8.4 卡平方(x
2)测验
一、卡平方(x2)概念
为了便于理解,现结合一实例说明x2统计量的意义。菠菜雌雄株的性比为1 :1,今观测200株菠菜,其中有92棵雌株,108棵雄株。按1 :1的性比计算,雌、雄株均应为100株。以O表示实际观察次数,E表示理论次数,可将上述情况列成表8-2。
表8-2 菠菜雌雄株实际观测株数与理论株数的比较

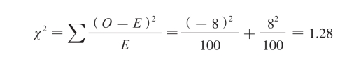
上表中看到,实际观察次数与理论次数存在一定的差异,这里雌雄各相差8株。这个差异属于抽样误差,还是菠菜雌雄性比发生了实质性的变化?要回答这个问题,首先需要确定一个统计量用以表示实际观察次数与理论次数偏离的程度,然后判断这一偏离程度是否属于抽样误差,即进行显著性测验。为了度量实际观察次数与理论次数偏离的程度,最简单的办法是求出实际观察次数与理论次数的差数。从表中看出:O1-E1=-8,O2-E2=8,由于这两个差数之和为0,显然不能用这两个差数之和来表示实际观察次数与理论次数的偏离程度。为了避免正、负抵消,可将两个差数O1-E1、O2-E2平方后再相加,即计算
(O-E)2,其值越大,实际观察次数与理论次数相差亦越大,反之则越小。但利用
(O-E)2表示实际观察次数与理论次数的偏离程度尚有不足。例如,一组实际观察次数为505,理论次数为500,相差5;另一组实际观察次数为26,理论次数为21,相差亦为5。显然这两组实际观察次数与理论次数的偏离程度是不同的。因为前者是相对于理论次数500相差5,后者是相对于理论次数21相差5。为了弥补这一不足,可先将各差数平方除以相应的理论次数后再相加,并记之为x2,即
也就是说,x2是度量实际观察次数与理论次数偏离程度的一个统计量。x2越小,表明实际观察次数与理论次数越接近;x2=0,表示两者完全吻合;x2越大,表示两者相差越大。根据表中的资料,可计算得
二、适合性测验
判断实际观察的属性类别分配是否符合已知属性类别分配理论或学说的假设测验称为适合性测验。在适合性测验中,无效假设H0:实际观察的属性类别分配符合已知属性类别分配的理论或学说;备择假设HA:实际观察的属性类别分配不符合已知属性类别分配的理论或学说。并在无效假设H0成立的条件下,按照已知属性类别分配的理论或学说计算各属性类别的理论次数。因计算所得的各个属性类别理论次数的总和应等于各个属性类别实际观察次数的总和,即独立的理论次数的个数等于属性类别分类数减1。也就是说,适合性测验的自由度等于属性类别分类数减1。若属性类别分类数为k,则适合性测验的自由度v=k-1。然后根据公式算出x2。将计算所得的x2值与根据自由度v=k-1查x2值表(附表)所得的临界x2值:
较:若
P>0.05,表明实际观察次数与理论次数差异不显著,可以认为实际观察的属性类别分配符合已知属性类别分配的理论或学说;若
0.01<P≤0.05,表明实际观察次数与理论次数差异显著,可以认为实际观察的属性类别分配不符合已知属性类别分配的理论或学说;若
P≤0.01,表明实际观察次数与理论次数差异极显著,可以认为实际观察的属性类别分配极显著地不符合已知属性类别分配的理论或学说。
[例]两对等位基因遗传试验,如基因为独立分配,则F2代的四种表现型在理论上应有9 :3 :3 :1的比率。有一水稻遗传试验,以稃尖有色非糯品种与稃尖无色糯性品种杂交,其F2代得表8-3的结果。试问这两对性状是否符合孟德尔遗传规律中9 :3 :3 :1的遗传比例?
测验步骤:
1.提出无效假设与备择假设
H0:实际观察次数之比符合9 :3 :3 :1的分离理论比例。
HA:实际观察次数之比不符合9 :3 :3 :1的分离理论比例。
2.选择计算公式 由于本例共有k=4组,自由度v=k-1=4-1=3>1,故利用公式计算x2。
3.计算理论次数 依据理论比例9 :3 :3 :1计算理论次数:
稃尖有色非糯稻的理论次数E1:743×9/16=417.94稃尖有色糯稻的理论次数E2:743×3/16=139.31
稃尖无色非糯稻的理论次数E3:743×3/16=139.31稃尖无色糯稻的理论次数E4:743×1/16=46.44
或E4=743-417.94-139.31-139.31=46.44 4.计算x2
表8-3 F2代表现型的观察次数和理论次数

5.查临界x2值(表8-4),作出统计推断 当v=3时,
=7.815,因x2>
P<0.05,所以应否定H0,接受HA,表明实际观察次数与理论次数差异显著,即该水稻稃尖和糯性性状在F2的实际结果不符合9 :3 :3 :1的理论比率。这一情况表明,该两对等位基因并非独立遗传,而可能为连锁遗传。
表8-4 卡方值表

续表
