3.3 函数的单调性与极值
3.3.1 函数的单调性
第1章介绍了函数单调性的概念.本节将以导数为工具研究函数的单调性.
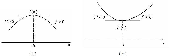
如果函数f(x)在[a,b]上单调增加,那么它的图形是一条沿x轴正向上升的曲线,这时曲线上各点处的切线斜率非负,即f′(x)≥0,如图3.3(a)所示;如果f(x)在[a,b]上单调减少,那么它的图形是一条沿x轴正向下降的曲线,这时曲线上各点处的切线斜率非正,即f′(x)≤0,如图3.3(b)所示.
图3.3
反过来,我们是否可以用导数的符号来判别函数的单调性呢?有如下定理:
定理1 设函数y=f(x)在[a,b]上连续,在(a,b)内可导.
(1)如果在(a,b)内f′(x)>0,那么函数y=f(x)在[a,b]上单调增加;
(2)如果在(a,b)内f′(x)<0,那么函数y=f(x)在[a,b]上单调减少.
证 (1)在[a,b]上任取两点x1,x2(x1<x2),应用拉格朗日中值定理,得
f(x2)-f(x1)=f′(ξ)(x2-x1)(x1<ξ<x2).
因为在(a,b)内f′(x)>0,故有f′(ξ)>0,所以
f(x2)-f(x1)>0,即f(x1)<f(x2),
因而函数y=f(x)在[a,b]上单调增加.
类似可证(2).
如果把定理1中的闭区间换成其他各种区间(包括无穷区间),结论也成立.
例1 讨论函数y=x3-3x的单调性.
解 函数在(-∞,+∞)上连续,且
y′=3x2-3=3(x-1)(x+1).
因为在-∞,-1和(1,+∞)内y′>0,所以函数在(-∞,-1]和[1,+∞)上单调增加;因为在(-1,1)内y′<0,所以函数在[-1,1]上单调减少.
例2 讨论函数
的单调性.
解 函数的定义域为(-∞,+∞).
当x≠0时,

当x=0时,函数不可导.
因为在(-∞,0)内,y′<0,所以函数在(-∞,0]上单调减少;
因为在(0,+∞)内,y′>0,因此函数在[0,+∞)上单调增加,如图3.4所示.
图3.4
根据例1,例2,可以总结出讨论函数单调性的步骤:
(1)确定函数f(x)的定义域;
(2)求函数f(x)的导数,以导数等于零和导数不存在的点作为分点,把函数的定义域分为若干个部分区间;
(3)确定f′(x)在各部分区间内的符号,从而判定函数在该区间上的单调性.
例3 确定函数
的单调区间.
解 该函数的定义域为(-∞,+∞),其导数为

由f′(x)=0,解得x=1;并且当x=0时,f′(x)不存在.这两个点把(-∞,+∞)分成三个部分区间:(-∞,0],[0,1],[1,+∞).
因为在(-∞,0)和(1,+∞)内f′(x)>0,所以f(x)在(-∞,0],[1,+∞)上单调增加;因为(0,1)内f′(x)<0,所以f(x)在[0,1]上单调减少.
例4 讨论函数y=x3的单调性.
解 该函数的定义域为(-∞,+∞),其导数为
y′=3x2.
除了x=0使y′=0外,在其余各点处均有y′>0.因此函数y=x3在区间(-∞,0]及[0,+∞)上都是单调增加的,从而在整个定义域内都是单调增加的,如图3.5所示.
图3.5
一般地,如果f′(x)在某区间内的有限个点处为零,在其余各点处均为正(或负)时,那么f(x)在整个区间上是单调增加(或单调减少)的.
利用函数的单调性可以证明不等式.
例5 证明:当
时,tan x>x.
证 设f(x)=tan x-x,显然f(x)在
上连续;在
内可导,且

所以f(x)在
上单调增加.因此,当
时,f(x)>f(0)=0,即
tan x>x.
3.3.2 函数的极值
设函数f(x)在x0的某个邻域U(x0)内有定义,如果对于去心邻域U0(x0)内的任一点x,有
f(x)<f(x0)(或f(x)>f(x0)),
那么就称f(x0)是函数f(x)的一个极大值(或极小值).
函数的极大值和极小值统称为函数的极值,使函数取得极值的点称为极值点.
函数的极值是一个局部概念.如果f(x0)是函数f(x)的一个极大值,那么就x0的附近的一个局部范围来说,f(x0)是f(x)的一个最大值;而就f(x)的整个定义域来说,f(x0)不一定是最大值.极小值的情况也类似.
在图3.6中,f(x1),f(x3)是函数f(x)的极大值,f(x2),f(x4)是f(x)的极小值,其中极小值f(x4)大于极大值f(x1).
图3.6
从图3.6还可以看到,在函数取得极值处,曲线的切线都是水平的(当切线存在时)或者没有切线(如曲线在x=x4处).
定理2(极值的必要条件) 如果函数f(x)在点x0可导,并且点x0是它的极值点,则f′(x0)=0.
换言之,可导函数的极值点一定是驻点.反过来,函数的驻点不一定是极值点.例如,图3.6所示函数f(x),显然f′(x5)=0,但点x5显然不是它的极值点.此外,函数在不可导点上也可能取得极值.例如图3.6所示的点x4,显然函数在这点不可导,但取得极小值.
从上面的讨论可知,函数f(x)的极值点只可能为驻点与不可导点.那么,如何判断这些点确为函数的极值点?如图3.6所示,函数f(x)在点x1处取得极大值,在点x1左侧函数单调增加,右侧单调减少;函数f(x)在点x2处取得极小值,在点x2左侧函数单调减少,右侧单调增加.由函数单调性与导数符号的关系,可得如下定理.
定理3(极值的第一充分条件) 设函数f(x)在点x0处连续,且在x0的某去心邻域内可导.
(1)如果在该去心邻域内,当x<x0时,f′(x)>0;当x>x0时,f′(x)<0,则f(x)在点x0处取得极大值;
(2)如果在该去心邻域内,当x<x0时,f′(x)<0;当x>x0时,f′(x)>0,则f(x)在点x0处取得极小值;
(3)如果在x0的两侧f′(x)的符号保持不变,则f(x)在x0处不取极值.
例6 求函数f(x)=x3-3x2-9x+5的极值.
解 f(x)在定义域(-∞,+∞)上连续.

令f′(x)=0,求得驻点x1=-1,x2=3.
由于当x<-1时,f′(x)>0;当-1<x<3时,f′(x)<0;当x>3时,f′(x)>0,因此函数f(x)在x=-1处取得极大值f(-1)=10,在x=3处取得极小值f(3)=-22.
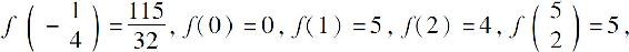
例7 求函数
的极值.
解 f(x)的定义域是(-∞,+∞).
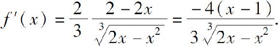
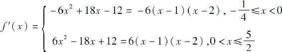
令f′(x)=0,求得驻点x=1.此外,使f′(x)不存在的点为x=0,x=2.
由于当x<0时,f′(x)<0;当0<x<1时,f′(x)>0;当1<x<2时,f′(x)<0;当x>2时,f′(x)>0.因此函数f(x)在x=0处取得极小值f(0)=0,在x=1处取得极大值f(1)=1,在x=2处取得极小值f(2)=0.
当函数f(x)在驻点处的二阶导数存在且不为零时,可以用下述定理来判定f(x)在驻点处取得极大值还是极小值.
定理4(极值的第二充分条件) 设函数f(x)在点x0处具有二阶导数且f′(x0)=0.
(1)如果f″(x0)<0,则函数f(x)在x0处取得极大值;
(2)如果f″(x0)>0,则函数f(x)在x0处取得极小值.
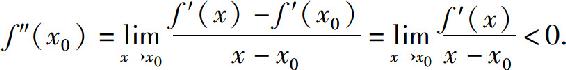
证 (1)由于f″(x0)<0,按二阶导数定义及f′(x0)=0,得
根据函数极限的局部保号性可知,存在x0的某个去心邻域,对该去心邻域内的任意点x,有

于是在该去心邻域内,当x<x0时,f′(x)>0;当x>x0时,f′(x)<0.根据定理2,f(x)在x0处取得极大值.
类似可证(2).
定理3告诉我们,如果函数f(x)在点x0处的二阶导数f″(x0)≠0,那么驻点x0必定是极值点,并且可以由f″(x0)的符号来判定f(x0)是极大值还是极小值.但是要注意,如果f″(x0)=0,则由定理3不能判定函数f(x)在x0处是否有极值,此时,f(x)在x0处可能有极大值,也可能有极小值,也可能没有极值.例如,f1(x)=-x4,f2(x)=x4,f3(x)=x3这三个函数在x=0处就分别属于这三种情况.
例8 求函数f(x)=3x4-8x3+6x2+1的极值.
解 求导:
f′(x)=12x3-24x2+12x=12x(x-1)2;
f″(x)=12(3x-1)(x-1).
令f′(x)=0,求得驻点x1=0,x2=1.
因为f″(0)=12>0,所以f(x)在x=0处取得极小值f(0)=1.
因为f″(1)=0,故无法用定理3进行判定,而要用定理2来判定:
当0<x<1时,f′(x)>0;当x>1时,f′(x)>0,故x=1不是极值点.
3.3.3 函数的最大值和最小值
在实际应用中,常会碰到求最大值和最小值的问题.如用料最省,容量最大,花钱最少,效益最高等.这类问题在数学上往往可以归结为求某一函数的最大值或最小值问题.
首先,我们来讨论函数f(x)在闭区间[a,b]上的最大值和最小值的求法.
设函数f(x)在闭区间[a,b]上连续,则f(x)在[a,b]上必能取到最大值和最小值.如果最大值(或最小值)在(a,b)内的某点x0处取得,那么这个最大值(或最小值)f(x0)必定也是f(x)的一个极大值(或极小值),于是x0必定是f(x)的驻点或不可导点.另外,f(x)的最大值(或最小值)也可能在在闭区间的端点a或b取得.因此,求连续函数f(x)在[a,b]上的最大值和最小值可按下面的步骤进行:
(1)求出函数f(x)在(a,b)内的所有驻点和不可导点;
(2)计算函数f(x)在这些点的值和端点a,b的值;
(3)比较以上各函数值的大小,其中最大者就是函数的最大值,最小者就是函数的最小值.
例9 求函数f(x)=2x3+3x2在[-2,1]上的最大值和最小值.
解 函数f(x)=2x3+3x2在[-2,1]上连续.
f′(x)=6x2+6x=6x(x+1).
令f′(x)=0,求得驻点x1=0,x2=-1.没有不可导点.
因为
f(0)=0,f(-1)=1,f(-2)=-4,f(1)=5,
所以比较可得函数在[-2,1]上的最大值f(1)=5,最小值f(-2)=-4.
例10 求函数f(x)=|2x3-9x2+12x|在
上的最大值和最小值.
解 去绝对值
求导:
所以f(x)的驻点为x1=1,x2=2.由于
故x=0为f(x)的不可导点.因为
所以函数的最小值f(0)=0,最大值
下面讨论几个求最大值、最小值的应用问题.在解决应用问题时,首先要根据问题的具体意义建立一个目标函数,并确定函数的定义域.然后应用上面的方法,求出目标函数在定义域内的最大值或最小值.
例11 铁路线上AB段的距离为100km.工厂C距A处为20km,AC垂直于AB,如图3.7所示.为了运输需要,要在AB线上选定一点D向工厂修筑一条公路.已知铁路每千米货运运费与公路上每千米货运的费用之比为3∶5.为了使货物从供应站B运到工厂C的运费最省,问D点应选在何处?
图3.7
解 设AD=x km,那么
又设铁路上每千米运费为3k,则公路上每千米的费用为5k(k为常数,k>0).设从B点经由D点到C点所需的总运费为y,则

即 
这样问题就转化为:当x在闭区间[0,100]上取何值时,函数y的值最小.
求导:

令y′=0,解得x=±15(-15不合要求,舍去).
由于
,其中以y(15)=380k为最小,因此,当AD=x=15km时,可使总运费最省.
在例6的条件中,加一个要求:D点不能选在铁路两头,即不能选A点,B点.上述问题就转化为求开区间(0,100)内函数y的最小值.虽然结果一样,但不能用上述方法求解,那么应该如何求解?
求函数最大值(或最小值)时经常碰到如下情形:函数f(x)在一个区间可导且只有一个驻点x0,并且这个驻点是f(x)的极值点.这时,函数的图形在该区间内将只有一个“峰”或“谷”.于是当f(x0)是极大值时,f(x0)就是f(x)在该区间上的最大值,如图3.8(a)所示;当f(x0)是极小值时,f(x0)就是f(x)在该区间上的最小值,如图3.8(b)所示.
图3.8
所以刚才提出的问题(求开区间(0,100)内函数y的最小值)就可以解决了.正确解法:
x=15为函数
在开区间(0,100)内的唯一驻点.由于

所以x=15为函数在开区间(0,100)内的唯一极小值点,即为最小值点,最小值y(15)=380k.
例12 已知n个实测数据x1,x2,…,xn,如何选取x,使误差平方和
f(x)=(x-x1)2+(x-x2)2+…+(x-xn)2
为最小?
解 求导:

令f′(x)=0,得唯一驻点
由于
是唯一的极小值点,即为最小值点.所以取
误差平方和最小.
在很多实际问题中,上述求最大值和最小值的方法还可进一步简化.如果根据问题的性质,我们可以断定可导函数f(x)确有最大值(或最小值),而且该最大值(或最小值)一定在定义区间的内部取得.这时,如果函数f(x)在定义区间的内部只有唯一驻点x0,那么可以断定f(x0)必为所求的最大值(或最小值).
例13 将各边长为a的正方形铁皮于各角截去相同的小正方形,然后折起各边,做成体积最大的无盖箱.问所截去的小正方形之边长应该是多少?
解 设小正方形的边长为x,则正方形箱底的边长为a-2x,如图3.9所示,于是无盖箱体积为

求导:

图3.9
令V′=0,得定义域内唯一驻点
根据实际意义,无盖箱的最大体积是客观存在的,且必在区间
内部取得,所以当
时体积最大.即当所截去的小正方形之边长为
时,无盖箱体积最大.
习题3.3
1.讨论函数f(x)=arctan x-x的单调性.
2.证明函数
在不包含x=0的任何区间上都是单调增加的.
3.确定下列函数的单调区间:
(1)y=x+sin x;
(2)y=2x2-lnx;
(3)y=2x3-6x2-18x+7;
(4)
(5)y=x2ex;
(6)
(7)
(8)
4.证明下列不等式:
(1)当x>0时,
(2)当x>0时,
(3)当
时,sin x+tan x>2x;
(4)当x>0时,
5.试证方程sin x=x只有一个实根.
6.求下列函数的极值.
(1)y=x2-2x+5;
(2)y=2x3-3x2;
(3)y=2x3-6x2-18x;
(4)y=x-ln(1+x);
(5)y=x-ln(1+x2);
(6)y=2x2-x4+6;
(7)
(8)y=exsin x;
(9)
(10)y=x2e-x;
(11)
(12)
(13)
(14)
(15)y=2 sin 2x+sin 4x;
(16)y=x+cos x.
7.试问当a为何值时,函数
在
处具有极值?它是极大值还是极小值?并求此极值.
8.求下列函数在所给区间上的最大值、最小值:
(1)y=2x3-3x2-80,-1≤x≤4;
(2)y=x4-8x2,-1≤x≤3;
(3)
(4)
9.下列函数在指定区间上是否存在最大值和最小值?如有,求出它的值,并说明是最大值还是最小值:
(1)
(2)
(3)
10.求点(0,a)到曲线x2=4y的最近距离.
11.一个无盖的圆形大桶,规定体积为V,要使其表面积为最小,问圆柱的底半径及高应是多少?
12.在某化学反应过程中,反应速度v与反应物的浓度x有以下关系:

其中,a是反应开始时物质的浓度,k是反应速度常数.问当x取何值时,反应速度最快?
13.从圆上截下中心角为α的扇形卷成一圆锥形.问当α是何值时,所得圆锥体的体积为最大?
14.货车以x km/h的常速行驶130 km,按交通法规,50≤x≤100.假设汽油的价格是2元/L,而汽车耗油的速率为
司机的工资是14元/h,试问:最经济的车速是多少?这次行车的总费用是多少?