3.1 微分中值定理
要利用导数来研究函数的性质,首先就要了解导数值与函数值之间的联系.反映这些联系的是微分学中的几个中值定理,它们揭示了函数在某区间的整体性质与该区间内某一点的导数之间的关系.
3.1.1 罗尔定理
图3.1
观察图3.1,连续曲线弧
的两个端点的纵坐标相等,即f(a)=f(b),且除了端点外处处有不垂直于x轴的切线.可以发现在曲线弧的最高点或最低点处,曲线有水平的切线.如果记图中C点的横坐标为ξ,那么就有f′(ξ)=0.下面从理论上论证这个结论.
定理1(罗尔定理) 如果函数y=f(x)满足
(1)在闭区间[a,b]上连续;
(2)在开区间(a,b)内可导;
(3)f(a)=f(b),则在(a,b)内至少存在一点ξ,使得f′(ξ)=0.
证 因为函数f(x)在闭区间[a,b]上连续,所以根据闭区间上连续函数的最大值和最小值定理,f(x)在闭区间[a,b]上必定取得它的最大值M和最小值m.下面分两种情况讨论:
(1)如果M=m,则f(x)在区间[a,b]上恒为常数,此时区间(a,b)内任一点取作ξ,均有f′(ξ)=0.
(2)如果M>m,因为f(a)=f(b),所以M和m这两个数中至少有一个不等于f(a).不妨设M≠f(a),那么必定在开区间(a,b)内有一点ξ使f(ξ)=M.
下面证明f′(ξ)=0.
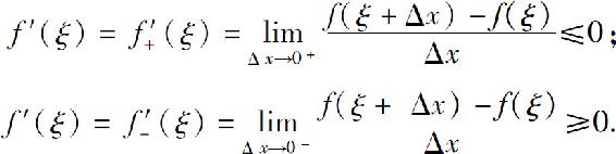
因为ξ是开区间(a,b)内的点,根据假设可知f′(ξ)存在,即极限

存在.而极限存在必定左、右极限都存在并且相等,因此
由于f(ξ)=M是f(x)在区间[a,b]上的最大值,因此不论Δx>0还是Δx<0,只要ξ+Δx∈[a,b],总有

故当Δx>0时

当Δx<0时

所以
从而f′(ξ)=0.
通常称导数等于零的点为函数的驻点(或称为稳定点,临界点).
例1 设p(x)为多项式函数,证明:如果方程p′(x)=0没有实根,则方程p(x)=0至多有一个实根.
证 反证法.假设p(x)=0有两个实根x1,x2,即

不妨设x1<x2,由于多项式函数p(x)在[x1,x2]上连续且可导,由罗尔定理知,至少存在一点ξ∈(x1,x2),使得

这与方程p′(x)=0没有实根矛盾.所以方程p(x)至多有一个实根.
例2 证明方程x5-5x+1=0有且仅有一个小于1的正实根.
证 先证存在性.
令f(x)=x5-5x+1,则f(x)在闭区间[0,1]上连续,且
f(0)=0-0+1=1>0,f(1)=1-5+1=-3<0.
由零点定理知,至少有一点x0∈(0,1),使得f(x0)=0.即方程x5-5x+1=0至少有一个小于1的正实根.
再证唯一性.
假设方程x5-5x+1=0有两个小于1的正实根,即另有x1∈(0,1),且x1≠x0,使得f(x1)=0.不妨设x0<x1,则f(x)在区间[x0,x1]上满足罗尔定理条件,所以至少存在一点
使得f′(ξ)=0.而事实上
f′(x)=5x4-5=5(x4-1)<0,x∈(0,1)
矛盾,所以方程x5-5x+1=0有且仅有一个小于1的正实根.
3.1.2 拉格朗日中值定理
罗尔定理的结论从几何上看,就是曲线上存在一点C,使得点C处的切线平行于x轴.由于f(a)=f(b),从而切线平行于弦AB.然而,条件f(a)=f(b)是非常特殊的,这使罗尔定理的应用受到了限制.如图3.2所示,当f(a)≠f(b)时,弦AB是斜线,此时连续曲线弧
上存在一点C,曲线在点C处的切线平行于弦AB.由于曲线在点C处切线的斜率为f′(ξ),弦AB的斜率为
,
因此

图3.2
定理2(拉格朗日中值定理) 如果函数f(x)满足
(1)在闭区间[a,b]上连续;
(2)在开区间(a,b)内可导,
则在(a,b)内至少存在一点ξ,使得
成立.
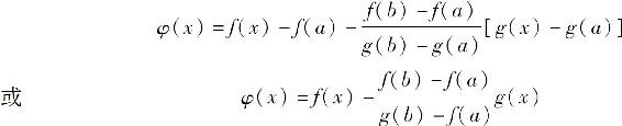
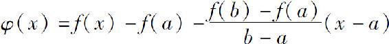
证 如图3.2所示,弦AB的方程为

由于弦AB的端点与曲线弧
的端点重合,因此
满足φ(a)=φ(b)=0.根据罗尔定理,知在(a,b)内至少存在一点ξ,使φ′(ξ)=0,又

所以

公式(1)称为拉格朗日中值公式,显然,当a>b时仍然成立.公式的右端
表示函数在区间[a,b]上的平均变化率,左端f′ξ表示函数在区间(a,b)内某点ξ处的变化率.于是该公式反映了可导函数在区间[a,b]上整体平均变化率与内点ξ处的变化率之间的关系,是连结局部与整体的纽带.
公式也可写成
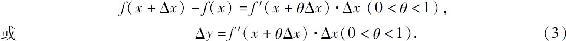
进一步,设x为闭区间[a,b]上一点,x+Δx为这区间内的另一点(Δx>0或Δx<0),则公式(2)在区间[x,x+Δx](当Δx>0时)或在区间[x+Δx,x](当Δx<0时)上成立,即
其中θ是0与1之间的某个数.
函数的微分dy=f′(x)Δx是函数增量Δy的近似表达式,以它近似代替Δy时所产生的误差只有当Δx→0时才趋于零;而式(3)则表示,对Δx的任一值,只要x+Δx∈a,b,那么f′(x+θΔx)·Δx总是增量Δy的精确表达式.
我们知道,如果函数f(x)在某一区间上是常数,那么f(x)在该区间上的导数恒为零.现在来证明它的逆命题也是成立的.
推论1 如果函数f(x)在区间I上的导数恒为零,那么f(x)在区间I上是一个常数.
证 设x1,x2为区间I内任意两点,不妨设x1<x2,显然f(x)在[x1,x2]上连续,在x1,x2内可导,由拉格朗日中值定理,有
f(x2)-f(x1)=f′(ξ)(x2-x1)(x1<ξ<x2).
因为f′(x)≡0,所以f′(ξ)=0,从而
f(x2)-f(x1)=0,即f(x1)=f(x2).
而x1,x2是区间I内任意两点,所以f(x)在区间I上是一个常数.
推论2 如果函数f(x)和g(x)在区间I上可导,且f′(x)≡g′(x),则在I上有f(x)=g(x)+C,其中C为某一常数.
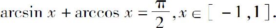
例3 证明恒等式

证 设f(x)=arcsin x+arccos x,则
因此由推论1知f(x)在开区间(-1,1)内为一常数,设
f(x)=arcsin x+arccos x=C.
因为
可得
所以在闭区间[-1,1]上

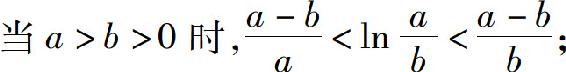
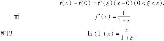
例4 证明:当x>0时

证 设f(t)=ln(1+t),显然f(t)在区间[0,x]上满足拉格朗日中值定理的条件,因此有
f(x)-f(0)=f′(ξ)(x-0)(0<ξ<x).
又0<ξ<x,于是
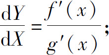
3.1.3 柯西中值定理
拉格朗日中值定理指出,如果连续曲线弧
上除端点外处处具有不垂直于横轴的切线,那么这段弧上至少有一点C,使曲线在点C处的切线平行于弦AB.设
由参数方程

表示,其中x为参数.则曲线上点X,Y处的切线的斜率为

弦AB的斜率为

假定点C对应于参数x=ξ,那么曲线在点C处的切线平行于弦AB,可表示为

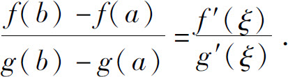
定理3(柯西中值定理) 如果函数f(x)和g(x)满足条件:
(1)在闭区间[a,b]上连续;
(2)在开区间(a,b)内可导;
(3)g′(x)在(a,b)内每一点处都不为零,
则在(a,b)内至少存在一点ξ,使得等式
成立.
可引进辅助函数
再在[a,b]上利用罗尔定理证明,这里不再赘述.
公式(4)也称柯西公式.如果令g(x)=x,那么g(b)-g(a)=b-a,g′(x)=1,则公式(4)就变成拉格朗日中值公式.故柯西中值定理是拉格朗日中值定理的推广.
习题3.1
1.验证下列各题,确定ξ的值:
(1)对函数y=sin x在区间
上验证罗尔定理;
(2)对函数y=4x3-6x2-2在区间[0,1]上验证拉格朗日中值定理.
2.不用求出函数f(x)=x(x-1)(x-2)(x-3)的导数,试判别方程f′(x)=0有几个实根,并指出它们所在的区间.
3.证明恒等式:
(1)
(2)
4.设方程a0xn+a1xn-1+…+an-1x=0有一个正根x0,证明方程a0nxn-1+a1(n-1)xn-2+…+an-1=0必有一个小于x0的正根.
5.若函数f(x)在(a,b)内具有二阶导数,且f(x1)=f(x2)=f(x3),其中a<x1<x2<x3<b,证明:在(x1,x3)内至少有一点ξ,使得f″(ξ)=0.
6.证明下列不等式:
(1)当x>1时,ex>e·x;
(2)
(3)
(4)当a>b>0时,3b2(a-b)<a3-b3<3a2(a-b).
7.证明方程x3+x-1=0有且只有一个正实根.
8.证明:不管b取何值,方程x3-3x+b=0在区间[-1,1]上至多有一个实根.
9.设函数f(x)在(-∞,+∞)内满足f′(x)=f(x),f(0)=1,证明:f(x)=ex.