1
工程流体力学
1.13.12 Ⅻ 量纲分析方法
Ⅻ 量纲分析方法

瑞利方法 瑞利方法的前提条件是影响流动现象的变量之间的函数关系是幂函数乘积的形式,求解这个函数关系式的具体步骤是:

(1)确定影响流动的重要物理参数(必须是独立的),并假定它们之间的函数关系可表示为幂函数乘积形式。

(2)根据量纲和谐原理,建立各物理参数指数的联立方程组。

(3)解方程组求得各物理参数的指数值,代入所假定的函数关系式,得到量纲为1的特征数(相似数)之间的函数关系式。

(4)通过模型实验,确定关系式中的待定常数,从而得到描述该流动问题的具体的经验公式。

例1 颗粒在流体中的沉降速度

直径为d s的固体球形颗粒在无限大静止流体中自由沉降,已知流体黏度和密度分别为μ和ρ,颗粒与流体的密度差为Δρ,求颗粒的沉降速度u s

解 影响颗粒沉降运动的主要物理参数有颗粒直径d s,重力加速度g,流体黏度μ,流体密度ρ,固体与流体的密度差Δρ,故有

u s=f(d s,g,μ,ρ,Δρ)

根据瑞利方法,设

u s=K d as gbμcρdΔρe

(a)

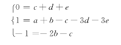
式中,K为常数。以质量M、长度L、时间T作为基本量纲,则上式的量纲方程为

[M0 L1 T-1]=[L a][L b T-2b][M c L-c T-c][M d L-3d][M e L-3e]

根据量纲和谐原理:方程两边量纲M、L、T的方次应该相等,于是有

解方程组,可得

将上式代入式(a)得

整理可得

式中,称为伽利略数(Gallileo number)。

按式(b)设计实验,将测得的实验数据整理,可求出K、指数h和e,最后求得颗粒雷诺数与伽利略数和量纲为1的Δρ/ρ之间的定量关联式。

用瑞利方法进行量纲分析时,最重要的是第一步,既不要遗漏对流动有重要影响的物理参数,也不应包括那些次要参数,否则要么所得的关联式误差较大,要么因变量太多难以求得函数关系式。一般而言,瑞利方法适用于影响因素较少的简单流动问题。

白金汉姆方法(π定理) π定理的基本原理是:若某一物理过程需要n个物理参数来描述,且这些物理参数涉及r个基本量纲,则此物理过程可用n-r个量纲为1的特征数来描述,这些量纲为1的特征数称为π项。其数学表达式为

f(π12,…,πn-r)=0

式中每一个π项都是一个独立的量纲为1的特征数,每个量纲为1的特征数可由若干物理参数组合而成。π项的基本物理参数的选取原则是:

(1)从n个物理参数中选择r个基本物理参数,这r个基本物理参数的量纲必须包含r个基本量纲。

(2)所选择的r个基本物理参数至少应包含一个几何特征参数、一个流体性质参数和一个流动特征参数。

(3)非独立变量不能作为基本物理参数。

(4)每一π项由r个基本物理参数和剩余的n-r个物理量中的一个构成,共有n-r个π项。

例2 圆管内不可压缩流动的压降Δp

已知流动所涉及的物理参数包括压力降Δp,圆管长L,圆管直径D,管内壁表面粗糙度ε,流速u,流体密度ρ和流体黏度μ,试分析压力降Δp的相关影响因素。

解 根据题意,有

f 1=(Δp,u,L,D,ε,ρ,μ)=0

上式中n=7,因所涉及的基本量纲为M、L、T,故r=3,n-r=4,可得

f 21234)=0

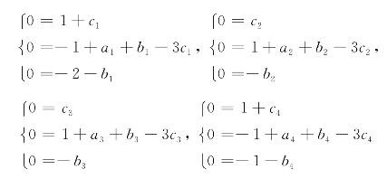
现选取D、u、ρ作为基本物理参数,则有

π1=Δp D a1 ub1ρc12=LD a2 ub2ρc23=e D a3 ub3ρc34=μD a4 ub4ρc4

根据量纲和谐原理,以上各式等号左、右的M、L、T的指数对应相等,故有

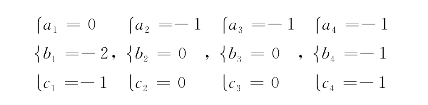
解这些方程组,可得

故有:

至此,可以写出压力降的影响因素表达式

π定理只能求出影响流动的量纲为1的特征数,不像瑞利法那样可确定量纲为1的特征数之间的幂函数乘积的关系式。要确定具体的函数关联式,必须通过模型实验来解决。