7.1 微分方程的一般概念
我们先看两个例子:
例1 求一条平面曲线,使曲线上任一点处的切线斜率等于该点横坐标平方的3倍,并且曲线过坐标原点.
解 设曲线方程为y=y(x),则曲线在点P(x,y)处的切线斜率为y′(x),所以未知函数y=y(x)满足关系式
此外,未知函数y=y(x)还应满足条件:
对式(1)两边积分,得
其中C为任意常数.
把条件(2)代入(3),得C=0,所以所求曲线的方程为
例2 一质量为m的物体受重力作用而下落,如果开始下落时位置和速度都为0,试求物体下落的距离S与时间t的关系.
解 设物体在时刻t下落的距离为S=S(t),因物体只受重力的作用,由牛顿第二运动定律可知,物体运动的加速度
其中g为重力加速度.此外,未知函数还应满足如下条件:
对式(5)两端积分,得
再积分一次,得
这里C1,C2为任意常数.
把条件“t=0时,
”代入式(7),得C1=0;再把条件“t=0时,S=0”代入式(8),得C2=0.所以下落的距离S与时间t的关系为
上述两个例子中的关系式(1)和(5)都含有未知函数的导数,它们都是微分方程.一般地,有如下定义:
定义 表示未知函数、未知函数的导数与自变量之间关系的方程称为微分方程.未知函数是一元函数的,称为常微分方程;未知函数是多元函数的,称为偏微分方程.
我们只讨论常微分方程,为方便起见简称为微分方程或方程.
微分方程中出现的未知函数最高阶导数的阶数称为微分方程的阶.例如,前面所介绍的微分方程(1)是一阶常微分方程,微分方程(5)是二阶微分方程.
一般地,n阶微分方程的形式是
其中F是n+2个变量的函数.这里必须指出,在方程(10)中,y(n)是必须出现的,而x,y,y′,…,y(n-1)等变量则可以不出现.例如n阶微分方程
y(n)+1=0
中,除y(n)外,其他变量都没有出现.
由前面的例子可以看到,在研究某些实际问题时,首先要建立微分方程,然后找出满足微分方程的函数.确切地说,函数y=φ(x)满足方程微分方程(10),即用
代入方程(10),而使其成为恒等式
则函数y=φ(x)称为微分方程(10)的解.
例如,函数(3)和(4)都是微分方程(1)的解;函数(8)和(9)都是微分方程(5)的解.
微分方程(1)的解
y=x3+C
含有一个任意常数.在这个解中,当任意常数C取不同的值时,就得到不同的y(x),它们都是微分方程的解,故一个微分方程有无穷多个解.
一般说来,一个n阶微分方程的解若含有n个互相独立的任意常数,即若微分方程的解中含有独立的任意常数的个数与方程的阶数相同,则这个解称为该方程的通解.
例如,函数y=x3+C是方程(1)的通解,因为它含有一个任意常数,而方程(1)是一阶的.又如函数(8)是方程(5)的通解,它含有两个独立的任意常数,而方程(5)是二阶的.
这里所说的任意常数是相互独立的,是指它们不能合并而使任意常数的个数减少.要准确理解,可参看7.4节中函数线性无关的概念.
由于通解中含有任意常数,所以它还不能完全确定地反映某一客观事物的规律性.要完全确定地反映客观事物的规律性,就必须确定这些常数的值.为此,要根据问题的实际情况,提出确定这些常数的条件.例如,例1中的条件:曲线过坐标原点.
一般地,对于一阶微分方程,用来确定任意常数的条件是:
其中x0,y0都是给定的值;对于二阶微分方程,用来确定任意常数的条件是:
其中x0,y0,y1都是给定的值.上述这种条件称为初始条件.
确定了通解中的任意常数以后,就得到微分方程的一个特定的解,称为微分方程的特解.例如函数(4)是方程(1)满足初始条件(2)的特解;函数(9)是方程(5)满足初始条件(6)的特解.
求微分方程满足初始条件的特解的问题叫做初值问题.
微分方程的解的图形是曲线,称为微分方程的积分曲线.
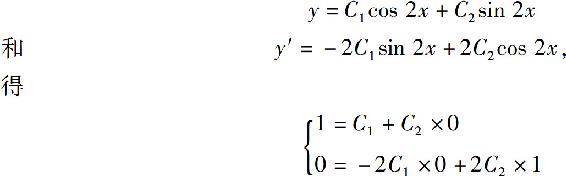
例3 验证函数y=C1cos 2x+C2sin 2x(C1,C2为任意常数)是微分方程
y″+4y=0
的通解,并求满足初始条件:y(0)=1,y′(0)=0的特解.
解
把y,y″代入微分方程,得
左边=-4C1cos 2x-4C2sin 2x+4(C1cos 2x+C2sin 2x)=0=右边.
所以,y=C1cos 2x+C2sin 2x是微分方程y″+4y=0的解,又因为解中含有两个独立的任意常数,常数个数与方程的阶数相同,所以是方程的通解.
将初始条件y(0)=1,y′(0)=0代入
于是C1=1,C2=0,所以方程满足初始条件的特解为
y=cos 2x.
习题7.1
1.指出下列各微分方程的阶数:
(1)
(2)
(3)
(4)
2.判断下列各题中的函数是否为所给微分方程的解?
(1)
(2)
(3)
(4)
3.写出下列条件确定的曲线所满足的微分方程:
(1)曲线在点(x,y)处的切线斜率等于该点横坐标的平方;
(2)曲线在点(x,y)处的切线与横轴交点的横坐标等于切点横坐标的一半.
4.已知曲线通过点(0,0),且该曲线在点(x,y)处的切线斜率为xe-x,求该曲线的方程.