2.1 导数的概念
2.1.1 导数的定义
先讨论两个问题:速度问题和切线问题.
例1 设一质点作变速直线运动,位置函数s=s(t),求质点在某时刻t0的瞬时速度.
解 考虑从t0到t0+Δt这一时间间隔,在此时间间隔内,质点经过的路程为
Δs=s(t0+Δt)-s(t0),
所以质点在t0到t0+Δt这段时间内的平均速度为
可作质点在时刻t0的瞬时速度的近似值.显然,|Δt|越小,近似程度越好.令Δt→0,如果
的极限存在,则称此极限为质点在时刻t0的瞬时速度,即
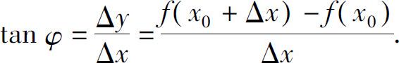
例2 求平面曲线L:y=f(x)在点P0(x0,f(x0))处切线的斜率.
解 设点P(x0+Δx,y0+Δy)为曲线L上的一个动点,其中Δx≠0,Δy=f(x0+Δx)-f(x0).作割线P0P,设其倾角(即与x轴的夹角)为φ,易知割线P0P的斜率为
当点P沿曲线L趋向于定点P0(即Δx→0)时,割线P0P也随之趋向于它的极限位置P0T.我们称直线P0T为曲线L在定点P0处的切线,如图2.1所示.显然,此时倾角φ趋于切线倾角α,即切线的斜率为
图2.1
上面两个例子尽管实际意义不同,但它们在数学上的处理学方法却是一样的,都归结为函数增量与自变量增量比值的极限.撇开这些量的实际意义,就得到导数的概念.
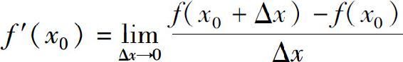
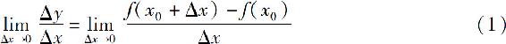
定义1 设函数y=f(x)在点x0的某个领域内有定义,如果极限
存在,则称函数f(x)在点x0处可导,并称该极限为函数f(x)在点x0处的导数,记为f′(x0).
如果极限(1)不存在,则称函数f(x)在点x0处不可导.特别地,如果
为方便起见,也说函数f(x)在点x0处的导数为无穷大.
反映的是自变量x从x0变到x0+Δx时,函数f(x)的平均变化率,故导数
也称为函数f(x)在点x0处的(瞬时)变化率.
令x=x0+Δx,则有
有时也记Δx=h,此时
如果函数y=f(x)在开区间(a,b)内每一点都可导,则称函数在(a,b)内可导.此时对(a,b)内的每一个确定的x,都对应一个确定的数f′(x),这样就定义了一个新的函数,称为f(x)的导函数,记为

即
导函数也简称为导数.
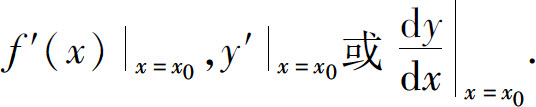
显然,f′(x0)就是导函数f′(x)在点x0处的函数值,因而f′(x0)也记为
下面根据导数定义求一些函数的导数.
例3 求f(x)=C(C为常数)的导数.
解 
即常数的导数等于零.
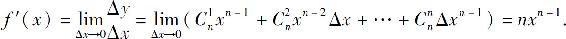
例4 求f(x)=xn(n∈N+)的导数.
解 由于
因此
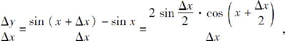
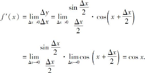
例5 求f(x)=sin x的导数.
解 由于
因此
同理可求得(cos x)′=-sin x.
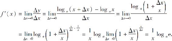
例6 求f(x)=logax(a>0,a≠1,x>0)的导数.
解
特别地,当a=e时

2.1.2 导数的几何意义
由例2可知,函数f(x)在点x0处的导数f′(x0)是曲线y=f(x)在点P0(x0,y0)处切线的斜率.
因此,曲线y=f(x)在点(x0,y0)处的切线方程为
法线方程为
如果函数f(x)在点x0处的导数为无穷大,则曲线y=f(x)在点(x0,y0)处的切线为垂直于x轴的直线:x=x0.
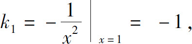
例7 求双曲线
在点(1,1)处的切线的斜率,并写出在该点处的切线方程和法线方程.
解 根据导数的几何意义可知,所求切线的斜率为

由于
于是
从而所求切线方程为
y-1=-1·(x-1)
即
x+y-2=0.
所求法线的斜率为

于是所求法线方程为
y-1=-1·(x-1)
即
x-y=0.
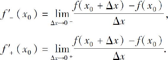
2.1.3 单侧导数
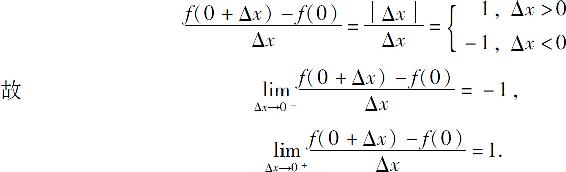
例8 判断函数f(x)=|x|在点x=0处是否可导.
解 因为
所以
不存在,即函数f(x)在点x=0处不可导,如图2.2所示.
图2.2
函数f(x)在点x0处的导数
是一个极限,而极限存在的充分必要条件是左、右极限都存在且相等,因此f′(x0)存在即f(x)在点x0可导的充分必要条件是左、右极限
都存在且相等.这两个极限分别称为函数f(x)在点x0处的左导数和右导数,记作
即
从而有如下结论:
函数f(x)在点x0处可导的充分必要条件是左导数
和右导数
都存在且相等.
左导数和右导数统称为单侧导数.
如果函数f(x)在(a,b)内可导,且
存在,就称f(x)在[a,b]上可导.
2.1.4 可导与连续的关系
可导与连续是两个重要概念,它们之间有什么联系呢?
设函数y=f(x)在点x0处可导,即有

由函数极限与无穷小的关系可知

其中α是当Δx→0时的无穷小.上式两边同乘以Δx得
故当Δx→0时,Δy→0,所以函数y=f(x)在点x0处连续.因而有如下定理:
定理 如果函数y=f(x)在x0处可导,则它在x0处一定连续.
需要注意的是,一个函数在一点连续却不一定在该点可导.例如,函数y=|x|在点x=0处连续,但在点x=0处不可导.
习题2.1
1.设f(x)=2x2,按导数定义求f′(-1).
2.用导数定义求下列函数的导数:
(1)
(2)f(x)=cos x.
3.求曲线y=cos x在点(0,1)处的切线方程与法线方程.
4.求抛物线y=x2-5x+9在点(3,3)处的切线方程与法线方程.
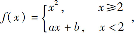
5.设
确定a,b的值,使f(x)在x=2处可导.
6.证明:若f(x)在点x0可导,则
7.讨论f(x)=|sin x|在x=0处的连续性与可导性.