3.2 洛必达法则
在第1章介绍极限时,我们计算过两个无穷小之比以及两个无穷大之比的极限,通常称这两种形式的极限为
型和
型未定式.此类极限可能存在,也可能不存在.在前面,计算这类极限都是具体问题具体分析.本节将根据柯西中值定理来推出求这类极限的简便又重要的一般方法——洛必达法则.
3.2.1
型未定式
下面先讨论x→x0的情形.
定理1 设函数f(x)和g(x)满足
(1)
(2)在点x0的某去心邻域内,f′(x),g′(x)都存在,且g′(x)≠0;
(3)
存在(或为无穷大),
则
存在(或为无穷大),且

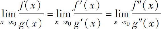
这种在一定条件下通过分子、分母分别求导再求极限来确定未定式的值的方法称为洛必达法则.
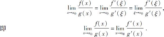
证 因为当x→x0时,
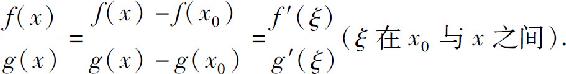
的极限与f(x0)及g(x0)无关,所以可以补充定义f(x0)=g(x0)=0,于是由条件(1)、(2)可知,f(x),g(x)在点x0的某邻域内连续.设x是这邻域内的一点,那么在以x0和x为端点的闭区间上,f(x),g(x)满足柯西中值定理的条件,故有
注意到当x→x0时ξ→x0,所以
并且当上式右端为无穷大时,左端也为无穷大.
定理1的意义是:当满足定理的条件时,函数之比
的极限可以转化为函数导数之比
的极限,从而为求极限化难为易提供了可能.如果
仍是
型未定式,且这时f′(x),g′(x)能满足定理中f(x),g(x)所要满足的条件,那么可以继续使用洛必达法则,即有
依次类推,直到求出所要求的极限为止.
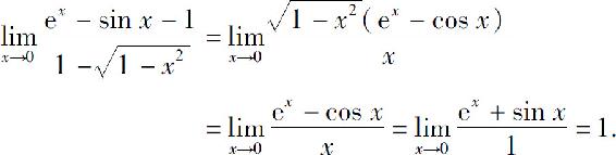
例1 求
解 
例2 求
解 
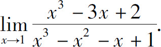
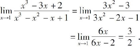
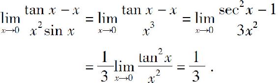
例3 求
解 
注意上式中的
已不是未定式,不能再用洛必达法则,否则要导致错误结果.因此,在反复应用洛必达法则的过程中,要特别注意验证每次所求的极限是否为未定式,如果不是,则不能应用洛必达法则.
例4 求
解 如果直接用洛必达法则,那么分母的导数较为复杂.如果作一个等价无穷小代换,那么运算就简便得多.
从本例可以看到,在应用洛必达法则时应注意与其他求极限的方法结合,以简化运算.
如果把极限过程换成
则只要把定理1的条件作相应的改动,结论仍然成立.当极限过程换为x→-∞,x→+∞或x→∞,只要
是
型的,并且
存在(或为无穷大),则仍然有

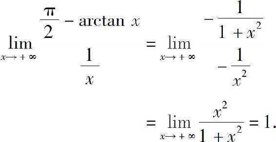
例5 求
解 
3.2.2
型未定式
定理2 设f(x)和g(x)满足
(1)
(2)在点x0的某去心邻域内,f′(x),g′(x)都存在,且g′(x)≠0;
(3)
存在(或为无穷大),
则
存在(或为无穷大),且

同样要说明的是,定理中x→x0可以换成
或x→∞,只要把条件作相应的修改即可.
例6 求
解 
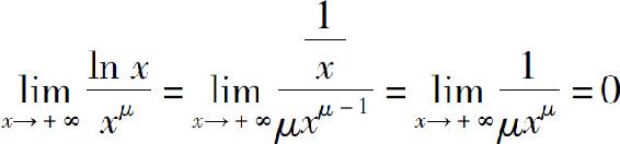
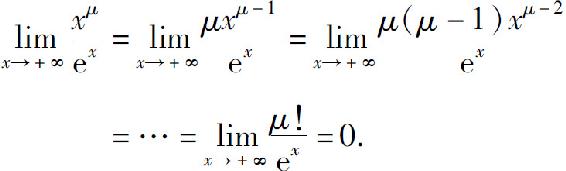
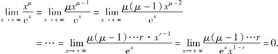
例7 求
解 若μ为正整数,则相继应用洛必达法则μ次,得
若μ不是整数,则μ=[μ]+r,其中[μ]为μ的整数部分,0<r<1.相继应用洛必达法则
次,得
故所求极限为零.
上述两例的结果说明:当x→+∞时,对数函数ln x,幂函数xμ(μ>0),指数函数ex均趋于正无穷,但它们趋于无穷的“快慢”程度却不一样.三者相比,指数函数最快,幂函数次之,对数函数最慢.
3.2.3 其他类型未定式
除了
型和
型这两种未定式外,还有以下五个类型的未定式:

这些类型的未定式都可以化为
型和
型.
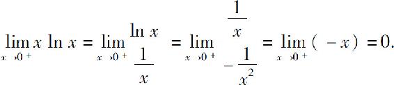
例8 求
解 这是0·∞型未定式.因为
当x→0+时,右端是
型未定式,
应用洛必达法则得到
再看另一种化法:
此极限比原来的更复杂,因而这种化法不能解决问题.可见选择恒等变形的方法是很重要的.
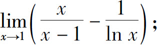
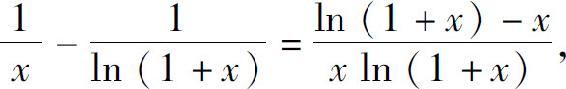
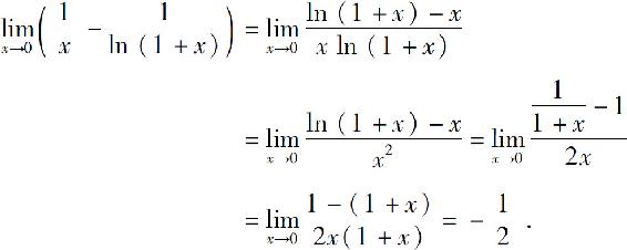
例9 求
解 这是∞-∞型未定式.因为
当x→0+时,右端是
型未定式,应用洛必达法则得到
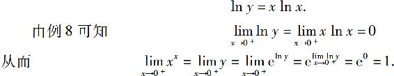
例10 求
解 这是00型未定式.令y=xx,取对数得
例11 求
解 这是1∞型未定式.令
则
由于
最后指出,洛必达法则的条件是充分而非必要条件,当
不存在且不是无穷大时,
仍可能存在.
例12 验证
存在,但不能用洛必达法则求出.
解 此极限是
型未定式,定理2的条件(1)、(2)是满足的,但是由于

当x→∞时极限不存在,也不是无穷大,所以定理2的条件(3)不满足,即所给极限不能用洛必达法则得出.正确解法如下:
习题3.2
1.用洛必达法则求下列极限:
(1)
(m,n为正整数,a≠0);
(2)
(3)
(4)
(5)
(6)
(7)
(8)
(9)
(10)
(11)
(12)
(13)
(14)
(15)
(16)
(17)
(18)
(19)
其中a,b,c均大于零且不等于1;
(20)
2.验证
存在,但不能用洛必达法则计算.