2.2 求导法则
本节将引入几个基本的求导法则,利用这些法则和基本初等函数的导数公式,就能较简便地求出常见的初等函数的导数.
2.2.1 函数四则运算的求导法则
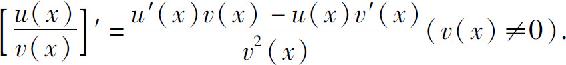
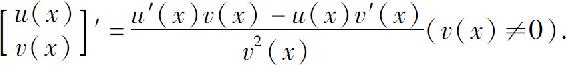
定理1 如果函数u(x)和v(x)在点x可导,则它们的和、差、积、商(分母为零的点除外)在点x可导,并且
(1)
(2)
(3)
以上三个法则都可用导数定义和极限运算法则来证明,我们只给出法则(2)的证明.
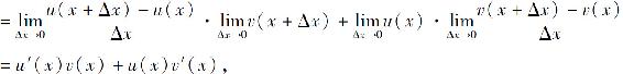
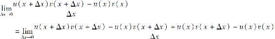
证 因为
所以u(x)v(x)在点x可导,并且
[u(x)v(x)]′=u′(x)v(x)+u(x)v′(x).
法则(2)可简单地表示为
(uv)′=u′v+uv′.
定理中的(1),(2)可推广到任意有限个可导函数的情形.例如
(uvw)′=u′vw+uv′w+uvw′.
由定理中的(2),(3)可得到两种特殊的情形:
例1 设
解
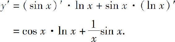
例2 设y=sin x·ln x,求y′(π).
解
所以

例3 
解 
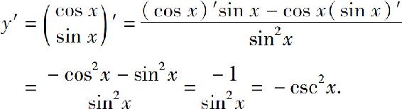
例4 设y=cot x,求y′.
解
同理可得

例5 设y=sec x,求y′.
解
同理可得

2.2.2 反函数的求导法则
定理2 如果函数x=φ(y)在某区间内单调、可导且φ′(y)≠0,则它的反函数y=f(x)在对应区间内可导,并且
简单地说,即反函数的导数等于直接函数导数的倒数.
例6 求y=ax的导数.
解 由于y=ax,x∈(-∞,+∞)为x=logay,y∈(0,+∞)的反函数,所以由定理2得
即

特别地,当a=e时

例7 求y=arcsin x,x∈(-1,1)的导数.
解 由于y=arcsin x,x∈(-1,1)是
的反函数,所以
例8 求y=arctan x的导数.
解 由于y=arctan x,x∈(-∞,+∞)是x=tan y,
的反函数,所以
2.2.3 复合函数的求导法则
定理3 如果u=φ(x)在点x处可导,y=f(u)在对应点u=φ(x)可导,则复合函数y=f[φ(x)]在点x可导,且
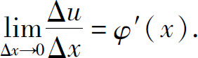
证 设x有增量Δx,相应u有增量Δu,从而y有增量Δy.由于f(u)在点u可导,因此

存在,根据极限与无穷小的关系有

其中α是Δu→0时的无穷小.上式中Δu≠0,用Δu乘上式两边,得
Δy=f′(u)·Δu+α·Δu.
当Δu=0时,由于Δy=0,上式仍成立(这时取α=0),于是
由于u=φ(x)在点x可导,故在该点连续,于是当Δx→0时,Δu→0,从而

并且

所以
即

复合函数的求导公式亦称为链式法则.函数y=f(u),u=φ(x)的复合函数在点x的求导公式一般也写作

链式法则可以推广到多个中间变量的情形.例如,如果y=f(u),u=φ(v),v=ψ(x)都可导,则复合函数y=f(φ(ψ(x)))可导,并且
例9 求y=cos x2的导数.
解 将y=cos x2看作y=cos u与u=x2的复合函数,故
例10 求y=ln|x|的导数.
解 当x>0时,y=ln x
当x<0时,y=ln(-x)可看作y=ln u与u=-x的复合函数,故
因此
链式法则熟练后,中间变量可以不写出来,只要记住复合过程,弄清楚每一步“是在对谁求导”.
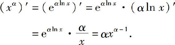
例11 设α为实数,求幂函数y=xα(x>0)的导数.
解
例12 求
的导数.
解
2.2.4 基本求导法则与导数公式
现在把前面得到的求导法则与基本初等函数的导数公式列出如下:
1)函数四则运算的求导法则
设u(x)和v(x)在点x可导,则
(1)
(2)
(3)
2)反函数的求导法则
设y=f(x)是x=φ(y)的反函数,φ′(y)≠0,则
3)链式法则
设u=φ(x)在点x处可导,y=f(u)在相应点u=φ(x)可导,则

4)基本初等函数导数公式
(1)(C)′=0.
(2)(xα)′=αxα-1(α为任意实数).
(3)(sin x)′=cos x,(cos x)′=-sin x.
(4)
(5)(sec x)′=sec x tan x,(csc x)′=-csc x cot x.
(6)
(7)
(8)
(9)
习题2.2
1.求下列函数的导数:
(1)
(2)
(3)
(4)
(5)
(6)
(7)
(8)
2.求下列复合函数的导数:
(1)y=(1+x2)5;
(2)
(3)y=ln ln x;
(4)y=arctan(2x+1);
(5)y=ln(2-x+3-x+4-x);
(6)
(7)
(8)y=x arcsin(ln x);
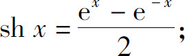
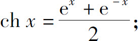
3.定义双曲函数如下:
双曲正弦函数
双曲余弦函数
双曲正切函数
双曲余切函数
证明:
(1)(sh x)′=ch x;
(2)(ch x)′=sh x;
(3)
(4)
4.设f(x)可导,求下列函数的导数
:
(1)y=f(x2);
(2)y=f(tan x)+tan(f(x)).