1.5 无穷小与无穷大
1.5.1 无穷小
定义1 如果
则称f(x)为当x→x0时的无穷小.
例如,因为
所以函数sin x是当x→0时的无穷小.
类似可定义
时的无穷小.
特别地,以零为极限的数列{an}称为n→∞时的无穷小.
需要注意的是,无穷小是一个极限为零的函数(或数列),不是一个很小的数,因而与自变量的变化趋势密切相关.如函数
是当x→∞时的无穷小,而当x趋于任何固定值时都不是无穷小.
由无穷小的定义及函数极限的四则运算法则,易知无穷小有如下性质:
性质1 有限个无穷小的代数和仍是无穷小.
性质2 有界函数与无穷小的乘积仍是无穷小.
例如,由于
且|sin x|≤1,所以
推论1 常数与无穷小的乘积仍是无穷小.
推论2 有限个无穷小的乘积仍是无穷小.
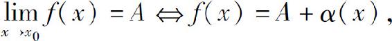
函数极限与无穷小有如下关系:
定理1
其中α(x)是当x→x0时的无穷小.
证 充分性.因为α(x)是当x→x0时的无穷小,所以
必要性.因为
所以
1.5.2 无穷大
如果在自变量的某一变化过程中,对应的函数值的绝对值|f(x)|无限增大,就称函数f(x)为这一变化过程中的无穷大.
定义2 设函数f(x)在x0的某个去心邻域内有定义.若对于任意给定的正数M,总存在正数δ,使得当0<|x-x0|<δ时,都有
|f(x)|>M,
则称函数f(x)是当x→x0时的无穷大(或当x趋于x0时f(x)趋于无穷),记为

如果在定义中把|f(x)|>M换成f(x)>M(或f(x)<-M),则称函数f(x)是当x→x0时的正无穷大(或负无穷大),记为
类似地,可以给出函数f(x)是当
时的无穷大的定义.例如:
定义3 设函数f(x)在[a,+∞)上有定义.若对于任意给定的正数M,总存在正数X,使得当x>X时,都有
|f(x)|>M,
则称函数f(x)是当x→+∞时的无穷大,记为

例如,
即
是当x→0时的无穷大,
是当x→+∞时的(正)无穷大,y=ln x是当x→0+时的(负)无穷大.
必须注意的是,无穷大不是一个数,不可与很大的数混为一谈.
由无穷大量与无穷小的定义,可推得它们之间有如下关系:
定理2 在自变量的同一变化过程中,如果f(x)为无穷大,则
为无穷小;反之,如果f(x)为无穷小,且f(x)≠0,则
为无穷大.
根据这个定理,对无穷大的研究可归结为对无穷小的讨论.
1.5.3 无穷小的比较
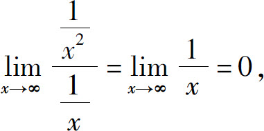
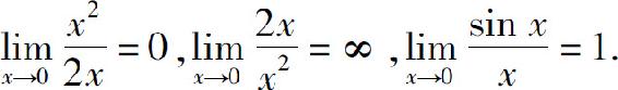
当x→0时,2x,x2与sin x都是无穷小.现在来考察它们的商当x→0时的极限:
两个无穷小之比的极限的各种不同情形,反映了作为分子与分母的这两个无穷小趋于零的速度的“快慢”不同.就以上的几个例子来说,在x→0的时候,x2→0比2x→0的速度“快”;反过来,2x→0比x2→0的速度“慢”;而sin x→0与x→0的速度“相同”.
定义4 设α及β都是自变量同一变化过程中的无穷小,且β≠0.
(1)如果
则称α是比β高阶的无穷小,或称β是比α低阶的无穷小,记为α=o(β);
(2)如果
则称α与β是同阶无穷小,记为α=O(β).特别当l=1时,则称α与β是等价无穷小,记为α~β.
例如,sin x与x当x→0时都是无穷小,由于
所以sin x与x是当x→0时的等价无穷小,即sin x~x(x→0).
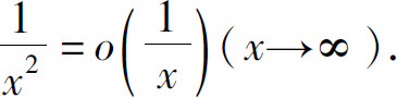
又如,
与
当x→∞时都是无穷小,由于
因此,当x→∞时
是比
高阶的无穷小,即
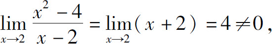
又如,x2-4与x-2都是当x→2时的无穷小.由于
因此,x2-4与x-2为当x→2时的同阶无穷小,即x2-4=O(x-2)(x→2).
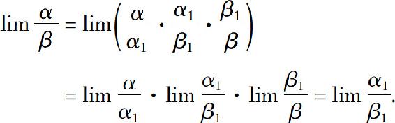
定理3 设α~α1,β~β1,且
存在,则

证
定理表明,求函数极限时,分子、分母中的因式都可用等价无穷小来代换.
例1 计算
解 由于
故有
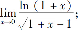
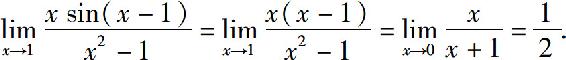
例2 计算
解 当x→1时,sin(x-1)~(x-1),所以
最后,我们把常用的几个x→0时的等价无穷小列出,以便于应用.
习题1.5
1.在下列各题中,指出哪些是无穷小,哪些是无穷大:
(1)
(2)
(3)
(4)
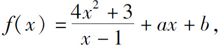
2.设
若已知
求a,b.
3.试比较α(x)和β(x)中哪一个是高阶无穷小?
(1)α(x)=x3+10x,β(x)=x4,当x→0时;
(2)α(x)=5x3,β(x)=sin2x,当x→0时.
4.利用等价无穷小求下列极限:
(1)
(2)
(3)