方程(3)的解,y*是方程(5)的解,所以右边第一个括号内的表达式恒等于零,第二个恒等于f(x).这样,y=Y+y*使式(5)的两边恒等,即y=Y+y*是方程(5)的解.

因为相应的齐次线性方程(3)的通解Y=C1y1+C2y2含有两个任意常数,所以y=Y+y*也含有两个任意常数,从而就是二阶非齐次线性方程(5)的通解.

在求解非齐次线性方程的特解时,有时可采用下述定理:

定理4 设非齐次线性方程(5)的右边f(x)可表示成几个函数之和,如

而y1与y2分别是方程

y″+P(x)y′+Q(x)y=f1(x)

y″+P(x)y′+Q(x)y=f2(x)

的特解,则y1+y2是方程(7)的特解.

读者很容易验证这个定理.

这一定理通常称为非齐次线性微分方程的解的叠加原理.

定理3和定理4可以推广到n阶非齐次线性方程的情形,这里不再赘述.

习题7.4

1.下列函数组中,哪些是线性无关的?

(1)x,x2

(2)x,2x;

(3)x,ex

(4)ex,e-x

(5)sin 2x,cos 2x;

(6)excos 2x,exsin 2x.

2.验证y1=cos 2x及y2=sin 2x都是方程y″+4y=0的解,并写出该方程的通解.

3.验证:

(1)y=C1ex+C2e-x+e2x(C1,C2是任意常数)是方程y″-y=3e2x的通解;

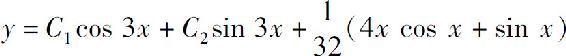
(2)(C1,C2是任意常数)是方程y″+9y=x cos x的通解;

(3)y=C1ex+C2e-x+C3cos x+C4sin x-x2(C1,C2C3C4是任意常数)是方程y(4)-y=x2的通解.