1
工程流体力学
1.7.6.1 4.6.1 沿程摩擦阻力系数计算公式
4.6.1 沿程摩擦阻力系数计算公式

管道内流动摩擦损失不仅取决于粗糙突出部分的大小和形状,还与它们的分布和间距有关。工业用管道粗糙度还无法进行科学的测量和确定。1933年德国工程师尼古拉兹(Nikurades)用筛选沙粒黏附在光滑的管道壁面上得到了人工粗糙管并进行了实验,实验结果如图4-9所示。将沙粒直径ε定义为绝对粗糙度(absolute roughness),ε/d定义为相对粗糙度(relative roughness),图中横坐标为流动雷诺数Re,纵坐标为沿程阻力系数λ,每一相对粗糙度ε/d有一条反映λ与Re关系的曲线。人工粗糙管的粗糙度是均匀的,但是工业管道的粗糙度其大小和分布都是不规则的。因此定义工业管道的当量粗糙度(equivalent roughness)为:高雷诺数下,如果工业管道与人工管道具有相同的λ值,则将人工管道的粗糙度ε作为工业管道的当量粗糙度。当量粗糙度接近于管道的不规则粗糙突出部分的平均值。附录Ⅳ给出了工业管道的当量粗糙度。

图4-9 尼古拉兹实验曲线

当δv>ε,或4 000<Re<80(d/ε)时,粗糙度全部浸没在黏性底层内,普朗特根据尼古拉兹实验(Nikuradse experiment)数据,提出了光滑管流动的摩擦系数计算式

式中不含粗糙度ε,式(426)适用于光滑管内湍流流动。因为式(4-26)两边都含有λ,计算显得不方便,柯列勃洛克(Colebrook)提出了便于计算的关系式

式(4-27)适用于光滑管内流动,4 000≤Re≤108。

勃拉修斯(Blasius)给出了光滑管内流动,3 000≤Re≤105,摩擦系数计算式为

在高雷诺数下,δv变得很小,粗糙度突出到黏性底层外,δv<(1/14)ε或Re>4 160 [d/(2ε)]0.85,流动为充分粗糙管流动,摩擦系数与雷诺数无关,卡门(Karman)给出的充分粗糙管流动的摩擦系数计算式为

在ε>δv>(1/14)ε,或80(d/ε)<Re<4 160[d/(2ε)]0.85时,流动既不是光滑流也不是充分粗糙流,而是处于过渡流动区域。

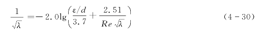
1939年柯列勃洛克(Colebrook)将以上两式结合,给出了过渡区域内沿程摩擦系数计算式

式(430)虽然只适用于过渡区域内,但是当ε=0时,上式简化为光滑管流动计算式,当Re很大时,上式简化为充分粗糙流动计算式。摩擦系数计算值与试验数据误差一般在10%~ 15%。1983年,哈朗德(Hadand)给出了另外一个便于计算的过渡区域摩擦系数计算式

当4 000≤Re≤108时,式(4-31)与式(4-30)计算误差小于±1.5%。