1.2 数列极限
1.2.1 数列极限的定义
定义1 如果按照某一法则,对每个n∈Z+,都对应着一个确定的实数an,这些实数按下标n从小到大排列得到的一个序列:
a1,a2,…,an,…
称为无穷数列,简称为数列,简记为an.其中,an称为数列的通项或一般项.
显然,数列可以理解为定义域为正整数集Z+的函数:
an=f(n),n∈Z+.
例如
不难看出,数列
的通项
随着n的增大而无限接近于0,称0为数列
的极限;数列
的通项
随着n的增大而无限接近于1,称1为数列
的极限.
一般地,对于数列{an},如果当n无限增大时,an无限地接近某一个常数a,则称此数列为收敛数列,常数a称为它的极限.
为了进一步理解“无限接近”的意义,这里进一步考察数列
注意到实数a,b的接近程度由|a-b|确定,|a-b|越小,则a,b越接近.因此,要说明“数列通项
随着n的增大而无限地接近于1”,只要说明“当n充分大以后,
可以小于预先给定的任意小的正数.”
事实上,要使
只要n>10即可,即从第11项起的一切项an与1之差的绝对值都小于
;要使
只要n>100即可.一般地,任意给定ε>0,不论它多么小,要使|an-1|<ε,只要
即可,也就是从第
1项起的一切项都满足∣an-1∣<ε.因为ε>0是任意的,这就说明an可以无限地接近于1.
定义2 设{an}是一数列,a为定数.如果对任意给定的正数ε,总存在正整数N,使得当n>N时,有
∣an-a∣<ε,
则称a为数列{an}的极限,或称数列{an}收敛于a,记为
如果数列{an}没有极限,则称{an}为发散数列.
这个定义被称为数列极限的ε-N定义.为书写简便,定义可简述为:
对ᗄε>0,ƎN>0,当n>N时,有∣an-a∣<ε.
其中,符号“ᗄ”表示“任意给定”,符号“Ǝ”表示“存在”.
需要注意的是,定义中的ε是可以任意给定的正数.ε越小,表示an与定数a越接近,从而ε的任意性保证了an可以无限地接近于a;一旦ε给定后,ε就是一个确定的正数,从而由∣an-a∣<ε可找到相应的N,但N不是由ε所唯一确定的.
例1 证明:
证 对任意ε>0,要使
只需
故可取
则当n>N时就有
∣an-a∣<ε,
故

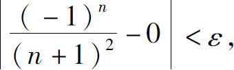
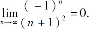
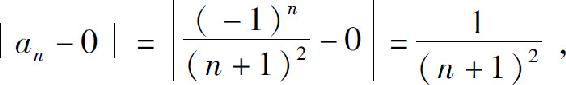
例2 证明:
证 因为
故对任意给定的ε>0(不妨设ε<1),要使∣an-0∣<ε,只需
即
因此可取
则当n>N时,就有

故

1.2.2 收敛数列的性质
性质1(唯一性) 若数列{an}收敛,则它的极限是唯一的.
定义3 对于数列{an},如果存在正数M,使得对一切的正整数n,有
∣an∣≤M,
则称数列{an}是有界的;否则,就称数列{an}是无界的.
性质2(有界性) 若数列{an}收敛,则an必有界.
证 设
取ε=1,则存在正整数N,对一切n>N有
∣an-a∣<1.
于是,当n>N时
∣an∣=∣(an-a)+a∣≤∣an-a∣+∣a∣<1+∣a∣.
取M=max{∣a1∣,∣a2∣,…,∣aN∣,1+∣a∣},则对一切正整数n,都有
∣an∣<M,
即{an}有界.
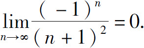
有界只是数列收敛的必要条件,而非充分条件,即有界数列不一定收敛.例如数列{(-1)n}有界,但它并不收敛.
性质3(保号性) 若
(或a<0),则存在正整数N,使得当n>N时有an>0(或an<0).
证 设a>0.取
因为
故存在正整数N,使得当n>N时,有

从而

性质3表明:若数列的极限为正(或负),则该数列从某一项开始以后所有项也为正(或负).
在数列{an}中任意抽取无限多项并保持这些项在原数列{an}中的先后次序,这样得到的一个数列称为数列{an}的子数列.
性质4 如果数列{an}收敛于a,那么它的任一子数列也收敛于a.
1.2.3 数列极限的运算法则
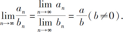
定理1 如果
则
(1)
(2)
(3)
(4)
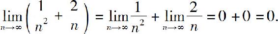
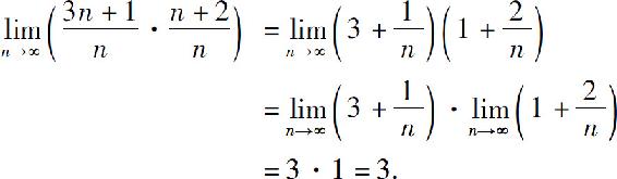
例3 求
解 因为
所以
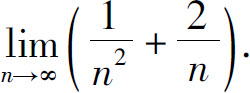
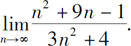
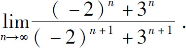
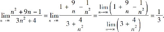
例4 求
解
的分子和分母同除以n2后,再用极限运算法则得
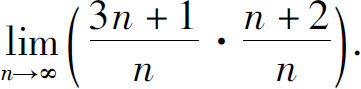
例5 求
解
习题1.2
1.按ε-N定义证明:
(1)
(2)
2.求下列极限:
(1)
(2)
(3)
(4)
(5)
(6)
3.设{an}是收敛数列,{bn}是发散数列,证明{an+bn}是发散数列.又问{anbn}是否必为发散数列?