2.5 微分
2.5.1 微分的概念
先考察一个具体问题.
设有一边长为x0的正方形金属薄片,受温度的影响其边长变为x0+Δx,相应的正方形面积的增量为
可见ΔS由两部分组成.第一部分为2x0Δx(即图2.3中阴影部分的面积)是Δx的线性函数,第二部分(Δx)2是当Δx→0时比Δx高阶的无穷小.由此可知,当给x0一个微小增量Δx时,由此引起的正方形面积增量ΔS可以近似地用第一部分来近似,产生的误差是一个比Δx高阶的无穷小.
图2.3
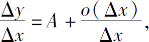
定义1 设函数y=f(x)在点x0的某邻域内有定义,x0+Δx在此邻域内,如果函数增量Δy=f(x0+Δx)-f(x0)可表示为
其中A是与Δx无关的常数,则称函数f(x)在点x0可微,并称AΔx为f(x)在点x0的微分,记为
即

函数微分AΔx是Δx的线性函数,且与函数增量Δy相差一个比Δx高阶的无穷小.当A≠0时,它是Δy的主要部分,所以也说微分dy是增量Δy的线性主部.当|Δx|很小时,就可以用微分dy来近似增量Δy.
下面讨论函数可微的条件.
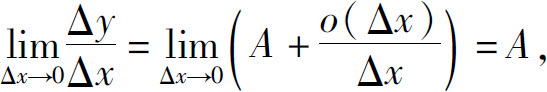
设f(x)在点x0可微,由式(1)有

两边取极限得
所以f(x)在点x0可导,并且
f′(x0)=A.
反之,若f(x)在点x0可导,即

存在,根据极限与无穷小的关系,有

其中当Δx→0时α→0.因而
Δy=f′(x0)·Δx+α·Δx.
这表明函数增量Δy可表示为Δx的线性部分f′(x0)Δx与比Δx高阶的无穷小之和,所以f(x)在点x0可微,且有
因此,有如下定理:
定理 函数f(x)在点x0可微的充要条件是函数f(x)在点x0可导,并有
若函数y=f(x)在区间I上每一点都可微,则称f(x)为I上的可微函数.函数y=f(x)在I上任一点x处的微分记作
它不仅依赖于Δx,而且也依赖于x.
特别当f(x)=x时,则f′(x)=1.代入公式dy=f′(x)Δx得dx=Δx,即自变量x的微分dx就是它的增量Δx.于是函数y=f(x)的微分又可记为
两边除以dx,得

也就是说,函数微分dy与自变量微分dx的商就等于该函数的导数,故导数也称为微商.
例1 设y=x2,求dy,
解 因为y′=(x2)′=2x,所以
dy=2xdx.
又
所以

2.5.2 微分的几何意义
设函数f(x)在点x0处可微.如图2.4所示,过曲线y=f(x)上点P0(x0,y0)作切线P0T,设P0T的倾角为α,则tanα=f′(x0).
图2.4
当x从x0变化到x0+Δx时,切线P0T上的点的纵坐标有相应的增量
由此可见,函数f(x)在点x0处的微分dy就是曲线y=f(x)在点P0(x0,y0)处切线上点的纵坐标的增量.
当|Δx|很小时,|Δy-dy|比|Δx|小得多.因此在点P0的邻近,可以用切线段来近似代替曲线段.
2.5.3 微分的运算法则
根据函数导数与微分的关系,可推出如下的微分运算法则:
(1)
(2)
(3)
(4)
在上述复合函数的微分运算法则(4)中,由于du=g′(x)dx,所以它也可写作

这与式(3)在形式上完全相同.因此,对于函数y=f(u),无论u为自变量还是中间变量,它的微分形式都是dy=f(u)du.这个性质通常称为一阶微分形式的不变性.
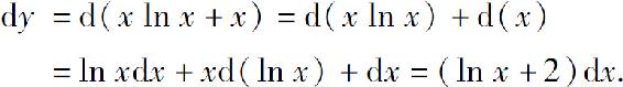
例2 求y=x ln x+x的微分.
解
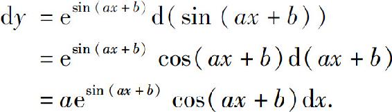
例3 求y=esin(ax+b)的微分.
解 由一阶微分形式不变性,可得
例4 在下列等式左端的括号中填上适当的函数,使等式成立.
(1)d( )=2x2dx;
(2)d( )=sin atdt(a≠0).
解 (1)因为 d(x3)=3x2dx,
所以
即

一般地
(2)因为

所以
即
一般地
2.5.4 微分在近似计算中的应用
微分在数学中有许多重要的应用.这里只介绍它在近似计算方面的应用.
由函数增量与微分的关系
Δy=f′(x0)Δx+α·Δx=dy+α·Δx
其中Δx→0时α→0.当|Δx|较小时,有Δy≈dy,因此即得
令x=x0+Δx,有
如果f(x0)与f′(x0)都容易计算,那么可利用式(4)来近似计算f(x0+Δx)或利用式(5)来近似计算f(x).
令x0=0,则由式(5)可得一些函数在原点附近的近似公式:
(1)sin x≈x;
(2)tan x≈x;
(3)ln(1+x)≈x;
(4)ex≈1+x;
(5)
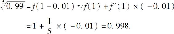
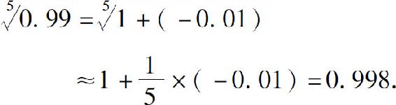
例5 求
的近似值.
解 方法一 设
取x0=1,Δx=-0.01.由于
由式(4)可得
方法二 直接利用近似公式:
取x=-0.01,故
习题2.5
1.对指定的x及dx,求dy:
(1)y=(x2+5)3,x=1,dx=-0.01;
(2)
2.求下列函数的微分:
(1)
(2)y=x ln x-x;
(3)y=x2cos 2x;
(4)y=e-xcos(3-x);
(5)y=tan2(1+2x2);
(6)
3.利用微分求近似值:
(1)
(2)ln(1.002).