1
工程流体力学
1.11.3.3 8.3.3 转子流量计
8.3.3 转子流量计

转子流量计又称浮子流量计,是变面积式流量计的一种,由一个锥形管和一个置于锥形管内可以上下自由移动的转子(也称浮子)构成,锥形玻璃管锥角约在4°左右,下端截面积略小于上端结构,如图8 -12所示。当流体自下而上流入锥管时,被转子截流,流体在环隙中的速度较大,压强减小,这样在转子上、下游之间产生压力差,转子在压力差的作用下上升。当转子上浮至某一定高度,转子上、下端压差造成的升力恰等于转子的重量时,转子不再上升,悬浮于该高度上。当流量增大,转子两端的压差也随之增大,转子在原来位置的力平衡被破坏,转子将上升至另一高度,达到新的力平衡。

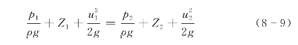
如图8-13所示,将转子简化为一圆柱体,当转子处于平衡位置时,流体作用于转子的力应与转子重力相等,即

图8-12 转子流量计

1—锥形硬玻璃管;2—刻度; 3—突缘填函盖板;4—转子

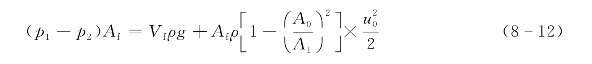
(p 1-p 2)A f=V fρf g(8-8)

式中,V f为转子体积;ρf为转子的密度;A f为转子截面积;p 2、p 1为转子上、下两端平面处的流体压强。

为求取p 1与p 2,以图8-13中1,2两截面列机械能守恒式

图8-13 转子的受力平衡

仿照孔板流量计的原理,已将缩脉处截面2的流速用环隙流速u 0代替。该式可写成

式(8-10)表明,形成转子上、下两端压差(p 1-p 2)有两个原因:一是两截面的位差,因位差形成的压差而作用于物体的力即为浮力;二是由于两端面存在动能差。将式(8 10)各项乘以转子截面积A f,得

式(8--11)左边是流体作用于转子的力;右边第一项为浮力,可写成一般形式V fρg。由质量守恒方程有

其中A 0为环隙面积,则式(8-11)可写成

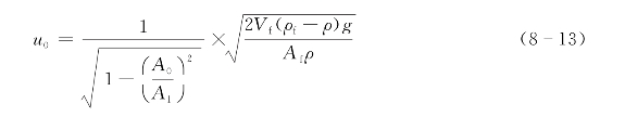
将式(8-12)代入式(8-8)得

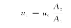
因此,转子流量计所指示的流量一般是指转子最大截面处所指示的读数。

从式(8-15)可知,V f、ρf、A f、ρ均为常数,对工程或实验时所使用的确定的流量计,C R也是常数,因此不论流量大小,环隙速度u 0为一常数。

流量不同时,力平衡式(8-8)并未改变,故转子上、下两端面的压差为常数,所变化的只是不同的平衡高度形成的不同的环隙面积。这就是转子流量计恒流速、恒压差的特点。与之相反,孔板流量计则是流动面积不变,压差随流量而变。

从式(8-8)并未改变,故转子上、下两端面的压差为常数,所变化的只是不同的平衡高度形成的不同的环隙面积。这就是转子流量计恒流速、恒压差的特点。与之相反,孔板流量计则是流动面积不变,压差随流量而变。