6.1 空间直角坐标系及多元函数的概念
6.1.1 空间直角坐标系
1)空间直角坐标系
在空间任意取一定点O,过点O作三条两两互相垂直的数轴,它们都以O为原点,且具有相同的长度单位.这三条数轴分别称为x轴、y轴和z轴,统称为坐标轴.这样的三条坐标轴就构成一个空间直角坐标系,点O称为坐标原点.
习惯上常把x轴和y轴置于水平面上,z轴置于铅垂线上,并按右手法则规定三条坐标轴的正方向:用右手握住z轴,大拇指指向z轴的正向,其余四指从x轴正向以
的角度转向y轴正向,如图6.1所示.
图6.1
对于空间中的任意一点M,过点M分别作与x轴、y轴和z轴垂直的平面,且与这些轴的交点依次为P,Q,R,如图6.2所示.设这三点在对应轴上的坐标依次为x,y,z,则点M唯一地确定了一个三元有序数组(x,y,z).反之,设(x,y,z)为一已知的三元有序数组,把这些数依次作为x轴、y轴和z轴上点的坐标,则确定三点P,Q,R,过这三点作其所在轴的垂直平面,得唯一交点M,故有序数组(x,y,z)唯一地确定了空间一点M.这样,空间任意一点M就和一个三元有序数组(x,y,z)建立了一一对应关系.三元有序数组(x,y,z)称为点M的坐标,记为M(x,y,z).
图6.2
例如,坐标原点O的坐标为(0,0,0),点P的坐标为(x,0,0),点Q的坐标为(0,y,0),点R的坐标为(0,0,z).
三条坐标轴中任意两条都能确定一个平面,这些平面统称为坐标平面,分别称为xOy平面、yOz平面和zOx平面.三个坐标平面将空间分成八个部分,每个部分称为一个卦限.在xOy平面上方有四个卦限,含有x轴、y轴和z轴正半轴的那个卦限称为第一卦限,其他依次称第二、第三、第四卦限,按逆时针方向确定;在xOy平面下方有四个卦限,第一卦限下方的为第五卦限,其他依次为第六、第七、第八卦限,按逆时针方向确定,如图6.3所示.
图6.3
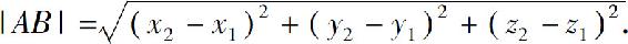
设A(x1,y1,z1),B(x2,y2,z2)为空间中任意两点,过A,B两点各作三个平面分别垂直于三个坐标轴,得一以线段AB为对角线的长方体,如图6.4所示.长方体各棱与坐标轴平行,其长度分别为|x2-x1|,|y2-y1|,|z2-z1|.因此,由勾股定理知点A与点B之间的距离
图6.4

特别地,点M(x,y,z)与原点O的距离

2)空间曲面与方程
与平面解析几何中建立曲线与方程的对应关系一样,可以建立空间曲面与三元方程F(x,y,z)=0的对应关系.
定义1 如果方程F(x,y,z)=0与曲面S存在关系:曲面S上的点的坐标(x,y,z)都满足方程F(x,y,z)=0,且不在曲面S上的点的坐标(x,y,z)都不满足方程F(x,y,z)=0,则方程F(x,y,z)=0称为曲面S的方程,而曲面S称为方程F(x,y,z)=0的图形.
例1 求球心为点M0(x0,y0,z0)、半径为R的球面的方程.
解 所求曲面是到定点M0(x0,y0,z0)的距离等于R的动点M(x,y,z)的集合,故|MM0|=R.由距离公式有

两边平方得所求方程

当M0与坐标原点O重合时,球面(图6.5)方程为

图6.5
例2 一平面平分并垂直于点M1(1,-1,2)和M2(0,-2,-1)间的线段,求平面方程.
解 所求平面就是与点M1和M2等距离点的集合.设M(x,y,z)为所求平面上的任意一点,则有|MM1|=|MM2|,由距离公式
两边平方,然后化简得所求平面方程

可以证明,空间中任意一平面的方程为三元一次方程
Ax+By+Cz+D=0.
其中A,B,C,D均为常数,且A,B,C不全为0.
例3 研究曲面x2+y2=R2的形状.
解 方程x2+y2=R2在xOy平面上表示以原点为圆心,以R为半径的圆.方程不含z,意味着z可取任意值,只要x与y满足x2+y2=R2即可.所以,这个方程表示的曲面是由平行于z轴的直线沿xOy平面上的圆x2+y2=R2移动而形成的圆柱面,如图6.6所示.xOy平面上圆x2+y2=R2称为它的准线,平行于z轴的直线称为它的母线.
图6.6
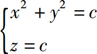
例4 研究曲面x2+y2=z的形状.
解 用平面z=c去截曲面x2+y2=z,得空间曲线

当c>0时,表示平面z=c上以点(0,0,c)为圆心,以
为半径的圆;
当c=0时,得交点(0,0,0),表示平面z=0与曲面只交于一点;
当c<0时,平面与曲面无交点.
用平面x=a和y=b去截曲面,分别得到

均为抛物线.
称曲面x2+y2=z为旋转抛物面,如图6.7所示.
图6.7
6.1.2 平面点集
为了介绍二元函数的概念,有必要介绍有关平面点集的一些知识.所谓平面点集,就是平面上具有某种性质P的点的集合.
1)邻域
设P0(x0,y0)为xOy平面上一点,δ是某一正数,平面上与点P0的距离小于δ的点P(x,y)的全体

称为点P0的δ邻域,记为U(P0,δ).而

称为点P0的去心δ邻域,记为
几何上,U(P0,δ)就是平面上以点P0为圆心、δ为半径的圆内部.
如果不需要强调邻域的半径δ,则用U(P0)表示P0的某个邻域,用
表示P0的某个去心邻域.
2)区域
下面在邻域的基础上介绍有关平面点集的一些基本概念.
设E是一平面点集,P0是平面上的一点.
图6.8
如果存在P0的某个邻域U(P0),使得
,则称P0是E的内点,如图6.8中的P1;如果E的每个点都为它的内点,则称E为开集.
如果P0的任意一个领域U(P0)内既含有属于E的点,又含有不属于E的点,则称P0是E的边界点,如图6.8中的P2;E的边界点的全体称为E的边界.
显然,E的边界点可以属于E,也可以不属于E.
开集连同它的边界一起构成的点集称为闭集.
如果点集E内的任意两点可以由折线连接起来,且该折线上的点都属于E,则称E为连通集.
连通的开集称为开区域(简称区域);开区域连同它的边界一起构成的点集称为闭区域.
如果点集E能被包含在一个以原点为圆心、半径充分大的圆内,则称E为有界集,否则称为无界集.
例如,点集{(x,y)|x2+y2<2}是有界区域,而点集{(x,y)|x+y≥0}是无界闭区域.
最后简要介绍n维空间的概念.
n维空间是指n元有序实数组(x1,x2,…,xn)的全体构成的集合,记为Rn.其中每一个n元有序实数组(x1,x2,…,xn)称为空间的点,数x1,x2,…,xn称为这个点的坐标.
n维空间的点M1(x1,x2,…,xn)与M2(y1,y2,…,yn)的距离定义为
在n维空间Rn中引入两点距离的定义后,前面讨论过的有关平面点集的一系列概念可以推广到n维空间中.
6.1.3 多元函数的概念
类似于一元函数的定义,我们有如下定义:
定义2 设D是一个非空的平面点集,如果按照某一确定的对应法则f,D中每一点(x,y)都有唯一的一个实数z与之对应,则称f是定义在D上的二元函数,记为

其中D称为函数的定义域,x,y称为自变量,z称为因变量.
D中任一点(x,y)按对应法则f所对应的实数z称为函数f在点(x,y)的函数值,记为z=f(x,y).所有函数值的集合

称为函数的值域.
类似可定义三元函数u=f(x,y,z),(x,y,z)∈D以及三元以上的函数.一般地,把定义中的平面点集D换成n维空间Rn中的点集D,对应法则f就称为定义在D上的n元函数,记为

当n=2或n=3时,习惯上将点(x1,x2)与点(x1,x2,x3)分别写成(x,y)与(x,y,z).
当n=1时,n元函数就是一元函数.当n≥2时,n元函数统称为多元函数.
与一元函数类似,我们通常所说的多元函数定义域是指它的自然定义域,即是使表达式u=f(x1,x2,…,xn)有意义的所有点(x1,x2,…,xn)构成的集合.
例5 求下列函数的定义域:
(1)z=ln(x+y);
(2)
解 (1)要使表达式ln(x+y)有意义,必须有
x+y>0,
所以函数的定义域为

是一个无界开区域,如图6.9所示.
图6.9
(2)要使表达式ln(4-x2-y2)有意义,必须有

要使表达式
有意义,必须有

从而定义域为

在xOy平面上表示以原点为圆心,半径分别为1和2的两同心圆所围成(包含内圆x2+y2=1,不包含外圆x2+y2=4)的圆环,如图6.10所示.
图6.10
类似一元函数,称空间点集

为二元函数z=f(x,y),(x,y)∈D的图形.通常,二元函数的图形是空间中的一张曲面.
例如,二元函数
的图形就是个球心在坐标原点、半径为1的上半球面,如图6.11所示.
图6.11
习题6.1
1.求点M(4,-3,5)到坐标原点、各坐标轴的距离.
2.求x轴上一点M,使它到点P(1,3,-4)的距离为5.
3.设点A(2,-1,1),B(3,0,-2),求线段AB的垂直平分面方程.
4.证明以点A(1,-1,3),B(2,1,-7)和C(4,2,6)为顶点的三角形是直角三角形.
5.求下列函数的定义域,并画出定义域的图形:
(1)
(2)
(3)
(4)
(5)
(6)
(7)
(8)
6.设函数f(x,y)=x3-2xy+3y2,求:
(1)f(-2,3);
(2)f(x+y,x-y).