6.4 多元复合函数求导法则与隐函数求导公式
6.4.1 多元复合函数的求导法则
设z=f(u,v)是变量u,v的函数,而u,v又是变量x,y的函数:u=u(x,y),v=v(x,y),则z通过中间变量u,v而成为自变量x,y的复合函数,记为:
z=f[u(x,y),v(x,y)].
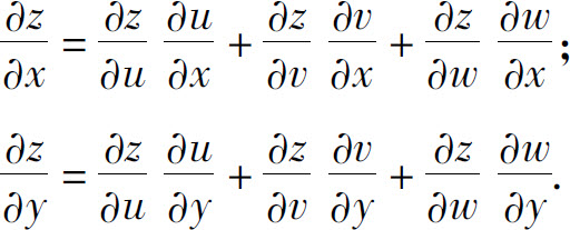
定理 设函数u=u(x,y),v=v(x,y)在点(x,y)的偏导数都存在,而函数z=f(u,v)在对应点(u,v)可微,则复合函数z=f[u(x,y),v(x,y)]在点(x,y)的两个偏导数都存在,且
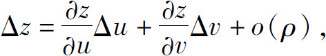
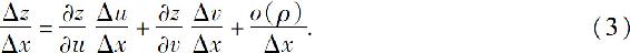
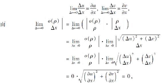
证 设y保持不变,给x增量Δx(Δx≠0),则u,v对应的增量为Δu,Δv,函数z=f(u,v)相应地获得增量Δz.因为函数z=f(u,v)在对应点(u,v)可微,所以

其中
上式两边同除以Δx(Δx≠0),得
因为u=u(x,y),v=v(x,y)的偏导数存在,所以Δx→0时,ρ→0,并且
即
于是当Δx→0时,式(3)右边的极限存在,故左边极限也存在,两边取极限后得

同理可证式(2)成立.
复合函数的求导法则不难推广到任意多个中间变量或自变量的情形.例如,设z=f(u,v,w),而u,v,w都是x,y的函数:u=u(x,y),v=v(x,y),w=w(x,y),则复合函数z=f[u(x,y),v(x,y),w(x,y)]对自变量x,y的偏导数为:

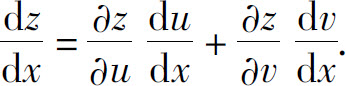
特别地,设z=f(u,v),u=u(x),v=v(x),则复合函数
z=f[u(x),v(x)]
是x的一元函数,这时z对x的导数称为全导数,且有

在运用复合函数求导公式时,必须特别注意复合函数中哪些是自变量,哪些是中间变量.一般地,复合函数对某一自变量求偏导数时,若与该变量有关的中间变量有n个,则复合函数求导公式的右边就是n项之和,其中每一项是因变量对某一个中间变量的偏导数与这个中间变量对该自变量的偏导数的乘积.
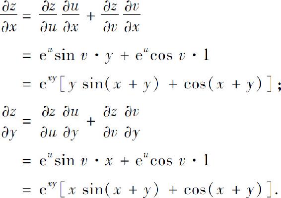
例1 设z=eusin v,其中u=xy,v=x+y,求
解
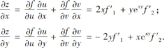
例2 设z=f(x2-y2,exy),求
解 令u=x2-y2,v=exy,从而z=f(u,v).因此
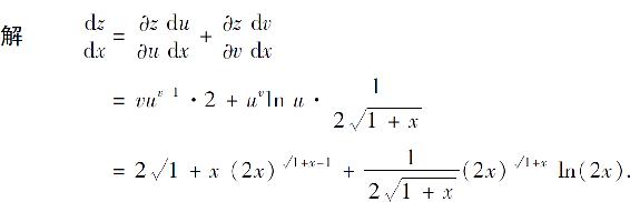
例3 设z=uv,其中u=2x,
求
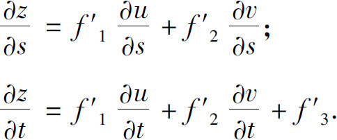
例4 设z=f(u,v,t),其中u=g(s,t),v=h(s,t),求
解 z通过中间变量u,v,t而成为自变量s,t的复合函数
z=f[g(s,t),h(s,t),t],
这里t既是中间变量又是自变量.因此

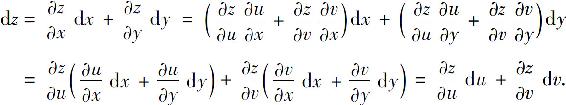
对于函数z=f(u,v),当u,v为自变量时,函数的全微分为

如果u,v是自变量x,y的函数u=u(x,y),v=v(x,y),则复合函数
z=f[u(x,y),v(x,y)]
的全微分为
因此,无论z是自变量u,v的函数,还是中间变量u,v的函数,它的全微分形式是一样的,这个性质称为全微分形式的不变性.
6.4.2 隐函数求导公式
在一元函数的微分学中,我们通过实例介绍了由方程F(x,y)=0确定的隐函数的导数的计算方法.现在我们给出隐函数存在及可微的条件,以及隐函数的求导公式.
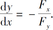
隐函数存在定理1 设函数F(x,y)在点(x0,y0)的某一邻域内有连续偏导数,且F(x0,y0)=0,Fy(x0,y0)≠0,则方程F(x,y)=0在点(x0,y0)的某一邻域内能唯一确定一个连续且有连续导数的函数y=f(x),它满足条件y0=f(x0),并有
公式(4)就是隐函数的求导公式.
这个定理我们不加证明,仅对公式(4)进行推导.
将方程F(x,y)=0所确定的隐函数y=f(x)代入方程,得恒等式
F[x,f(x)]≡0.
上式左边可看作x的复合函数,两边对x求全导数,得

因为Fy连续且Fy(x0,y0)≠0,所以存在点(x0,y0)的某一邻域,在此邻域内Fy≠0,于是得

隐函数存在定理可推广到多元函数的情形.例如,可以由三元函数F(x,y,z)的性质来断定由方程F(x,y,z)=0所确定的二元函数z=f(x,y)的存在及性质.
隐函数存在定理2 设函数F(x,y,z)在点(x0,y0,z0)的某一邻域内有连续偏导数,且F(x0,y0,z0)=0,Fz(x0,y0,z0)≠0,则方程F(x,y,z)=0在点(x0,y0,z0)的某一邻域内能唯一确定一个连续且有连续偏导数的函数z=f(x,y),它满足条件z0=f(x0,y0),并有
上述求导公式推导如下:
由于
F[x,y,f(x,y)]≡0
应用复合函数的求导法则,上式两边分别对x,y求导,得

因为Fz连续且Fz(x0,y0,z0)≠0,所以存在点(x0,y0,z0)的某一邻域,在此邻域内Fz≠0,于是得

例5 求由方程x=y-sin xy确定的隐函数y=f(x)的导数.
解 设F(x,y)=y-sin xy-x,则
Fx=-y cos xy-1,Fy=1-x cos xy.
由公式(4)可得

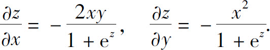
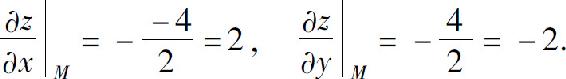
例6 求由方程ez+x2y+z-5=0确定的隐函数z=f(x,y)在点M(-2,1,0)处的偏导数.
解 设F(x,y,z)=ez+x2y+z-5,则
Fx=2xy,Fy=x2,Fz=1+ez.
所以

代入点M(-2,1,0),得

习题6.4
1.求下列复合函数的偏导数或全导数:
(1)设z=u2+v2,而u=x+y,v=x-y,求
(2)设z=u2ln v,而
,v=3x-2y,求
(3)设z=ex-2y,而x=sin t,y=t3,求
(4)设u=cos(x+y2+z3),而x=rst,y=r+s+t,z=rs+st+tr,求
;
(5)设u=f(x,xy,xyz),求
.
2.设z=f(x2+y2),证明:
.
3.求下列方程所确定的隐函数的导数或偏导数:
(1)设sin y+ex-xy2=0,求
;
(2)设xyz=sin z,求
;
(3)设z3-3xyz=1,求
;
(4)设F(x2-y2,y2-z2)=0,求
.
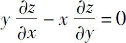
4.设2 sin(x+2y-3z)=x+2y-3z,证明:
.
5.设
求
.