8.6 研究案例
无患子提取物对模式动物中枢神经系统的影响研究
陈忻昀 贺博文
(同济大学第二附属中学,上海,200060)
摘要:课题的主要目的是研究无患子果皮乙醇粗提物对小鼠中枢神经系统的影响。通过每天对小鼠灌胃无患子粗提物(50、100、200、250、300、350、400mg/kg的剂量),连续15天后观察记录小鼠的各种神经系统反应,包括:一般行为模式(自发行为、警觉、听觉、触觉、痛觉等)、安定诱导的催眠效应以及探洞行为。结果显示无患子乙醇粗提物极大地降低了小鼠一般行为和探洞行为,加剧了安定诱导的催眠效应。因此初步确定无患子粗提物对小鼠的中枢神经系统具有镇静抑制作用。
关键词:无患子 安定 中枢神经系统 小鼠
1 研究背景及意义
无患子(Sapindus emarginatus Vahl)也称为肥皂树或洗手果,为无患子科无患子属的一种落叶乔木,在东南亚各国、我国台湾省及淮河以南各省均有分布[3]。无患子属植物具有极大的药用价值。药理研究表明,无患子果皮所含皂苷成分具有抗皮肤真菌和念珠菌作用、抑制肿瘤细胞增殖、抗幽门螺旋杆菌活性、保肝作用等多种生物活性[2]。无患子的假种皮中富含皂苷[1],具有良好的起泡性和去污性能,可作为天然活性物质用于洗发香波及各种洁肤护肤化妆品中;它还具有抗菌和止痒等生理功效,可用于脚癣和轮癣的治疗[4]。
2 材料与方法
2.1 无患子粗提物

无患子采自同济大学校园内的无患子树上自然成熟的无患子果实。取无患子果皮用食品粉碎机打碎(如图1A所示),过50目不锈钢筛后,将粉末放入500mL广口瓶中,加入1 :5料液比的乙醇浸泡(如图1B所示),浸泡时间为3天。期间每天一次将乙醇提取液用两层滤纸过滤后加入新的乙醇继续提取(如图1C所示)。乙醇提取液合并。在45 ℃下浓缩至无乙醇,合并浓缩物(如图1D所示)。称 重。

图1 无患子提取过程
2.2 供试动物
使用动物为小白鼠(由中科院上海细胞与生化研究所提供)。小白鼠分组饲养于塑料笼子(38 cm×23 cm×10 cm)内,每个笼子内白鼠数量不多于8个,并置于标准实验室(25±2 ℃)及昼夜交替(14/10小时)条件下生长,小鼠可以自由取食和饮水。小鼠在实验室适应环境两周后开始实 验。
2.3 其他供试药物
本试验需要的其他药物有:安定。
2.4 急性毒性研究
选22~25 g重的小鼠并随机分组。小鼠断食过夜,只供应水。通过灌胃法口服50、200、400mg/kg的无患子粗提液5天并观察5天。如果在6只供试小鼠中有2~3只死亡说明处理剂量为有毒剂量。如果仅有一只小鼠死亡,同剂量重复后确定有毒剂量。如果没有死亡发生,则提高剂量如50、300、2000mg/kg重复试验。在处理72小时内观察小鼠的中毒症状,如行为改变、移动、抽搐及死亡。

图2 无患子提取物不同浓度配制及小鼠灌胃实验
2.5 行为模式观察
46只小鼠分为9组,每组5~8只,灌胃前小鼠称重,取平均体重。前7组小鼠分别口服50、100、200、250、300、350和400mg/kg的无患子提取物(分别对应3、6、12、15、18、21、24mg/mL的提取物浓度,每只小鼠灌胃0.5mL)及水灌胃作为对照处理15天。最后一组在处理的最后一天灌胃5mL/kg的安定作为药物处理对照。然后在第一个小时每半个小时一次,接下来4个小时每小时一次对小鼠进行如下行为的观 察。
2.5.1 意识、警觉以及自发活动
通过将小鼠放置在另外一个体位,观察它们能够调整自身回复原来体位而不发生碰撞或跌倒的能力,记录它们的意识和警觉变化。在正常休息体位则记为(-),微小活动为(+),中度移动为(++),强烈反应为(+++),异常不安定为(++++)。将小鼠放置在一个钟形容器中所表现的轻微的好奇行为则为自发活动。轻微活动记为(++),剧烈活动为(+++),几乎没有移动为(+),进入睡眠状态则为(-)。如果变现为持续的走或跑等极度或很强的好奇活动则为(++++)。然后将小鼠从容器中取出放在桌子上,重复以上观察并记录小鼠行为。
2.5.2 正位反射:处理后分别在15、30和60分钟后轻轻地将小鼠背部朝下放置在一个有凹槽的表面,并保持温度在30 ℃。如果小鼠保持背朝下姿势30 s,说明它不具有正位反射的能力。
2.5.3 耳廓反射:使用一根毛发或其他细微的工具碰触小鼠耳廓中部观察它们的反射能力。不受影响的小鼠会自发地躲避碰触物。
2.5.4 握力:握力测试用于评价啮齿类动物的肌肉力量或神经肌肉的功能。通过让动物抓住一支水平放置的铅笔,然后记录动物握笔至铅笔掉落至桌面上的时间。
2.5.5 触觉:通过用铅笔或镊子触碰小鼠身体的各个部位(如颈侧、腹部以及腹股沟等部位),观察记录小鼠的反应。
2.5.6 痛觉:用一个小的动脉钳夹住小鼠尾巴的基部,记录反应。
2.5.7 听觉:小鼠通常习惯安静条件,因此任何响动都会对小鼠产生不良的刺激。
以上测试用于研究不同浓度的无患子提取物对小鼠中枢神经的镇静作用。镇静作用记录为无效(-),微效(+),中效(++),强效(+++),超效(++++)。
2.6 苯安定诱导的睡眠时间
供试小鼠被分成4组,8个一组,分别用无患子提取物50、100、200mg/kg及0.5mL的水处理15天后,灌胃40mg/kg的安定30分钟后开始记录睡眠时间以及小鼠失去或回复正位反射功能的间隔时间。
2.7 探索行为:洞板实验
该实验是基于小鼠喜欢探洞的天性设计的,它能有效反映小鼠对新环境的好奇心。五组小鼠,每组8只,分别用50、100、200mg/kg的无患子粗提物、水以及5mg/kg的安定处理30分钟后,将小鼠放置在相同大小和间隔的16孔木板上,3分钟内记录每只小鼠的探洞次数。
3 结果与分析
3.1 急性毒性研究
小鼠断食过夜,只供应水。通过胃插管法口服50、200和400mg/kg的无患子粗提液5天,并观察5天。发现400mg/kg的处理下,小鼠有抽搐和死亡的现象。最初每只小鼠灌胃1mL,因为技术不熟练,插入气管导致几只小鼠死亡,还有几只可能因灌胃量太大出现抽搐甚至死亡,因此确定灌胃量为0.5mL。在后续实验中以400mg/kg为最高处理浓度,并相应的增加几个浓度梯度。在后来的实验中,随着灌胃技术的熟练,甚至在400mg/kg的剂量下也未发生死亡现象。部分粗提物处理小鼠在连续灌胃后5天出现干呕和类似打嗝的症状,并且处理剂量越高,症状越明显,但没有出现死亡。
3.2 行为模式观察
无患子粗提物对小鼠一般行为模式的镇静作用列于表1。从统计结果可以看出200mg/kg的粗提物对小鼠的一般行为模式均有一定的镇静抑制作用,相比较而言安定对所有的行为均有很强的镇静抑制作用。
表1 无患子乙醇粗提物对小鼠一般行为模式的镇静效应

注:镇静作用记录为无效(-),微效(+),中效(++),强效(+++),超效(++++)。
3.3 安定诱导的睡眠时间
从表2的结果可以看出,无患子乙醇粗提物极大地加强了安眠药对小鼠的催眠效应,并且这种增强随着处理浓度的增加而增加。
表2 无患子粗提物对安定诱导的小鼠睡眠时间的影响

3.4 探洞行为:洞板实验
从表3的结果可以看出,无患子粗提物处理后小鼠的探洞行为明显降低,并且浓度越高降低越明显。
表3 无患子粗提物对小鼠探洞行为的影响

注:探洞行为为3分钟的记录结果。
4 结论与讨论
我们利用乙醇提取无患子果皮中的皂苷,并研究了粗提物对小鼠中枢神经系统的作用。结果显示无患子乙醇粗提物影响了小鼠的自发活动、正位反应、耳廓反应、握力以及痛感等一般行为模式。小鼠的意识降低和抑郁行为可能是由于无患子粗提物对中枢神经的作用。耳廓反射能力的降低可能是由于阻断了神经传递途径中突触的形成。以前有研究证明了无患子对小鼠没有毒性,但是我们在实验过程中发现,400mg/kg的处理浓度下有3只小鼠在灌胃1周后的10天内陆续死亡,我们在咨询了华师大的陈邦林老师后得知无患子粗提物中可能含有大量的鞣酸,口服对胃黏膜有刺激性,可引起恶心、呕吐;用于局部破损处,如大面积烧伤或用硫酸钡灌肠剂灌肠时,易吸收中毒,引起肝脏严重毒性,甚至死亡。这也解释了我们在给小鼠灌胃后,小鼠出现恶心干呕的现象,并且浓度越高这种症状越严 重。
不同浓度的无患子粗提物处理小鼠后发现,随着处理浓度的提高,极大地增加了安眠药的催眠效应,说明无患子提取物具有镇静活性。同时,与对照组相比,处理组小鼠的探洞行为明显减少,也说明了粗提物对中枢神经具有抑制作用。
中国古代各种医籍对无患子的清洗、医疗作用也作详细的记载。明代大医学家李时珍所著的《本草纲目》,尤为详细记载无患子的各种药用价值,指出无患子用于洗面可增白,去斑,也可去风明目,去口臭。无患子的种仁也是一种药材,又叫中仁。而印度的草药医师则用其种仁油治疗偏头痛等各种顽疾,子皮研后纳入喉中,可治疗咽喉肿痹。无患子类医药产品开发前景广阔。已有报道无患子含有三萜系化合物以及皂苷。大量科学报道说明三萜系化合物具有中枢神经镇静剂的作用。因此存在无患子甲醇粗提物中的这些有效成分可能作用于中枢神经系统。但是,在无患子提取物中究竟是哪一种植物成分对中枢神经系统有作用还不知道,同时动物中作用受体也未知,因此未来研究可以着重于这两方 面。
参考文献
[1]朱亚红,吴珉,胡秀卿,平立风,徐玲英.无患子皂苷粗提物提取方法比较[J].浙江农业科学,2008,2:247—248。
[2]黄素梅,王敬文,杜孟浩,张金萍,姜景民.无患子的研究现状及其开发利用[J].林业科技开发,2009,23,(6):1—5。
[3]吴征镒,陈书坤,李锡文,等.云南植物志1卷[M].北京:科学出版社,1979.
[4]黄彦勋.神奇天然肥皂——无患子[J].现代中医药(北京),2006,2:54—56.
黑豆皮中黑色素抗氧化性研究
包 瀛
(同济大学第二附属中学,上海,200060)
摘要:随着生活水平的提高,人们对营养的要求也越来越高。同时黑色食品正作为新一代健康食品越来越受到青睐。本试验对黑豆皮中的黑色素进行粗提后,通过黑豆皮黑色素的总抗氧化能力及清除DPPH自由基活性的测定对黑豆皮黑色素的抗氧化能力进行研究,经试验测得黑豆皮黑色素具有很强的总抗氧化能力和DPPH自由基清除能力。同时将粗提物饲喂亲本果蝇后观察黑豆皮黑色素提取物对子一代果蝇的繁殖及子二代果蝇的生长发育的影响。初步试验结果表明黑色素饲喂亲本果蝇后,能加快子二代果蝇幼虫的化蛹过程及增加子二代果蝇幼虫化蛹及随后羽化为成虫的数量。黑豆皮黑色素提取物饲喂果蝇后明显上调了果蝇体内自由基清除基因SOD1、SOD2及CAT的表达和抑制了长寿负调控基因MTH的表达。
关键词:黑豆皮 黑色素 抗氧化 果蝇 生长发育
1 研究背景及意义
随着人们生活水平的增长,人们对营养的要求不断提高,选择食品的着眼点已经从温饱型转向保健型。近年来,黑色食品作为新一代具有高营养价值和保健功效的健康食品进入人们的视线,常见的有黑豆、黑米、黑麦、黑芝麻、黑玉米、黑木耳、紫菜、海带等。
有研究表明,食物的营养品质与其种皮或果皮的天然颜色密切相关,一般来说食物的颜色愈深其营养价值愈高,且结构越平衡合理,其排列依次为黑、绿、红、黄、白,在同类食物中情况更加明显,如红薯优于白薯,黑米优于红米,黑豆优于黄豆等[1]。黑色食品之所以会有保健作用,是由于它们本身所含有的黑色素。黑色素是一种广泛存在于动植物和微生物中的非均质的类多酚聚合体。黑色素不是一种物质,而是有相同性质的一大类物质[2],且黑色食品中的天然色素一般集中在其种皮或果皮上。
黑豆又称黑大豆,是种皮为黑色的特殊类型的豆科植物,不仅营养丰富,而且药用价值较高,黑豆富含人体所需的18种氨基酸,其中包括8类必需氨基酸,含量高于黄豆;同时这也是其他黑色谷物所不能比拟的。在众多黑色食品中,黑豆算得上是佼佼者,其膳食纤维含量高出黑米约1倍。黑豆中所含黄酮及类黄酮化合物的量更是高于普通大豆5~7倍,且锌、铜、镁、钼、硒、磷等微量元素,维生素(其中E族和B族维生素含量最高,维生素E的含量比肉类高5~7倍),脂肪(以不饱和脂肪酸为主)以及粗纤维含量相当丰富[3、4],黑豆皮所含的黑色素具有很好的抗氧化作 用。
除了抗氧化和防止衰老等功能外,天然黑色素也可应用于食品工业中,如饮料、糕点、巧克力、果酱等,以替代人工添加剂;在化学工业上,作为合成黑色素的换代产品,也可替代黑发剂、防晒霜等。因此,将黑色食品中的黑色素更多更高效地提取出来并将其抗氧化作用更广泛地应用于人们的日常生活中,相信会对提高人类健康水平作出贡献。
生物衰老部分由于机体细胞长期产生游离自由基。正常细胞氧化代谢产生活性氧(Reactive oxygen species,ROS)也就是羟基自由基、超氧负离子和过氧化氢。普遍认为衰老是由于机体抗氧化能力下降所致。因此,机体自身具有两种抗氧化系统来清除活性氧,一种是机体自身产生一组包括过氧化物歧化酶(SOD)、谷胱甘肽过氧化物酶(GPx)以及过氧化氢酶(CAT)等抗氧化酶作为抗氧化的第一道屏障;另一种是外源摄入抗氧化物质,如维生素E和维生素C,这些物质可以作为第二道防御屏障来终止活性氧化反应,延迟衰老进程[5]。已有报道称MTH(methuselah)基因是一种决定长寿负调控的基因,研究表明MTH突变体果蝇比野生型果蝇长寿35%并且表现很强的抗氧化能力,但这一机理仍然未知[6]。
果蝇作为一种研究衰老的模式动物,因为其与人类一样有许多保守的生理途径和70%以上的已知致病基因[7]。另外,由于生命周期短,体小易操作,并且已知全基因组序列,因此果蝇作为衰老模式动物来研究有很多好处。人们普遍认为通过改善饮食可以延长寿命延缓衰老。一方面许多通过模式动物的研究表明限制热量的摄入可以延长寿命[6];另一方面,日常营养保健品的补充摄入也被认为可以延缓衰老[8]。在众多黑色食品中,学者对黑米、黑芝麻的研究颇多,而其他黑色食品(尤其是黑豆)相对比较冷门,而且现代人们对黑米、黑芝麻、黑木耳的食用非常多,对黑豆的了解与接触略少,故本文以黑豆皮为材料,对其黑色素粗提物清除DPPH自由基等抗氧化活性进行研究与分析,通过饲喂果蝇来研究其抗衰老功能,让黑豆也能和黑米、黑芝麻一样成为人们健康食品的首选。
2 实验仪器及材料
2.1 实验仪器
紫外分光光度计、研钵、恒温水浴锅、电子天平、漏斗、50目药筛、25mL容量瓶、100mL容量瓶、烧杯、滴管、冷凝管、圆底烧瓶、酒精灯、石棉网、铁架台、铁夹、烘箱、量筒、pH试纸、锥形 瓶。
2.2 实验材料
黑豆(市售)、DPPH(二苯代苦味酰肼)(化学纯)、无水乙醇(分析纯)、盐酸、蒸馏水、盐酸、镁粉、果蝇、氢氧化钠、乙醚,总抗氧化能力(T—AOC)测定试剂盒(中科院生化研究所提 供)。
3 实验方法
3.1 黑豆皮黑豆色素的提取
剥取黑豆皮烘干后于研钵中研磨后过50目筛(如图1A所示),称取1 g过筛后的粉末置于锥形瓶中,以1 :20(g :mL)加入20mL 60%乙醇(pH2.0)60 ℃下进行4次(每次1小时)的抽提(如图1B所示),经两层滤纸过滤后合并4次抽提液于60 ℃挥发去除乙醇,得到黑色素的粗提物粉末,最后配成100mg/mL、250mg/mL及300mg/mL的终浓度,于4 ℃避光保存。其总的提取流程为:黑豆皮、干燥、粉碎、浸提、过滤、定容、得黑豆色素、定容。

图1 黑豆皮黑色素提取
3.2 黑豆皮色素总黄酮的鉴定
用盐酸—镁粉还原反应进行定性分析,对黑豆皮色素提取物是否为黄酮类物质进行初步鉴别。取黑豆皮黑色素提取液,加入少量的盐酸和镁粉,在试管中加热振摇片刻,观察提取液的颜色变化。黄酮类化合物中,黄酮、黄酮醇、二氢黄酮及二氢黄酮醇类显橙红至紫红色,部分显紫色至蓝色,其他黄酮类化合物,除少数异黄酮外,都不显色。
盐酸—镁粉反应中,多数黄酮、黄酮醇、二氢黄酮及二氢黄酮醇化合物显橙红至紫红色,少数显紫色至蓝色。异黄酮类一般不显色。
3.3 黑豆皮黑色素总抗氧化能力测定
利用黑豆皮黑色素的抗氧化性,使Fe3+还原成Fe2+,后者可与菲啉类物质形成稳定的配合物,通过比色可以测出其抗氧化能力的高 低。
采用已确定的最佳提取条件对0.25 g黑豆表皮碎屑进行恒温水浴提取,将提取液定容至25mL容量瓶(提取液黑豆皮浓度为:10mg/mL)。按照总抗氧化能力测定试剂盒规定的步骤说明进行总抗氧化能力测定,按表1滴加试剂(试剂二配制:每支粉剂加蒸馏水120mL充分溶解;试剂三应用液配制:用试剂三黄色储配液与稀释液以1 :19比例稀释,现用现配)。
表1 总抗氧化能力测定试剂表

混匀后放置10分钟,蒸馏水调零1 cm光径,于520 nm下测定各管吸光度。根据以下公式计算总抗氧化能 力:

ODu——测定管吸光度值;
ODc——对照管吸光度值;
N——反应体系稀释倍数(反应液总体积/提取液体积)。
3.4 黑豆皮黑色素对DPPH自由基的清除试验
称取DPPH 0.0120 g,用无水乙醇充分溶解并定容至25mL容量瓶,得到浓度2×10-3mol/L的DPPH乙醇溶液,使用时稀释20倍。
采用已确定的最佳提取条件1 g黑豆皮碎屑进行恒温水浴提取,并将提取液定容至100mL容量瓶(提取液黑豆皮浓度为:10mg/mL)。分别将提取液稀释0倍(10mg/mL)、1倍(5mg/mL)、2倍(10/3mg/mL)、3倍(2.5mg/mL)、4倍(2mg/mL),每种浓度提取液取0.1mL于5支试管中,分别每管加入浓度1×10-4mol/L的DPPH乙醇溶液3.9mL,混匀后静置30分钟,于517 nm下以无水乙醇为空白对照测其吸光度值,并按以下公式计算黑豆皮黑色素对DPPH自由基的清除率:

其中ODu表示3.9mL DPPH乙醇溶液与0.1mL提取液的混合液的吸光度值,ODo表示3.9mL蒸馏水与0.1mL提取液的混合液的吸光度值,ODc表示3.9mL DPPH乙醇溶液与0.1mL蒸馏水的吸光度值(对照管)。
3.5 黑豆皮色素对果蝇生长周期的影响
将黑豆皮黑色素粗提物稀释后加入果蝇培养基,浓度分别为2、10、15、20、30、40、80mg/mL,并设置空白对照(如图1C所示)。培养基厚度为1~2 cm,备用(如图1D所 示)。
25 ℃下,将获得的果蝇卵每10只放入一支试管内,每个浓度3支试管(若果蝇羽化后,有试管为全部雌性或全部雄性,可做少许调整,使用乙醚麻醉,让每支试管内雌雄比例恰当)。当看到有子一代幼虫爬出时,就要转移出亲代果蝇,新羽化的成虫(雌虫为处女蝇)用于下一批实验。
重新配制一批相同浓度梯度试管,重复3支,从上述试管中新羽化的成虫中分别挑取两只雄虫和两只雌虫(雌虫为处女蝇)接入新配制的相应浓度的试管中,使其自然交配产卵,5天后去除成蝇。观察幼虫化蛹、羽化以及成虫的寿命。然后可继续观察子一代产卵时间、羽化时间、寿命、子二代孵化时间等。
3.6 基因表达检测
根据初步实验结果,选取对照处理和40mg/mL的黑豆皮粗提物处理的果蝇分别在0、15、30、50天时取20只果蝇提取总RNA。将果蝇(n=20)于800 μL TRIzol(Invitrogen)中充分研磨,4度12000 g离心10分钟。将上层清液转移至新离心管中,加入160 μL氯仿,并充分混匀,4度12000 g离心15分钟。转移上层清液,加入400 μL异丙醇。室温放置10分钟,4度12000 g离心10分钟,沉淀用1mL 75%的乙醇洗涤后离心,倒掉乙醇。最后用25 μL DEPC处理水溶解RNA。使用分光光度计在260 μm和280 μm测量RNA的纯度和浓度。使用商业化的cDNA反转录试剂盒按说明书要求合成cDNA,并储存于-20 ℃。
检测的基因包括SOD1(NCBI登录号NM_057387.3)、SOD2(NCBI登录号NM_057577.2)、CAT(NCBI登录号NM_080483.2)、MTH(NCBI登录号NM_079147.2),根据序列合成引物。基因表达的最终数据是根据果蝇组成性看家基因rp49作为内参计算后获得的。
4 结果
4.1 黑豆皮黑色素提取
黑豆皮黑色素经60%乙醇抽提后,最后用蒸馏水溶解后至终浓度100、250和300mg/mL(如图2所示),储存于4 ℃冰箱中避光保存备用。高浓度的黑色素提取液为深紫色,低浓度提取液为淡黄 色。
盐酸—镁粉反应中,溶液明显变深紫色,并可见少许蓝色反应,可初步推断提取液中含有黄酮类。

图2 黑豆皮黑色素粗提物
4.2 黑豆皮黑色素总抗氧化能力测定
对不同浓度黑豆皮提取液的总抗氧化能力进行测定,试验结果见表2。
表2 不同浓度黑豆皮黑色素的总抗氧化能力

由表2可看出,黑豆皮黑色素的总抗氧化能力随着提取液浓度的增加有上升趋势,对这两组数据进行相关性分析,得到总抗氧化能力与提取液浓度的相关系数为0.9998,说明两者具有极高的相关性。
4.3 黑豆皮黑色素对DPPH自由基的清除试验
对不同浓度黑豆皮提取液清除DPPH自由基活性进行研究,试验结果见表3。
表3 黑豆皮黑色素对DPPH自由基的清除率

由表3可看出,随着提取液浓度的升高清除率呈明显上升趋势,不同提取液浓度之间清除率存在极显著差异(P<0.01)。当提取液的浓度为2.50mg/mL时,黑豆皮黑色素对DPPH自由基的清除率就已超过50%。
4.4 黑豆皮色素对果蝇生长周期的影响
将黑豆皮黑色素粗提物稀释后加入果蝇培养基,配成不同浓度梯度的提取物培养基饲喂果蝇成虫,并取子一代果蝇在同一处理下自然繁殖后观察子一代成虫产卵情况以及子二代幼虫化蛹、羽化情况和生长周期的长短。
果蝇的生活周期包括:卵→一龄幼虫→二龄幼虫→三龄幼虫→蛹→成蝇。三龄幼虫成熟后会爬到试管壁上化蛹,然后羽化为成蝇。初步试验发现,加入黑色素提取物的处理管中,幼虫化蛹时间明显提前,并随着浓度的升高幼虫化蛹数量明显增加,并且在第24天后羽化成虫数量明显增多(如图3和表4所示)。
表4 黑豆提取物饲喂果蝇后对子一代化蛹和羽化发育的影响


图3 不同处理子一代果蝇产卵后6天幼虫化蛹比较
4.5 基因表达
从RT-qPCR(如图4所示)的基因表达结果可以看出,同对照处理相比,黑豆提取物饲喂果蝇15天后SOD1基因被极大地上调表达,而SOD2和CAT基因在处理50天才被上调表达;MTH基因在提取物处理30天后同对照处理相比有明显的下调表达。
由此说明,黑豆皮粗提物能有效地诱导自由基清除基因的表达,并且抑制长寿负调控基因MTH的表达。
5 讨论
目前制取黑色素一般有两种方法,一是从粮食种皮如黑豆、黑芝麻、黑麦等或者动物毛发、表皮中分离提取(化学提取),该提取方法简便易行,成本低,但纯度不高;二是从酵母菌体中分离制取(生物提取),该方法提取出的黑色素纯度高,但提取菌种分离困难、设备复杂、投资巨大。本试验将采用黑色食品表皮提取法对黑豆皮中所含黑色素进行提取。
黑色素属于水溶性色素,易溶于水、醇、盐酸等溶液,不溶于乙醚等有机溶剂[2],故本试验黑色素的提取宜用水或醇类提取剂提取。经试验表明,黑色素在水和稀酸溶液中的溶解度低于在醇中的溶解度,又因甲醇对身体不利,而乙醇无毒无害,且成本又低,因此试验采用乙醇溶液作为提取剂。
黑豆皮黑色素的稳定性研究表明,其色素耐热能力较强,但应尽量避免高于80 ℃条件的长时间加热;黑豆色素在酸性、避光条件下稳定性好,呈现鲜艳的深玫瑰红色。这两项研究在本试验中对黑色素的提取及提取液的储存有很大提示作用,选择黑色素提取温度时可以80 ℃为上限,储存时可将提取液置于冰箱中避光保 存。
很多关于黑色素抗氧化的研究都指出,黑色素能有效清除羟自由基(·OH),清除活性氧自由基以及清除二苯代苦味酰基自由基(DPPH·)。本试验对其清除二苯代苦味酰基自由基(DPPH·)的活性及总抗氧化能力进行研究。试验表明,从黑豆皮提取出的黑色素具有很强的总抗氧化能力和较高的清除DPPH自由基活性。经过相关性分析还发现,黑豆皮提取液的浓度与黑豆皮黑色素的总抗氧化能力具有很高的相关性,说明黑豆皮黑色素的总抗氧化能力由黑豆皮中黑色素的浓度决定。
基因表达实验结果显示,以黑豆皮粗提物饲喂果蝇后,SOD1、SOD2、CAT基因的表达被上调了,而长寿负调控因子MTH基因被下调了。但是这些基因被上调或下调均在饲喂15天,甚至30~50天后,至少说明这些內源的抗氧化酶基因的调控或多或少是由于黑豆皮提取物的诱导。我们使用的是real-time PCR方法来鉴定基因的表达差异,与组成性表达的Rp49基因相比,这种方法能非常灵敏地反映微量的基因表达差异。

图4 黑色素粗提物提取物饲喂果蝇后SOD1、SOD2、CAT和MTH基因的表达差异
长期食用含有人工合成抗氧化剂的食品,可以影响人体健康,植物来源的食品添加剂越来越受人们喜爱。植物来源的食品添加剂,特别是植物黑色素,不仅可以作为食品色素,还具有保健和治疗疾病的功能,因此此类添加剂的合成越来越受研究人员的关 注。
现在,黑豆正越来越多地出现在餐桌上,随着人们对黑色食品的青睐和黑色食品餐饮业的繁荣,作为主角的黑豆及其饮品必将占领未来的食品市场。此外,对黑豆的研究也正不断深入,这一领域也必将取得更大的突破,黑豆无论作为功能食品还是药品的开发,都具有非常广阔的前 景。
之前有报道科学家利用免疫突变小白鼠来研究番茄红素的抗衰老功能,对黑色素的抗氧化和抗衰老功能,由于受实验条件和经费、场地限制,我们无法使用小鼠来进行实验,因此我们联系了中科院生化所果蝇研究平台,向他们咨询了是否可以用有免疫缺陷的果蝇进行实验,但是他们没有,所以笔者只好使用了野生型的果蝇进行抗衰老试验。初步的实验结果显示,黑豆皮黑色素提取物能促进处理后子二代果蝇幼虫的化蛹过程,同对照组相比在同一处理时间点能增加幼虫化蛹的数量,并且这种促进和增加作用是随着黑色素提取物处理浓度的增加而加强。同时黑色素提取物还能增强子一代的繁殖能力以及促进子二代果蝇的生长发育。这一现象是否因提取物中营养丰富加速果蝇生长以及未来是否会因加速生长而缩短寿命抑或延长寿命还需要进一步的研究实验。
参考文献
[1]王红育,李颖.黑色食品的研究现状与发展前景[J].安徽农业科学,2007,35,(8):2397—2398.
[2]陈雪峰,苏桂锋,周庆礼.我国黑色素微生物资源的研究现状[J].食品工业科技,2008,(6):318—319.
[3]王敏,李丹,李荣和等.黑豆营养价值及功能特性应用的研究与进展[J].2008,18,(1):104—106.
[4]丛建民.黑豆的营养成分分析研究[J].食品工业科技,2008,(4):262—264.
[5]Willis,L.M.;Shukitt-Hale,B.;Joseph,J.A.Modulation of Cognition and Behavior in Aged Animals:Role for Antioxidant—and Essential Fatty Acid-rich Plant Foods.Am.J.Clin.Nutr.2009,89,1602S—1606S.
[6]Lin,Y.J.;Seroude,L.;Benzer,S.Extended Life-span and Stress Resistance in the Drosophilamutantmethuselah.Science 1998,282,943—946.
[7]McCay,C.M.;Crowell,M.F.;Maynard,L.A.The Effect of Retarded Growth upon the Length of Life and upon the Ultimate Body Size.J.Nutr.1935,10,63—79.Piper,M.D.;Bartke,A.Diet and aging.Cellmetab.2008,8,99—104.
[8]孙芸,徐宝才,谷文英.葡萄籽原花青素抗氧化作用的研究[J].中国粮油学报,2007,22,(6):129—133.
氮素水平对小麦幼苗性状的影响
董哲宇
(同济大学第二附属中学,上海,200060)
摘要:小麦是一种在世界各地广泛种植的禾本科植物,是人类的主食之一。目前农业生产中氮肥的施用量明显超量,不仅造成经济损失,同时也对环境造成污染。合理施加氮肥对提升小麦产量与质量有着重要的意义。不同氮素水平对小麦幼苗的性状有着不同的影响,找出最佳氮素水平是提升肥料科学性及促进小麦幼苗实现最佳生长状况的重要途径。通过本课题研究发现施加氮肥可以促进小麦幼苗的生长,并且施氮量控制在0.27 g/kg时小麦幼苗的生长发育情况以及对其他营养元素的吸收情况较好,但对钾的吸收有所减少,因此在这一施氮量时应适当增加钾肥和磷肥。本课题期望为小麦种植者提供可行的参考。
关键词:氮素水平 小麦幼苗 性状 影响
小麦是一种在世界各地广泛种植的禾本科植物,是人类的主食之一,提升小麦种植的产量,是小麦的种植者和栽培者的共同目标。在追求小麦高产的栽培过程中,合理的施用氮肥是十分重要的措施。施用氮肥对小麦的生长和产量具有直接的影响[1]。但是,大多数小麦的种植者并没有掌握科学施用氮肥的方法,超量的情况比较多见[2],这不仅导致了小麦多种病害的发生,同时,也造成了一定的经济损失,减低了氮肥的施用效果,污染了地下水[3]。因此,科学合理地施用氮肥是当前小麦种植中的一个不可忽视的问题,也是为社会提供安全粮食,保护生态环境的重大措施之一[4]。基于此,本课题探究了氮素水平对小麦幼苗性状的影响。通过总结氮素水平对小麦幼苗性状的影响,正确指导小麦种植者科学合理地施用氮肥,努力减轻氮肥的不合理施用对小麦质量、生态环境等造成的不良影响。
1 材料与方法
1.1 试验时间
2013年4~8月。
1.2 实验材料
小麦品种为苏麦6号。
1.3 试验方法
本试验设计5个施氮量等级,每个等级的施氮量从低到高分别是0、0.13、0.20、0.27、0.33 g/ kg,其中0 g/kg组为对照组。采用盆栽法栽培小麦幼苗,所用土壤从上海某实验中心试验田选取,其中有机质含量约为10.74 g/kg,全氮为0.84 g/kg,速效磷(P2O5)为34.29mg/kg,速效钾(K2O)为89.83mg/kg,所有土壤均经风干、压碎、过筛搬运后使用,所用盆的直径为30 cm,高为26 cm,底部无孔,每盆栽10株。将所有盆栽置于光照培养箱中,浇水量和浇水次数相 同。
栽植后第7天、第14天和第21天从每盆中选取2株幼苗测量其株高、茎基宽、茎叶鲜重和干重以及叶绿素含量。叶绿素含量的测定采用叶绿素汁测定;将样品烘干并进行浓硫酸—过氧化氢消化处理后采用凯氏法测N,钒钼黄比色法测P,火焰分光光度法测K。
2 结果分析
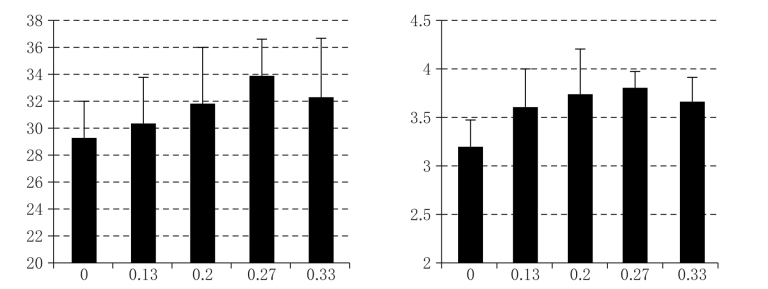
2.1 氮素水平对小麦幼苗株高和茎基宽的影响
表1 不同氮素水平对小麦幼苗性状的影响

通过观察发现(如图1和表1所示),随着小麦的生长,株高不断增大,随着施氮量的增加,小麦幼苗株高的变化呈先增高后降低的趋势,说明不同氮素水平对小麦幼苗的株高有着显著的影响,通过收集分析实验数据发现,0.27 g/kg处小麦幼苗株高最高;茎基宽方面的变化与株高的变化相似,即随着施氮量的增加先变大后减小,通过数据分析可见氮素水平对小麦幼苗茎基宽有显著影响,且0.27 g/kg组小麦茎基宽最大。

图1 不同施氮量对小麦幼苗株高和茎基宽的影响
2.2 氮素水平对小麦幼苗分蘖数的影响
随着小麦幼苗的生长,分蘖不断增多。通过观察对照组和实验组发现,随着氮素水平的增加(如图2和表1所示),小麦分蘖数随之增加,通过分析实验数据发现0.33 g/kg组小麦分蘖数最多,相当于对照组的2倍左右,且通过数据分析发现小麦的分蘖数与施氮量呈正线性相关。

图2 不同施氮量对小麦幼苗分蘖的影响
2.3 氮素水平对小麦幼苗茎叶鲜重、干重的影响
通过测量小麦幼苗茎叶鲜重和干重发现(如图3和表1所示),前4组小麦茎叶鲜重与干重依次增大,经数据分析各组之间的差距均达到了显著水平,而0.33 g/kg施氮量与0.27 g/kg施氮量的小麦茎叶鲜重与干重相比无明显增加。可见,小麦幼苗茎叶的鲜重和干重在氮素水平低于0.27 g/kg的情况下随着氮素水平的提高而增大。

图3 不同施氮量对小麦茎叶鲜重和干重的影响

图4 不同施氮量对小麦叶绿素含量的影响
2.4 氮素水平对小麦幼苗叶片叶绿素的影响
通过实验发现施氮量的增加使叶绿素的含量随之增加(如图4和表1所示),通过数据分析可看出叶绿素含量与施氮量间呈正相关关系,可见施加氮肥有助于增加小麦幼苗叶片中叶绿素的含量。
2.5 氮素水平对小麦幼苗氮、磷、钾含量的影响
通过对各组小麦幼苗氮、磷、钾含量的测定发现(如图5和表1所示),小麦茎叶中的氮含量随施氮量的增加而增大;小麦茎叶中的磷含量随着施氮量的增加而呈现先增大后减小的趋势,其中0.2 g/kg组和0.27 g/kg组的磷含量最大;钾含量的变化与磷含量的变化规律相似,各组小麦茎叶中0.13 g/kg组的钾含量最高,其他施氮量组小麦茎叶的钾含量依次降低。以上结果说明,施加氮肥有助于小麦幼苗对磷和钾的吸收,但过量施加则会抑制小麦幼苗吸收磷和钾元素。

图5 不同施氮量对小麦幼苗氮磷钾的影响
3 总结
通过本次试验发现,施加氮肥可以显著促进小麦幼苗的生长发育,表现在株高的增加,茎基宽的增大,鲜重与干重的增加以及分蘖数的增加等方面,以上指标均是确保小麦产量与质量的重要基础。此外,通过实验我们可以看出,适量的氮肥能够有效优化小麦幼苗的性状,但过量的氮肥也会抑制小麦的生长发育,最终造成小麦减产。在本次试验条件下,可发现施氮量控制在0.27 g/kg时小麦幼苗的生长发育情况及对营养元素的吸收情况较好,但对钾的吸收有所减少,因此若将施氮量控制在这一水平时,应适量施加钾肥和磷肥,以促进植株鲜重与干重的进一步增加。
参考文献
[1]赵鹏.氮锌配施提高冬小麦产量和品质[J].农家顾问,2013,(9):32.
[2]解树斌,薛春芝,李春,等.氮肥运筹对垄作小麦生理特性和产量的影响[J].山东农业科学,2013,45,(8):86—89.
[3]徐红梅,丛建红,陆亚云,等.小麦精确施氮试验总结[J].现代化农业,2013,(8):12—13.
[4]扶艳艳,苗艳芳,徐晓峰,等.氮肥形态对冬小麦干物质积累与产量的影响[J].河南大学学报:自然科学版,2013,34,(5):74—77.
木槿提取物对小白鼠的毛发生长作用的研究
葛逸飞,冯文卿,吴仁杰
(同济大学第二附属中学,上海,200060)
摘要:将采自长风公园内的木槿叶晒干、研磨成粉末,以石油醚为溶剂提取木槿中的有效成分,利用小白鼠为模式生物研究木槿石油醚提取物对毛发生长的影响。不同浓度的提取物处理剃毛的小白鼠皮肤,在第10、15、20天时分别拔取剃毛区域的毛发,并测量毛发的生长长度,剥离处理皮肤进行固定切片观察毛囊发育情况。从处理结果可以看出,同对照和章光101生发剂及商品化的木槿水提取物相比,木槿叶的石油醚提取物能有效地促进小白鼠毛发的生长,促进了小鼠皮肤组织中毛囊的生长发育。
关键词:木槿提取物 毛发生长 毛囊 促生长
随着人们生活水平的提高,来自各方面的需求和压力也与日倍增。又值秋季,到了一年中掉头发最多的时候,然而经常听人抱怨一年四季都在掉头发,而且掉很多。掉头发在一定的量是正常的,但是超过一定的量就是一种亚健康的表现,而原因可能来自外界的因素,如过度的烫染、生病或内分泌紊乱而产生掉发,也可能来自心理。总之,现在的趋势是越来越多的人处在掉发困扰中。
有问题就会有机会,现在市面上也不乏一些洗护产品称有抑制脱发和生发的效果,然而,洗发水等护理产品化学添加剂非常多,有十二烷基硫酸盐等表面活性剂用来洗净头发,硅油等让头发顺滑,有机酸来调节pH值,还有各种防腐剂来延长保质期。在洗净头发的同时,很可能会给头发带来“二次污染”。目前各种植物源的洗发、护发及生发产品的开发与研究也越来越多。中药应用于脱发性疾病的治疗也有悠久的历史,但机制尚不明确。相传古人常用皂角、猪苓、淘米水来洗头,民间也常用木槿叶来润发,效果都非常好。那么木槿叶这种天然的洗发护发产品能不能加快头发生长的作用呢?
木槿别名朝开暮落花、篱障花、鸡肉花、白饭花。属锦葵科木槿属的落叶灌木或小乔木,株高3~6米,花色有浅蓝紫色、粉红色或白色之别,花期6~10月。木槿花含肥皂草甙,系一种黄酮甙,并含异牡荆素。此外,尚含有皂甙及黏液质。木槿花清热凉血,解毒消肿。治痢疾、痔疮出血、白带、疮疖痈肿、烫伤。木槿叶有一定的去污能力,已有人制成木槿叶添加稻草灰的洗发水。本课题就木槿叶石油醚提取物对小白鼠毛发生长和对小鼠皮肤毛囊生长发育产生影响进行研究,努力为天然生发剂的研制提供基础。
1 材料与方法
1.1 实验仪器与设备
索氏抽提器购自上海禾汽玻璃仪器有限公司;奥林巴斯数码生物显微镜,购自上海外海生物科技有限公司;超净工作台;生化培养箱;解剖显微镜;研钵、水浴锅、动物剃毛器、培养皿、微量移液器、镊子、记号笔等。
1.2 实验试剂、设备与试验动物
石油醚、液体石蜡、乙醇、二甲苯、苏木槿—伊红染色液。章光101生发产品:毛囊滋养液(浙江章光101有限公司)。木槿叶水提物购自淘宝网。索氏抽提器,水浴锅。
实验动物:小白鼠(上海斯莱克实验动物有限责任公司)。
木槿叶采自长风公园内种植的植株。将新鲜采集木槿的叶在烘箱内烘干(温度为65 ℃左右),研磨成均匀粉末,装在密封容器中,存放在室温下。
1.3 木槿叶提取
提取时,将干燥的木槿叶粉末用索氏抽提器进行抽提,提取溶剂使用石油醚,提取温度控制在60 ℃~80 ℃。在减压蒸馏浓缩使溶剂减少后,对提取物称重。将木槿叶的产量控制在3%~5%(质量比)。然后取1 g提取物溶入100mL液体石蜡中,制成含1%活性化合物,为体外研究毛发生长做准备。
1.4 残留石油醚的检测
用多气体检测仪(MX6 iBridTM)对提取物残留的石油醚进行检 测。
1.5 小白鼠毛发生长活性体内检测
取20~22g的雄性小白鼠38只,正常喂饲料和水。随机分成A、B、C、D、E、F、G七组,A、B、C、D、E组各6只,F和G组各4只。在每只小白鼠背上用剃刀剔去一块4 cm2的毛发,并用75%乙醇擦拭。在A、B、C、D、E、F、G组,每天为小白鼠剔去毛发的地方涂上之前准备的液体石蜡,A组涂上含1%叶提取物的液体石蜡;B组涂上含2%叶提取物的液体石蜡;C组涂上含5%叶提取物的液体石蜡;D组涂上木槿水提物;E组涂章光101毛囊滋养生发剂原液;F组涂上纯石蜡;G组不处理,持续20天,并每天观察。
1.6 小白鼠毛发生长活体观察
在剃毛第10、15、20天时,每个处理选取几只老鼠,随机拔下剃毛区的毛发,取16根测量长度、计算平均值,并用平均值±标准差形式表示。
1.7 小白鼠毛发生长定量分析
取处理20天各组小白鼠一只脱颈椎处死,从其背部取一块皮肤,置于4%多聚甲醛溶液中,常温固定,不同浓度酒精脱水后,组织进行石蜡包埋,用切片机对皮肤组织进行横切片。切片进行苏木槿—伊红染色,数码显微镜下观察、拍照。
1.8 统计学处理
采用Excel2007软件进行统计学处理,对资料进行描述,用方差分析对组间资料进行分析。
2 结果与分析
2.1 木槿叶提取物制备
我们从长风公园内采集的木槿叶在水中洗去叶片表面的灰尘等杂质后,放入烘箱65 ℃快速烘干后用食品研磨机打磨成粉末状。如果不能及时提取则密封储存于室温。

图1 木槿叶粉末用滤纸包裹后装入索氏抽提器
提取时称取木槿叶粉末装入叠成袋状的滤纸中,置于索氏抽提器中进行抽提(如图1所示)。
2.2 石油醚残留的检测
由于石油醚(petroleum ether)在药物的研发中是一种常用溶剂,还没有足够的资料证明具有强的毒性。通过使用多气体检测仪对60 ℃水浴加热的石油醚提取物的挥发性有机物进行检测,其PID指数为0 ppm(如图2所示),说明未检测到挥发性有机物。

图2 多气体检测仪对提取物残留进行检测
2.3 小白鼠毛发生长检测
剃毛区的毛发在处理10天后就可以观察到明显的生长,并且在我们20天的观察过程中都在不停地生长。对处理后10天、15天、20天分别从每组随机拔取不同小鼠背部处理区域16根毛发,然后在数码显微镜下利用软件测量毛发的长度(如表1所示),并拍照记录数据。从毛发生长检测结果(如图3所示)可以看出,在处理20天后,各处理组小白鼠毛发均有不同程度的生长。与对照组相比,其余六组处理都具有不同程度的生发作用(其中,我组组员认为:纯石蜡组最初毛发生长高于空白组的原因是:涂抹按摩促进血液循环,同样有利于毛发生长,到20天时,石蜡处理的毛发生长几乎同空白处理相同)。生发的最终效果为:5%木槿石油醚提取物>2%木槿石油醚提取物>章光101>木槿水提取物>1%木槿石油醚提取物>液体石蜡。
表1 不同处理后的毛发长度

从表1的毛发长度结果可以看出,在处理10天后,5%的木槿叶提取物处理后毛发生长最为明显,为6350 μm,甚至高于章光101约54%,促进效果非常明显,这种促进作用一直持续到处理后的20天。木槿叶水提物也有一定的毛发促生长效果,并且处理效果同木槿叶1%石油醚提取 物。

图3 不同处理后的毛发长度
此外,同对照组相比,其他处理组在20天后毛发几乎覆盖了整个剃毛区(如图4B和C所示),而空白对照小白鼠的剃毛区毛发较稀疏(如图4A所示)。而从我们的木槿叶石油醚提取物处理结果可以看出,促进毛发生长的效果随着浓度的升高而增强。
2.4 小鼠毛发生长的定性研究
小鼠剃毛后毛发生长开始的时间和完全覆盖剃毛区的时间随着处理的不同而表现为极大的不同。5%木槿叶提取物在第5天时就可以明显看见毛发生长,并随着处理浓度的降低毛发生长起始时间也在推迟(如表2所示)。
2.5 小鼠毛发生长的定量研究

图4 处理20天后小白鼠剃毛去毛发生长图
A:为空白处理小白鼠;B:为章光101处理小白鼠;C:为5%木槿叶石油醚提取物处理
表2 毛发生长的情况记录


图5 处理20天后皮肤切片图
A:为空白处理;B:为章光101处理;C:为5%木槿叶石油醚提取物处理
从小鼠处理后20天皮肤切片可以看出(如图5所示),与对照相比,章光101处理和木槿提取物的处理都增加了小鼠皮肤中毛囊的数量以及增大了毛囊的密度,而5%木槿叶石油醚提取液的处理表现出更高的毛囊数量和密度,更进一步验证了前面毛发长度的结 果。
3 讨论
现在市面上比较流行的生发产品主要有两类,外用的米诺地尔类药物以及美国FDA认证的口服非那雄胺类激素化合物。而外用的米诺地尔类药物需要添加大量的其他化合物(如一种钾离子通道开放剂等)才能发挥高效生发作用(Spindler,1988),因此会导致很多不利的皮肤问题,如瘙痒、干燥、产生皮屑、局部红肿和疱疹等(Spindler,1988)。接受了非那雄胺治疗一年的患者仅有48%的被观察到头发再生,服用非那雄胺的患者通常耐受性良好,但也有一些因服用该药导致性激素异常而停止治疗,此外非那雄胺并不表示用于女性患者(McClellan等,1999)。
我们使用不同浓度木槿叶石油醚提取物及生发产品章光101对小白鼠剃毛区进行涂抹处理20天,第10天包括空白处理,我们都可以观察到所有的处理的小白鼠剃毛区均有不同程度的毛发生长。同空白处理相比,其他处理包括液体石蜡处理,小白鼠剃毛区的毛发均已完全覆盖整个剃毛区。我们推测这可能由于处理时对皮肤的按摩作用促进了局部皮肤区域的血液循环,从而促进毛发的生长。到20天时,石蜡处理后的毛发生长同空白处理几乎相同,而其他处理明显比石蜡处理的毛发生长更有促进作用。
我们的实验结果只能说明木槿叶石油醚提取物能促进毛发的生长,而很多研究毛发促生长药物都是需要进行毛囊体内实验的。Inaoka等(1994)研究了80多种草本植物甲醇提取物的生发作用,他们报道了其中18种对小鼠毛发有明显的促生长作用。另外有报道称用羽芒菊乙醇提取物的石油馏分对小白鼠口服和体外涂抹处理后有明显的毛发促生长作用(Saraf等,1991)。另外有研究表明银杏叶70%的乙醇提取物能有效促进毛发生长并且可以用作加工洗发水(Kabyashi等,1993)。但是,还没有任何研究报道这些提取物促进毛发生长的作用机理。因此,我们只能得出木槿叶的石油醚提取物能促进毛发的生长,并且可以用来添加制作洗发、护发的产 品。
此外,我们发现木槿叶石油醚提取物和章光101处理的皮肤毛发长势明显浓密,而其他处理的毛发较稀疏。可能由于木槿叶石油醚提取物促进了皮肤的毛囊生长,增加了每个毛囊中毛发生长的数量。说明我们制备的木槿叶提取物的作用同章光101毛囊滋养液的作用类似。
一方面,我们曾尝试体外毛囊培养处理试验,但是始终不成功,原因可能是培养基选择不当,有研究表明Williams’E无血清培养基效果更好;另一方面,实验室培养条件不适宜毛囊生长。一般动物细胞需要二氧化碳培养箱。最后还有可能是我们毛囊剥离技术不够成熟。在课题研究过程中,我们也多次想要解决这个问题,查阅了大量文献及参考资料,并咨询相关专家,专家建议做皮肤切片实验来观察毛囊的发育。从我们处理后的切片可以发现,同对照组相比,木槿5%提取液处理后毛囊的数量明显增多,毛囊生长的密度明显增大。章光101作为一种市面上畅销的生发产品,其生发效果毋庸置疑,但从我们的实验结果可以看出,其生发效果仅仅相当于木槿2%提取液,这可能由于木槿提取液中含有雌激素类成分(张辛华等,2008),雌激素可以延长毛发生长期因而促进毛发的生长。木槿提取物还可能会影响雄性激素的代谢(Sukirti等,2012)。雄性激素分泌过多是造成脱发的主要原因,雄性激素能降低女性体内的睾丸酮含量(Sukirti等,2012),因此木槿提取物有可能是通过调节激素的方式促进毛发生长。本研究发现木槿提取物能明显促进小鼠毛发生长,并能增加毛囊的数量和密度,但是仍然需要进一步研究,如用皮肤细胞的免疫组织化学研究等来阐释毛发促生长的机制。
4 结论
在我们的实验浓度内可以得出以下结论:
4.1 木槿油脂提取物对毛发生长有促进作用;
4.2 木槿油脂提取物的浓度越高,对毛发生长促进作用越好;
4.3 5%木槿油脂提取物的效果比章光101好。
相比较现有的商品化的生发液有很多化学物质和激素类物质等会导致一些副作用,木槿提取物具有强大的开发前景,首先木槿提取物是纯天然草本提炼的精华而受到大众喜爱,其次不会产生副作用,使用安全,而且效果明显。
5 致谢
非常感谢华师大基地的高良才老师在实验方法和皮肤组织切片实验中给予的指导和帮助。
参考文献
[1]张辛华等.木槿应用研究进展[J].北方园艺,2008,(10):74—77.
[2]薛芬,赵章光,赵胜霞,陈娟,王爽,李引乾,秦金淼,黄颖花.章光101生发系列产品对C57BL/6J小鼠触须毛囊体外培养的研究[J].延安大学学报(医学科学版),2009,(7),7—9.
[3]梁志为,谭谦,林子豪.游离毛囊培养与毛囊组织工程的试验研究进展[J].中华整形外科杂志,2004,20,(1):66—68.
[4]田庆均,孔庆云,芦宗正.毛囊的体外培养与中药对其影响的研究进展[J].医药导报,2007,26,(3):276—277.
[5]赵玉磊,范卫新.中药黄芪、女贞子、人参促毛发生长的在体研究[J].临床皮肤科杂志,2003,32,(6):321—322.
[6]薛瑛,屠军波.促毛发生长药物研究进展[J].中国美容医学,2004,13,(5):620—623.
[7]张兴洪,范卫新.何首乌、女贞子等中药煎剂对体外培养的猪毛囊毛发生长的影响[J].中华皮肤科杂志,2005,38,(2):102—104.
[8]刑喆,屠军波.毛囊体外研究现状[J].中国美容医学,2004,13,(5):626—628.
[9]孙宇,涂平,武玲慎,等.野山楂、女贞子、猪苓和白芨提取物混合剂对鼠毛生长影响的研究[J].临床皮肤科杂志,2005,34,(3):147—150.
[10]屠军波,杨壮群,姚天华,等.游离毛囊体外培养模型构建及形态学检查的实验研究[J].中国美容医学,2003,12,(6):565—568.
[11]崔志峰,赵晶,王慧,郝志茹,张兆远.不同培养基对山羊毛囊体外培养的影响研究[J].山东大学学报,2008,43,(5):1—5.
[12]杨珂,姜自林,杨恬.大鼠毛囊干细胞的体外分离培养及增强型绿色荧光蛋白示踪[J].中国组织工程研究与临床,2008,12,(8):1481—1484.
[13]Uno,H.,Kurata,S.Chemical Agents and Peptides Affect Hair Growth. Journal of Investigative Dermatology,1993(101),143S—147S.
[14]Westgate,G.E.,Gibson,E.T.,Kealey,T.,Philpott,M.P.Prolongedmaintenance of Human Hair Follicles in Vitro in a Serum Freemedium.Journal of Investigative Dermatology,1991(96),1001.
[15]Philpot,M.P.,Green,M.R.,Kealey,T.Human Hair Growth in Vitro.Journal of Cell Science,1990(97),463—471.
[16]Philpot,M.P.,Green,M.R.,Kealey,T.Rat Hair Follicle Growth in Vitro.British Journal of Dermatology,1992(127),600—607.
[17]Saraf,S.,Pathak,A.K.,Dixit,V.K.Hair Growth Promoting Activity of Tridax Procumbens.Fitoterapia,1991(62),495—498.
[18]Inaoka,Y.,Shakuya,A.,Fukazawa,H.,Ishida,H.,Nukaya,H.,Tsuji,K.,Kuroda,H.,Okada,M.,Fukushima,M.,Kosuge,T.Studies on Active Substances in Herbs Used for Hair Treatment. I. Effects of Herb Extracts on Hair Growth and Isolation of an Active Substances from Poluporus Umbellatus.F.Chemical & Pharmaceutical Bulletin,1994(42),530—533.
[19]Saraf,S.,Pathak,A.K.,Dixit,V.K.Hair Growth Promoting Activity of Tridax Procumbens.Fitoterapia,1991(62),495—498.
[20]Kabyashi,N.,Suzuki,R.,Suzuki,T.Effect of Leaves of Ginkgo Biloba on Hair Regrowth in C3H Strainmice.Yakugaku Zasshi,1993(113),718—724.
[21]Spindler JR.The Safety of Topicalminoxidil Solution in the Treatment of Pattern Baldness:The Results of a 27-center trial,Clin Dermatol,1988;6:200—212.
[22]McClellan,J.Karen,Markham,Anthony.Finesteride. A Review of its Use inmale Pattern Hair Loss.Drugs 1999;57(1):111—126.
[23]Sukirti Upadhyay,Ashoke K.Ghosh,Vijender Singh.Hair Growth Promotant Activity of Petroleum ether Root Extract of Glycyrrhiza Glabra L(Fabaceae)in Female Rats.Tropical Journal of Pharmaceutical Research,2012;11(5):753—758.