4.1 不定积分的概念和性质
4.1.1 不定积分的概念
1)原函数
定义1 设函数f(x)在区间I上有定义,如果存在函数F(x),使对于任意的x∈I,都有
F′(x)=f(x),
则称F(x)为f(x)在I上的一个原函数.
例如,因为(sin x)′=cos x,所以sin x就是cos x一个原函数.又由于(sin x+1)′=(sin x+2)′=cos x也成立,因此sin x+1与sin x+2也是cos x的原函数.一般地,sin x+C(C为任意常数)都是cos x的原函数.
由此可见,若一个函数存在原函数,则它必有无穷多个原函数.进一步有如下定理:
定理1 如果F(x)是f(x)在区间I上的一个原函数,则F(x)+C(C为任意常数)就表示函数f(x)在区间I上的所有原函数.
事实上,如果F(x)是f(x)的一个原函数,则[F(x)+C]′=f(x)(C为任意常数),所以F(x)+C也是f(x)的原函数.
另一方面,如果F(x)和G(x)都是f(x)的原函数,即F′(x)=G′(x)=f(x),则由拉格朗日中值定理的推论可知,F(x)与G(x)仅差一个常数,即存在常数C使得G(x)=F(x)+C.
2)不定积分
定义2 称函数f(x)的带有任意常数的原函数为f(x)的不定积分,记为

其中,符号∫称为积分号,x称为积分变量,f(x)称为被积函数,f(x)dx称为被积表达式.
由以上定义及前面的讨论可知,如果F(x)是f(x)的一个原函数,则F(x)+C就是f(x)的不定积分,即

这里C称为积分常数.
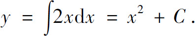
例1 求不定积分
解 因为
所以有

例2 设曲线通过点(1,3),且其上任一点处的切线斜率等于这点横坐标的两倍,求曲线方程.
解 设所求曲线方程为y=f(x),由题设

所以有

因曲线通过点(1,3),故3=12+C,得C=2,从而所求的曲线方程为
y=x2+2.
函数f(x)的原函数的图形称为f(x)的积分曲线.例如,上例所求曲线即是函数2x通过点(1,3)的积分曲线.
例3 设某产品的边际成本为2x+3,固定成本为2,求总成本函数C(x).
解 因为(x2+3x)′=2x+3,所以x2+3x是2x+3的一个原函数,从而

由C(0)=2,可得C=2,因此所求的总成本函数为
C(x)=x2+3x+2.
在上面的例子中,所遇到的被积函数的原函数都存在.那么,一个函数具备什么条件,能保证它的原函数一定存在?我们不加证明地介绍如下结论:
定理2 如果f(x)在区间I上连续,则存在函数F(x),使对于任意的x∈I,都有
F′(x)=f(x).
简言之,连续函数一定有原函数.
4.1.2 不定积分性质
根据不定积分的定义和求导法则,可得到下列性质:
性质1 微分运算与积分运算的关系:
(1)
(2)
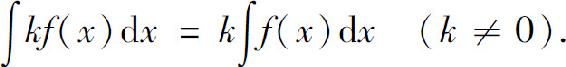
性质2 被积函数中不为零的常数因子可以移到积分号外,即

性质3 两个函数和的积分等于函数积分的和,即

这一性质可以推广到有限多个函数的和的情形,即
4.1.3 基本积分公式
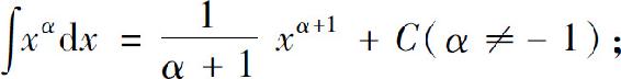
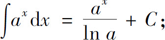
由积分运算与微分运算的关系,根据基本导数公式可得如下的基本积分公式:
(1)
(k为常数);
(2)
(3)
(4)
(5)
(6)
(7)
(8)
(9)
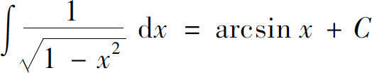
(10)
(11)
(12)
(13)
以上积分公式可通过对等式右端的函数求导进行验证.利用不定积分的性质以及上面的积分公式,可以计算一些函数的不定积分.
例4 求
解 
例5 求
解 
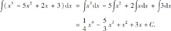
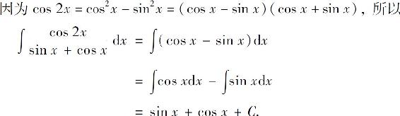
例6 求
解
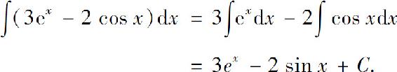
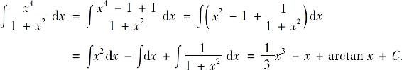
例7 求
解
例8 求
解 
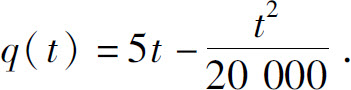
例9 某种产品的产量q与生产时间t的关系为q=q(t),则q关于t的导数q′(t)称为此种产品产量的变化率.若已知
试求此产品的产量与时间的关系.
解 因为
所以
因为当生产时间为零时,产品产量也为零,所以q(0)=C=0.因此产量与生产时间的关系为

习题4.1
1.设已知函数F(x)是函数f(x)的一个原函数,试求函数2xf(x2)的一个原函数.
2.一曲线过点(e,2),且这曲线上任意一点的切线的斜率等于该点横坐标的倒数,求该曲线的方程.
3.求下列不定积分:
(1)
(2)
(3)
(4)
(5)
(6)
(7)
(8)
(9)
(10)
(11)
(12)
(13)
(14)
(15)
(16)
(17)
(18)
(19)
(20)
(21)