1
大学物理综合设计实验
1.8.2 实验原理
实验原理

空气热机的结构及工作原理可用图8-1说明。热机由高温区、低温区、工作活塞及汽缸、位移活塞及汽缸、飞轮、连杆、热源等部分组成。

图8-1 空气热机工作原理

热机中部为飞轮与连杆机构,工作活塞与位移活塞通过连杆与飞轮连接。飞轮的下方为工作活塞与工作汽缸,飞轮的右方为位移活塞与位移汽缸,工作汽缸与位移汽缸之间用通气管连接。位移汽缸的右边是高温区,可用电热方式或酒精灯加热,位移汽缸左边有散热片,构成低温区。

工作活塞使汽缸内气体封闭,并在气体的推动下对外做功。位移活塞是非封闭的占位活塞,其作用是在循环过程中使气体在高温区与低温区间不断交换,气体可通过位移活塞与位移汽缸间的间隙流动。工作活塞与位移活塞的运动是不同步的,当某一活塞处于位置极值时,它本身的速度最小,而另一个活塞的速度最大。

当工作活塞处于最低端时,位移活塞迅速左移,使汽缸内气体向高温区流动,如图8-1 (a)所示;进入高温区的气体温度升高,使汽缸内压强增大并推动工作活塞向上运动,如图8-1(b)所示,在此过程中热能转换为飞轮转动的机械能;工作活塞在最顶端时,位移活塞迅速右移,使汽缸内气体向低温区流动,如图8-1(c)所示;进入低温区的气体温度降低,使汽缸内压强减小,同时工作活塞在飞轮惯性力的作用下向下运动,完成循环,如图8-1(d)所示。这是一个非理想的、不可逆的实际循环过程,而不是理想可逆的卡诺循环。在一次循环过程中气体对外所做净功等于p-V图所围的面积。

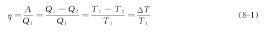
根据卡诺对热机效率的研究而得出的卡诺定理,其内容有两条。

其一:对于循环过程是可逆的理想热机,热功转换效率为

式中,A为每一循环中热机对外做的功,Q1为热机每一循环从热源吸收的热量,Q2为热机每一循环向冷源放出的热量,T1为热源的绝对温度,T2为冷源的绝对温度。

其二:实际的热机都不可能是理想热机,而一个循环过程不可逆的实际热机,其效率不可能高于理想热机,即

卡诺定理指出了提高热机效率的途径。就过程而言,应当使实际的不可逆机尽量接近可逆机;就温度而言,应尽量提高冷热源的温度差。

热机每一循环从热源吸收的热量

n为热机转速。

效率

注意:在T1不变时,η与ΔT成正比,而在T1(Q1)变化、nA不变的情况下η与ΔT有反比的关系。

n、A、T1及ΔT在实验中均可测量,观测在不同冷热端温度时的nA/ΔT与ΔT/T1的关系,即可验证卡诺定理。

当热机带负载时,热机向负载输出的功率可由力矩计测量并计算而得。热机实际输出功率大小随负载的变化而变化,因此,可测量并计算出不同负载大小时的热机实际效率。