5.1 定积分的概念与性质
5.1.1 引例
例1 曲边梯形的面积.
由直线x=a,x=b,y=0及连续曲线y=f(x)(f(x)≥0)所围成的图形称为曲边梯形.由于曲边梯形的面积不能用初等数学的方法计算,为了求得它的值,可以考虑下面的方法.
图5.1
把区间[a,b]划分为若干个小区间,在每一个小区间上的曲边梯形近似地看成矩形,矩形的高取为小区间上某点的函数值,于是每个小曲边梯形的面积近似地等于该区间上的小矩形的面积,所有这些小矩形面积之和就是曲边梯形面积的近似值.直观上,把[a,b]划分得越细,近似程度越好.若把[a,b]无限细分,并使每个小区间的长度趋于零,这时所有小矩形面积之和的极限就可定义为该曲边梯形的面积,如图5.1所示.现将这一过程详述如下:
(1)分割.把区间[a,b]分成n个小区间
其中x0=a,xn=b,小区间[xi-1,xi]的长度记为Δxi=xi-xi-1(i=1,2,…,n-1).过各分点作x轴的垂线,则整个曲边梯形分成n个小曲边梯形.
(2)近似.在小区间[xi-1,xi]上任意取一点ξi,作以[xi-1,xi]为底边、高为f(ξi)的小矩形,其面积f(ξi)Δxi可作为第i个小曲边梯形面积ΔAi的近似值,即
(3)求和.把n个小矩形面积的和作为曲边梯形面积A的近似值,即
(4)取极限.当[a,b]分割得越来越细,且
时,上述和式的极限就是曲边梯形的面积A,即
例2 变速直线运动的路程.
设物体作变速直线运动,速度v是时间t的函数v(t),求该物体从时刻t=a到时刻t=b这段时间内所经过的路程S.
由于是变速运动,物体运动的路程不能像匀速运动那样用公式S=vt直接得到.我们采用求曲边梯形面积的方法,求物体在时间间隔[a,b]内所经过的路程.
(1)分割.把时间区间[a,b]分成n个小时段
其中t0=a,tn=b,小区间[ti-1,ti]的长度记为Δti=ti-ti-1(i=1,2,…,n-1).
(2)近似.在小时间段[ti-1,ti]上任取一时刻ξi,则从ti-1到ti这一小时段内物体经过的路程ΔSi近似地等于v(ξi)Δti,即
(3)求和.这n段部分路程的近似值之和就是物体在时间间隔[a,b]内所经过的路程的近似值,即
(4)取极限.记
则当λ→0时,上述和式的极限就是物体在时间间隔[a,b]内所经过的路程,即
上面两个问题的实际背景虽然不同,但从数学的角度来看,其解决问题的思想与方法完全一样,都归结为求一种特殊和式的极限.这种和式的极限可以抽象为一般的数学概念——定积分.
5.1.2 定积分的概念
定义1 设函数f(x)在区间[a,b]上有界.用点
把区间[a,b]任意分成n个小区间[xi-1,xi](i=1,2,…,n),记Δxi=xi-xi-1为小区间[xi-1,xi]的长度,在每个小区间[xi-1,xi]上任取一点ξi,作和式

记
如果极限
总存在,则称此极限值为函数f(x)在区间[a,b]上的定积分,记为
即
其中f(x)称为被积函数,x称为积分变量,a与b分别称为积分下限与积分上限,[a,b]称为积分区间.
当定积分存在时,也称函数f(x)在区间[a,b]上可积.
有了定积分的定义后,前面讨论的两个问题可分别叙述为:
由直线x=a,x=b,y=0及连续曲线y=f(x)(f(x)≥0)所围的曲边梯形的面积A等于函数f(x)在区间[a,b]上的定积分,即

物体以变速v=v(t)作直线运动,从时刻t=a到时刻t=b这段时间内所经过的路程S等于函数v(t)在区间[a,b]上的定积分,即

对于定积分的概念,作以下几点说明:
(1)函数f(x)在区间[a,b]上的定积分是一个极限值,因此它是一个定数.它只与被积函数f(x)和积分区间[a,b]有关,而与积分变量的字母选取无关.即
(2)在定积分定义中,总假设a<b,如果a>b,我们规定
如果a=b,规定
(3)可以证明,如果f(x)在[a,b]上连续或只有有限个第一类间断点,则f(x)在[a,b]上可积.
下面讨论定积分的几何意义.
图5.2
前面已经指出,在[a,b]上f(x)≥0时,定积分
在几何上表示由曲线y=f(x),两条直线 x=a,x=b与x轴所围成的曲边梯形的面积;在[a,b]上f(x)≤0时,由曲线y=f(x),两条直线x=a,x=b与x轴所围成的曲边梯形位于x轴的下方,定积分
在几何上表示上述曲边梯形面积的负值;当f(x)在[a,b]上有正有负时,函数f(x)的图形某些部分在x轴上方,而其他部分在x轴下方,此时,定积分
表示这些面积的代数和,如图5.2所示.
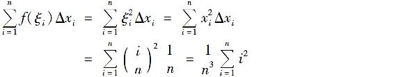
例3 利用定义计算定积分
解 被积函数f(x)=x2在积分区间[0,1]上连续,所以可积.因为积分与区间[0,1]的分割方法及点ξi的取法无关,为便于计算,我们把区间[0,1]分成n等份,分点取为
这样,每个小区间[xi-1,xi]的长度
(i=1,2,…,n),取ξi=xi(i=1,2,…,n).故得和式
令λ→0即n→∞,取极限得所要计算的积分
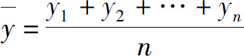
5.1.3 函数的平均值
设有n个数值y1,y2,…,yn,则
为这n个数值的算术平均值.在实际问题中,经常需要考虑一个连续函数f(x)在区间[a,b]上的平均值.例如,求平均速度、平均功率、在一昼夜间的平均温度等.下面就来讨论如何计算连续函数f(x)在区间[a,b]上的平均值.
把区间[a,b]分成n等份,设分点为
a=x0<x1<x2<…<xn=b,
每个小区间的长度为
设在这些分点处f(x)的函数值依次为y0,y1,y2,…,yn.可以用y0,y1,y2,…,yn-1的平均值
来近似表达函数f(x)在区间[a,b]上的平均值.显然,n越大近似程度越好,因此称极限
为函数f(x)在区间[a,b]上的平均值.而
所以,函数f(x)在区间[a,b]上的平均值
5.1.4 定积分的性质
设下面性质中各函数在所讨论的区间上均可积.
性质1 被积函数的常数因子可以提到积分号前面,即
性质2 两个函数的代数和的定积分等于这两个函数的定积分的代数和,即
这一结论可以推广到任意有限多个函数代数和的情况.
下面仅对性质2给予证明,性质1证法类似.
证 根据定积分的定义及极限的基本性质,有
性质3 设a<c<b,则
由定积分的几何意义容易看出这个结论.这个性质表明定积分对积分区间具有可加性.进一步,不论a,b,c相对位置如何,总有等式
性质4 如果在区间[a,b]上f(x)=1,则
性质5 如果在区间[a,b]上f(x)≥0,则

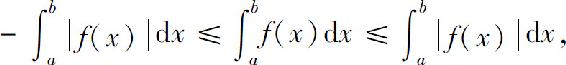
推论1 如果在区间[a,b]上f(x)≤g(x),则
证 因为g(x)-f(x)≥0,由性质5得
再利用性质2,便得要证的不等式.
推论2 
证 因为
所以由推论1可得
即
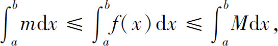
性质6 设M及m分别是函数f(x)在区间[a,b]上的最大值及最小值,则
证 因为m≤f(x)≤M,所以由性质5可得
再由性质1及性质4,即得所要证的不等式.
性质7(积分中值定理) 如果函数f(x)在区间[a,b]上连续,则在[a,b]上至少有一点ξ,使得
这一性质的几何意义是:在区间[a,b]上至少存在一点ξ,使得以区间[a,b]为底边,以曲线y=f(x)为曲边的曲边梯形的面积等于某个以区间[a,b]为底边而高为f(ξ)的矩形的面积,如图5.3所示.
图5.3
证 由于函数f(x)在区间[a,b]上连续,所以由最值定理,f(x)在区间[a,b]上可取得最大值M及最小值m.由性质6有
两边同除以b-a,得
这表明,数
介于函数f(x)的最小值m及最大值M之间.根据介值定理,在[a,b]内至少存在一点ξ,使得函数f(x)在点ξ的值与这个确定的数值相等,即有
两端各乘以b-a,即得所要证的等式.
例4 试估计定积分
值的范围.
解 易验证f(x)=x arctan x在
上单调增加,故其最小值为
其最大值为
于是由
得
即
习题5.1
1.试用定积分表示由曲线y=ln x,直线x=1,x=2及x轴所围成的图形面积A.
2.利用定积分的几何意义求定积分:
(1)
(2)
3.利用定积分的性质,比较下列各题中两个积分值的大小:
(1)
(2)
(3)
(4)
4.估计下列各积分值的范围:
(1)
(2)
(3)
(4)