3.6 导数在经济学中的应用
在经济活动中,经常需要考虑一项指标的变化给其他指标带来的影响,如产量的变化对成本、收益、利润的影响,价格的变化对需求量、销售量的影响等.
3.6.1 边际分析
在经济分析中,通常用“平均”和“边际”两个概念描述函数y关于自变量x的变化情况.“平均”概念就是函数y=f(x)在以x0和x0+Δx为端点的区间上的平均变化率,即
“边际”概念就是x的某个值的“边缘上”函数y的变化率,即函数y的瞬时变化率
,也就是函数y=f(x)在点x0处的导数.
一般地,设函数y=f(x)可导,则导数f′(x)叫边际函数.成本函数C=C(Q)的导数C′(Q)叫做边际成本,收入函数R=R(Q)的导数R′(Q)叫做边际收益,利润函数L=L(Q)的导数L′(Q)叫做边际利润.
例1 某产品生产x个单位的总成本C为x的函数
C=C(x)=2000+0.026x2(元).
求:(1)生产1000件产品时的总成本和平均单位成本;
(2)生产1000件产品的边际成本.
解 (1)生产1000件产品时的总成本为
C(1000)=2000+0.026×10002=28.000(元).
平均单位成本为

(2)对总成本函数求导,得
C′(x)=0.052x.
因此,生产1000件产品时的边际成本为
C′(1000)=0.052×1000=52(元/件).
例2 设某商品的需求函数Q=200-10P,Q为需求量,单位为件,P为价格,单位为元/件.求这种商品的边际收益函数及销售量Q=150的边际收益.
解 将需求函数化为
例3 某企业每月生产的总成本C(千元)是产量x(t)的函数
C(x)=x2-10x+20.
如果每吨产品销售价格2万元,求每月生产8t、10t、20t时的边际利润.
解 因为利润函数为
L(x)=R(x)-C(x)=20x-(x2-10x+20)=-x2+30x-20,
所以边际利润为
L′(x)=-2x+30,
于是
L′(8)=-2×8+30=14(千元/t);
L′(10)=-2×10+30=10(千元/t);
L′(15)=-2×15+30=0(千元/t);
L′(20)=-2×20+30=-10(千元/t).
3.6.2 弹性分析
在经济学中,函数y=f(x)的增量
Δy=f(x+Δx)-f(x)
称为函数在点x处的绝对改变量,导数

称为函数在x处的绝对变化率.在经济活动分析中,有时要比较两种商品的需求量对价格反应的灵敏度,仅有绝对变化率是不够的.
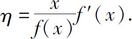
设函数y=f(x)可导,函数f(x)在点x处的增量为Δy=f(x+Δx)-f(x),自变量的增量为Δx,则比值

分别称为在点x处函数y的相对改变量及自变量x的相对改变量.当Δx→0时,两个相对改变量之比的极限
表示在点x处函数y的相对变化率,称为函数y=f(x)在点x处的弹性,记做η,即

函数y=f(x)在x处的弹性η可解释为:当自变量变化1%时,函数变化|η|%.
经济学中,把需求量对价格的相对变化率称为需求的价格弹性.
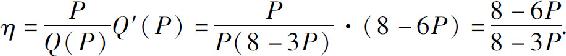
例4 某部门对市场上某中商品的需求量Q与价格P之间的关系进行研究后,建立了下面的函数关系:

试求在
(元)的价格水平下,需求的价格弹性.
解 因为
Q′(P)=(8-3P2)′=8-6P,
所以需求的价格弹性为
于是
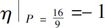
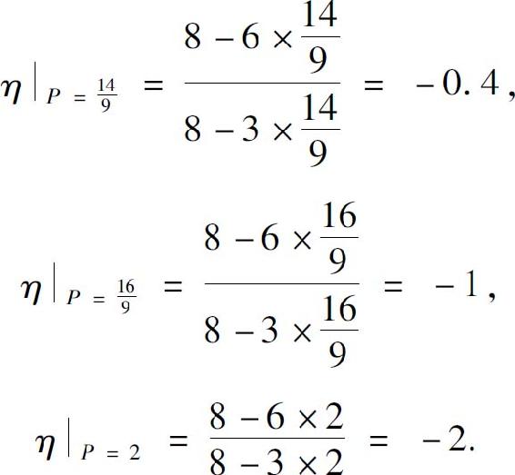
例中,
表明:在
元价格水平下,价格增加1%时,该种商品的需求量将下降0.4%,即需求的相对变化的绝对值小于价格的相对变化.这时称需求是低弹性的.
表明:在
元的价格水平下,价格增加1%时,该种商品的需求量将下降1%,即需求量的相对变化的绝对值等于价格的相对变化.这时称需求是单位弹性的.
表明:在2元的价格水平下,价格增加1%时,该种商品的需求量将下降2%,即需求量的相对变化的绝对值大于价格的相对变化.这时称需求是高弹性的.
习题3.6
1.已知生产某产品x单位的总成本函数为C(x)=100+3x-0.001x2(单位:万元),求生产500单位产品时的边际成本.
2.设某商品的需求函数为
,求该商品在价格P=5时的需求价格弹性.