-
1.1内容提要
-
1.2第二版前言
-
1.3前 言
-
1.4第一章 绪 论
-
1.4.11.1 流体力学的范畴及其发展简史
-
1.4.1.11.1.1 流体力学的范畴
-
1.4.1.21.1.2 流体力学的发展简史
-
1.4.21.2 作用在流体上的力
-
1.4.2.11.2.1 质量力
-
1.4.2.21.2.2 表面力
-
1.4.31.3 流体的物理属性和力学特性
-
1.4.3.11.3.1 易变形性
-
1.4.3.21.3.2 密度和可压缩性
-
1.4.3.31.3.3 黏性
-
1.4.3.41.3.4 非牛顿流体
-
1.4.3.51.3.5 表面张力
-
1.4.41.4 流体力学模型
-
1.4.4.11.4.1 连续介质模型
-
1.4.4.21.4.2 理想流体模型
-
1.4.4.31.4.3 不可压缩流体模型
-
1.4.51.5 研究流体运动的基本方法
-
1.4.5.11.5.1 理论分析法
-
1.4.5.21.5.2 实验研究法
-
1.4.5.31.5.3 数值计算法
-
1.4.61.6 流体力学的新兴领域
-
1.4.6.11.6.1 超临界流体
-
1.4.6.21.6.2 超流体
-
1.4.6.31.6.3 磁流体
-
1.5第二章 流体静力学
-
1.5.12.1 压强及其性质
-
1.5.22.2 压强的单位和计算
-
1.5.2.12.2.1 压强的计算基准
-
1.5.2.22.2.2 压强的单位
-
1.5.2.32.2.3 液体静压强的计算
-
1.5.32.3 作用于平面和曲面的液体压力
-
1.5.3.12.3.1 作用于平面的液体压力
-
1.5.3.22.3.2 作用于曲面的液体压力
-
1.5.42.4 压强的测量
-
1.5.4.12.4.1 液柱式测压计
-
1.5.4.22.4.2 金属弹簧压力表
-
1.5.4.32.4.3 压力传感器
-
1.6第三章 流体动力学基础
-
1.6.13.1 流体运动的基本概念
-
1.6.1.13.1.1 定常流动和非定常流动
-
1.6.1.23.1.2 迹线和流线
-
1.6.1.33.1.3 流管、流束和总流
-
1.6.1.43.1.4 过流断面及水力半径
-
1.6.1.53.1.5 过流断面的压强分布
-
1.6.23.2 质量守恒
-
1.6.33.3 动量守恒
-
1.6.43.4 机械能守恒
-
1.6.4.13.4.1 理想流体的机械能守恒
-
1.6.4.23.4.2 实际流体管流的机械能衡算
-
1.7第四章 阻力损失及其计算
-
1.7.14.1 沿程阻力损失和局部阻力损失
-
1.7.24.2 流体流动形态
-
1.7.2.14.2.1 层流和湍流
-
1.7.2.24.2.2 雷诺数
-
1.7.34.3 湍流的基本特征
-
1.7.3.14.3.1 脉动速度和时均速度
-
1.7.3.24.3.2 湍流强度
-
1.7.3.34.3.3 湍流尺度
-
1.7.3.44.3.4 湍流黏度
-
1.7.44.4 黏性流体圆管中的层流运动
-
1.7.54.5 黏性流体在圆管中的湍流流动
-
1.7.5.14.5.1 边界层和黏性底层
-
1.7.5.24.5.2 圆管湍流的速度分布
-
1.7.64.6 沿程摩擦阻力系数计算
-
1.7.6.14.6.1 沿程摩擦阻力系数计算公式
-
1.7.6.24.6.2 摩擦系数曲线图
-
1.7.6.34.6.3 非圆形管的当量直径
-
1.7.74.7 局部阻力损失
-
1.7.7.14.7.1 局部阻力损失的计算
-
1.7.7.24.7.2 突然扩大与突然缩小
-
1.7.84.8 管路计算
-
1.7.8.14.8.1 简单管路
-
1.7.8.24.8.2 复杂管路
-
1.7.8.34.8.3 可压缩流体的管路计算
-
1.8第五章 不可压缩流体流动
-
1.8.15.1 流体微团运动
-
1.8.1.15.1.1 描述流体流动的两种方法
-
1.8.1.25.1.2 流体微团运动
-
1.8.25.2 连续性方程
-
1.8.35.3 无旋流动
-
1.8.45.4 有旋流动
-
1.8.55.5 黏性流体的运动方程
-
1.8.5.15.5.1 N-S方程的建立
-
1.8.5.25.5.2 欧拉方程
-
1.8.5.35.5.3 运动方程的定解条件
-
1.8.5.45.5.4 N S方程的求解
-
1.9第六章 典型流体流动
-
1.9.16.1 绕流
-
1.9.1.16.1.1 曲面边界层分离
-
1.9.1.26.1.2 绕流阻力
-
1.9.1.36.1.3 绕球体的流动
-
1.9.1.46.1.4 圆柱绕流
-
1.9.1.56.1.5 理想流体绕圆柱流动
-
1.9.26.2 射流
-
1.9.2.16.2.1 自由射流
-
1.9.2.26.2.2 受限射流
-
1.9.2.36.2.3 同轴射流
-
1.9.36.3 撞击流
-
1.9.3.16.3.1 撞击流基本原理
-
1.9.3.26.3.2 撞击流的分类
-
1.9.3.36.3.3 撞击流的工业应用
-
1.10第七章 流体输送机械
-
1.10.17.1 泵与风机的类型
-
1.10.1.17.1.1 叶片式泵与风机
-
1.10.1.27.1.2 容积式泵与风机
-
1.10.27.2 离心泵的主要构件及性能参数
-
1.10.2.17.2.1 离心泵的主要构件
-
1.10.2.27.2.2 离心泵的性能参数
-
1.10.37.3 泵与风机的理论和实际特性曲线
-
1.10.3.17.3.1 泵与风机的理论特性曲线
-
1.10.3.27.3.2 泵与风机的损失与效率
-
1.10.3.37.3.3 泵与风机的实际特性曲线
-
1.10.47.4 泵的扬程与安装高度
-
1.10.4.17.4.1 泵的扬程计算
-
1.10.4.27.4.2 离心泵的安装高度
-
1.10.57.5 离心泵的流量调节和组合操作
-
1.10.5.17.5.1 离心泵的管路特性曲线
-
1.10.5.27.5.2 离心泵的工作点
-
1.10.5.37.5.3 流量调节
-
1.10.67.6 泵的选择与安装
-
1.10.6.17.6.1 泵的选型原则
-
1.10.6.27.6.2 泵的选型
-
1.10.77.7 气体输送机械
-
1.10.7.17.7.1 通风机
-
1.10.7.27.7.2 鼓风机
-
1.10.7.37.7.3 压缩机
-
1.10.7.47.7.4 真空泵
-
1.11第八章 流体力学实验研究和测试方法
-
1.11.18.1 流动相似准则及其分析方法
-
1.11.1.18.1.1 流动相似原理
-
1.11.1.28.1.2 相似准则及其分析方法
-
1.11.28.2 流动可视化技术
-
1.11.2.18.2.1 氢气泡技术
-
1.11.2.28.2.2 空气泡技术
-
1.11.2.38.2.3 烟线技术
-
1.11.2.48.2.4 高速摄像技术
-
1.11.38.3 流量测量技术
-
1.11.3.18.3.1 孔板流量计
-
1.11.3.28.3.2 文丘里流量计
-
1.11.3.38.3.3 转子流量计
-
1.11.3.48.3.4 涡街流量计
-
1.11.48.4 流速测量技术
-
1.11.4.18.4.1 皮托管
-
1.11.4.28.4.2 热线风速仪
-
1.11.4.38.4.3 激光多普勒测速技术
-
1.11.4.48.4.4 粒子图像测速技术
-
1.11.4.58.4.5 激光诱导荧光技术
-
1.12第九章 数值模拟方法及软件简介
-
1.12.19.1 计算流体力学概述
-
1.12.29.2 数值计算方法
-
1.12.39.3 湍流数值模拟
-
1.12.3.19.3.1 湍流理论简介
-
1.12.3.29.3.2 湍流模式理论
-
1.12.49.4 CFD的求解过程
-
1.12.59.5 常用的CFD商业软件应用示例
-
1.12.5.19.5.1 建立计算模型
-
1.12.5.29.5.2 利用Fluent进行求解计算
-
1.12.5.39.5.3 显示计算结果
-
1.12.6习 题
-
1.13附 录
-
1.13.1Ⅰ 水的物理性质
-
1.13.2Ⅱ 干空气的物理性质
-
1.13.3Ⅲ 压强国际单位与工程单位换算关系
-
1.13.4Ⅳ 工业管道的当量粗糙度
-
1.13.5Ⅴ 管件和阀件的局部阻力系数
-
1.13.6Ⅵ 某些流体在管道中的常用流速范围
-
1.13.7Ⅶ IS型单级单吸离心泵性能表
-
1.13.8Ⅷ 饱和水蒸气(以温度为准)
-
1.13.9Ⅸ 饱和水蒸气(以压强为准)
-
1.13.10Ⅹ Re≈10<span title="pagenumber_ebook=200,pagenumbe...
-
1.13.11Ⅺ 三维物体的总阻力系数
-
1.13.12Ⅻ 量纲分析方法
-
1.13.13■ 习题简要参考答案
-
1.14参考文献



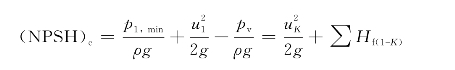
比液体汽化时的势能超出。此超出量称为离心泵的临界汽蚀余量,并以符号(NPSH)






