6.3 偏导数与全微分
6.3.1 偏导数
一元函数y=f(x)的导数就是函数的变化率,描述了当自变量变化时,函数的变化情况.对于二元函数z=f(x,y),当x,y同时变化时,函数的变化情况较为复杂.为此,我们先讨论二元函数关于其中一个自变量的变化率.
定义1 设函数z=f(x,y)在点(x0,y0)的某个邻域内有定义,如果把y固定在y0时,一元函数f(x,y0)在点x0处可导,即极限

存在,则称此极限为函数z=f(x,y)在点(x0,y0)处对x的偏导数,记为
类似地,把一元函数f(x0,y)在点y0处的导数定义为函数z=f(x,y)在点(x0,y0)处对y的偏导数,记为
如果函数z=f(x,y)在区域D内每一点(x,y)处对x(或对y)的偏导数都存在,这个偏导数就是x,y的函数,称为函数z=f(x,y)对x(或对y)的偏导函数,记为

一般地,在不致混淆的情况下,偏导函数简称为偏导数.
偏导数的概念可推广到二元以上的多元函数的情况.
根据定义,求函数对某一自变量的偏导数时,只要把其余自变量都看成常数,然后求这“一元”函数对这一自变量的导数.因此,关于一元函数求导的基本法则对求多元函数的偏导数仍然适用.
例1 求z=2x2+3xy-6y2在点(1,0)处的偏导数.
解法1 把y看成常数,对x求导得

将x看成常数,对y求导得

将(1,0)代入,就得

解法2 设f(x,y)=2x2+3xy-6y2,则

所以
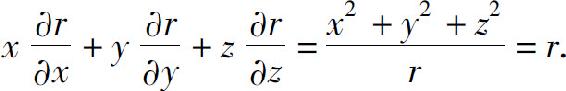
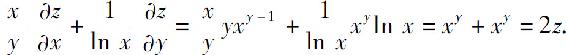
例2 设z=xy(x>0,x≠1,y∈R),求证:
证 因为

所以
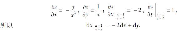
例3 设
解 把y看成常数,得
对于二元函数z=f(x,y),如果有f(x,y)=f(y,x)成立,则称函数关于自变量x,y是对称的.如果z=f(x,y)关于自变量x,y是对称的,只要在求得的偏导数
中把x与y互换就能得到
.例如,例3中的函数关于自变量x,y是对称的,故有

这种关于自变量的对称性的概念和结果可推广到二元以上的多元函数的情况.
例4 设
求证:
证 把y和z看成常数,得

由于函数关于自变量是对称的,故

所以

二元函数z=f(x,y)在点(x0,y0)处的偏导数有下述几何意义:
二元函数z=f(x,y)的图形是空间内的一张曲面,设M0(x0,y0,z0)是曲面上的一点,其中z0=f(x0,y0).过M0作平面y=y0,截此曲面得一曲线,此曲线在平面y=y0上的方程为z=f(x,y0),则偏导数fx(x0,y0),即导数
就是这曲线在点M0的切线M0Tx对x轴的斜率.同理,偏导数fy(x0,y0)的几何意义是曲面z=f(x,y)被平面x=x0所截得的曲线在点M0处的切线M0Ty对y轴的斜率,如图6.12所示.
图6.12
如果一元函数f(x)在点x0处可导,则f(x)在点x0处一定连续.但是,如果二元函数z=f(x,y)在点(x0,y0)处的两个偏导数都存在,只能说明函数在点(x0,y0)处沿着平行于坐标轴的方向是连续的,并不能保证函数在点(x0,y0)处连续.
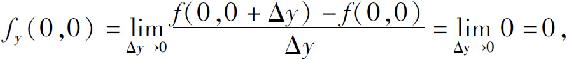
例如,函数

在点(0,0)对x的偏导数

在点(0,0)对y的偏导数

但由6.2例1知此函数在点(0,0)不连续.
6.3.2 高阶偏导数
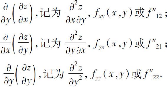
二元函数z=f(x,y)的两个偏导函数fx(x,y),fy(x,y)仍是x,y的二元函数,因此可以继续讨论它们对x和y的偏导数.我们把fx(x,y)和fy(x,y)的偏导数称为f(x,y)的二阶偏导数.
函数f(x,y)对x的二阶偏导数定义为
记为
.
类似可定义其他三个二阶偏导数:
其中fxy(x,y),fyx(x,y)称为f(x,y)的二阶混合偏导数.
类似地,可定义三阶、四阶、…、n阶偏导数.我们把二阶及二阶以上偏导数统称为高阶偏导数.
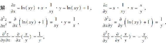
例5 求函数z=x ln(xy)的二阶偏导数.
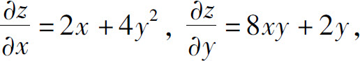
例6 求函数z=x4+2xy2+y3的二阶偏导数.
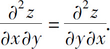
在上面的两个例子中,都有

也就是说,混合偏导数与求导的先后次序无关.一般地,有如下定理:
定理1 如果函数z=f(x,y)的两个二阶混合偏导数
与
在区域D内连续,则在D内这两个混合偏导数必相等.
6.3.3 全微分
一元函数y=f(x)如果可微,则函数增量Δy可用自变量增量Δx的线性函数来近似.在实际问题中,有时需要研究二元函数中两个变量都取得增量时因变量所获得的增量,即全增量Δz=f(x+Δx,y+Δy)-f(x,y).与一元函数一样,我们希望用自变量的增量Δx和Δy的线性函数来近似它.
定义2 设函数z=f(x,y)在点(x,y)的某个邻域内有定义,给x一个增量Δx和y一个增量Δy,使得(x+Δx,y+Δy)也在该邻域内,如果函数在点(x,y)相应的增量
可表示为
其中A,B为与Δx,Δy无关的常数,
则称函数z=f(x,y)在点(x,y)处可微,而AΔx+BΔy称为函数z=f(x,y)在点(x,y)处的全微分,记为dz,即

如果函数在区域D内每一点处都可微,则称函数为D内的可微函数.
由上述定义可知,若函数f(x,y)在点(x,y)处可微,则函数f(x,y)在点(x,y)处连续.
因为若函数f(x,y)在点(x,y)处可微,则由式(2)
从而
所以f(x,y)在点(x,y)处连续.
下面讨论函数z=f(x,y)可微分的条件.
定理2(可微的必要条件) 如果函数z=f(x,y)在点(x,y)处可微,则函数在点(x,y)处的两个偏导数fx(x,y),fy(x,y)存在,并且
证 因为函数z=f(x,y)在点(x,y)处可微,所以式(2)成立.令Δy=0,这时ρ=|Δx|,所以式(2)变为
f(x+Δx,y)-f(x,y)=AΔx+o(|Δx|).
上式两边同除以Δx,再令Δx→0,得

因而偏导数fx(x,y)存在且等于A.
同理可证fy(x,y)=B.所以式(3)成立.证毕.
我们知道,一元函数在一点可微与可导是等价的.但对于二元函数,两个偏导数都存在时,虽然可形式地写出fx(x,y)Δx+fy(x,y)Δy,但它不一定是函数的全微分.
例如,函数

在点(0,0)处有fx(0,0)=0及fy(0,0)=0,但函数在点(0,0)处不连续,因而是不可微的.
由以上讨论可知,偏导数存在是可微的必要条件而不是充分条件.但当两个偏导数存在且连续时,函数就是可微的.
定理3(可微的充分条件) 如果函数z=f(x,y)的两个偏导数在点(x,y)处连续,则函数在点(x,y)处可微.
类似于一元函数的情形,通常将Δx,Δy分别记为dx,dy,并分别称为自变量x,y的微分.这样函数z=f(x,y)的全微分可写成
以上关于二元函数全微分的定义和结论可以推广到三元及三元以上的多元函数.例如,如果三元函数u=f(x,y,z)可微,则

例7 求函数z=x2+4xy2+y2的全微分.
解 因为

所以

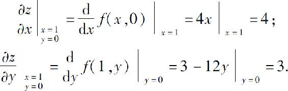
例8 求函数
在点(1,2)处的全微分.
解 因为
6.3.4 偏导数在经济分析中的应用——交叉弹性
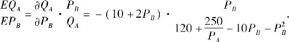
在一元函数微分学中,我们引入边际和弹性的概念来分别表示经济函数在一点的变化率与相对变化率.这些概念也可以推广到多元函数微分学中去,并被赋予更丰富的经济含义.例如,某种品牌的电视机营销人员在开拓市场时,除了关心本品牌电视机的价格取向外,更关心其他品牌同类电视机的价格情况,以决定自己的营销策略.即该品牌电视机的销售量QA是它的价格PA及其他品牌电视机价格PB的函数QA=f(PA,PB).
通过分析其边际
可知道,QA随着PA及PB的变化而变化的规律.进一步分析其弹性
可知这种变化的灵敏度.
前者称为QA对PA的弹性;后者称为QA对PB的弹性,亦称为QA对PB的交叉弹性.这里主要研究交叉弹性
及其经济意义.先看以下两个例子:
例9 随着养鸡工业化程度的提高,鸡肉价格(用PB表示)会不断下降.现估计明年鸡肉价格将下降5%,且猪肉需求量(用QA表示)对鸡肉价格的交叉弹性为0.85,问明年猪肉的需求量将如何变化?
解 由于鸡肉与猪肉互为替代品,故鸡肉价格的下降将导致猪肉需求量的下降.
依题意,猪肉需求量对鸡肉价格的交叉弹性为
,而鸡肉价格将下降
于是猪肉的需求量将下降

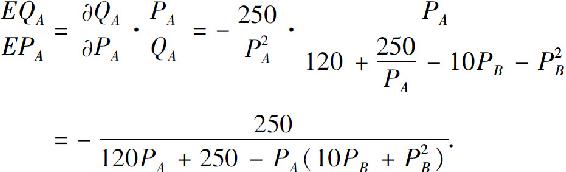
例10 某种数码相机的销售量QA,除与它自身的价格PA有关外,还与彩色喷墨打印机的价格PB有关,具体为
求PA=50,PB=5时,(1)QA对PA的弹性;(2)QA对PA的交叉弹性.
解 (1)QA对PA的弹性为
当PA=50,PB=5时,
(2)QA对PA的交叉弹性为
当PA=50,PB=5时,

由以上两例可知,不同交叉弹性的值能反映两种商品间的相关性,具体就是:当交叉弹性大于零时,两商品互为替代品;当交叉弹性小于零时,两商品为互补品;当交叉弹性等于零时,两商品为相互独立的商品.
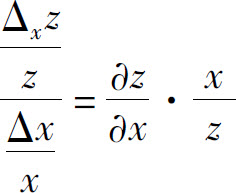
一般地,对函数z=f(x,y)给出如下定义:
定义3 设函数z=f(x,y)在(x,y)处偏导数存在,函数对x的相对改变量

与自变量x的相对改变量
之比

称为函数z=f(x,y)对x从x到x+Δx两点间的弹性.当Δx→0时,
的极限称为函数z=f(x,y)在(x,y)处对x的弹性,记作
即

类似可定义函数z=f(x,y)在(x,y)处对y的弹性,记作ηy或
即

特别地,如果z=f(x,y)中z表示需求量,x表示价格,y表示消费者收入,则ηx表示需求对价格的弹性,ηy表示需求对收入的弹性.
习题6.3
1.求下列函数的偏导数:
(1)z=x2-3xy-4y2-x+2y+1;
(2)
(3)
(4)
(5)u=ln(1+x+y2+z2);
(6)
2.设f(x,y)=x2y2-2y,求fx(2,3),fy(0,1).
3.求下列函数的二阶偏导数:
(1)z=x3y2-3xy3-xy;
(2)z=xexsin y.
4.设f(x,y,z)=xy2+yz2+zx2,求fxx(0,0,1),fxz(1,0,2),fyz(0,-1,0).
5.设z=y ln(xy),求
.
6.求下列函数的全微分:
(1)z=x2y+y2;
(2)z=exy;
(3)
;
(4)
(5)z=x2y3,x=2,y=-1,Δx=0.02,Δy=0.01;
(6)z=ln(1+x2+y2),x=1,y=2;
(7)u=xyz.
7.X公司和Y公司是机床行业的两个竞争对手.这两家公司的主要产品的供给函数分别为PX=1000-5QX;PY=1600-4QY.X公司和Y公司现在的销售量分别是100个单位和250个单位.
(1)X公司和Y公司当前的价格弹性是多少?
(2)假定Y降价后,使QY增加到300个单位,同时导致X的销售量QX下降到75个单位,试问X公司产品的交叉价格弹性是多少?