三、授徒讲学,传西方数学文化
在韶州府居住期间,利玛窦收的第一个学生就是学者瞿太素(瞿汝夔)。瞿太素是江苏常州人氏,由于不愿意在朝廷为官而浪迹天涯。1589年4月,瞿太素在肇庆第一次见到了利玛窦,而当时利玛窦正在为受到驱逐之事烦恼和奔波,也无暇与瞿太素做深入的交流。1589年10月,瞿太素“听说神父们是在韶州时,他就去拜访他们……他请求利玛窦收他做学生”,并且按照当时的风俗,身穿传统的礼服,奉送贵重的绸料为礼,邀请利玛窦到他家里吃饭,正式拜利玛窦为师(15)。
1.利玛窦与瞿太素合译《几何原本》第一卷
瞿太素聪明好学,他师从利玛窦由学习数学入手并旁及其他学科。利玛窦以恩师克拉维乌斯的著作为教材,先教给瞿太素欧洲的实用算术,后教星盘原理和球极投影知识,最后教欧几里得的几何学知识。瞿太素跟着利玛窦系统地学习了两年的算学、欧几里得平面几何学、象数之学(将数学的原理应用到实践中,即用符号、形象和数字推测宇宙变化)、语言学、逻辑学、物理学及天文学等。
两年之中,瞿太素不知疲倦地学习着那些对他来说新奇的东西,还自己动手制作了诸如地球仪、天球仪、六分仪、测像仪、星盘、罗盘、象限仪、日晷等仪器,这些仪器有木制的、铜制的,还有银制的,他以此受到了朋友们的尊敬(16)。
利玛窦向中国传播的经典的西方文化中,价值最大的莫过于与徐光启合译的欧几里得《几何原本》。那么这本译著有什么价值呢?中国古代有句谚语“鸳鸯绣出从君看,莫把金针度于人”。这句谚语的意思是做出来的产品可以给世人看,但不会把制作方法告诉世人。而《几何原本》的价值恰是“金针度人”,就是将解决问题的方法教给世人。
关于翻译《几何原本》这项课题,其实瞿太素早已在韶州做过了深入的研究。在《利玛窦中国札记》中是这样记录的:
他(瞿太素)从事研习欧几里得的原理,即欧氏的第一书(卷)。他(瞿太素)很有知识并长于写作,他运用所学到的知识写出一系列精细的注释……他(瞿太素)日以继夜地从事工作,用图表来装点他的手稿。……当他把这些注释呈献给他的有学识的官员朋友们时,他(瞿太素)和他所归功的老师(利玛窦)都赢得了普遍的、令人艳羡的声誉。
由此可知,利玛窦和瞿太素在韶州已经译出了《几何原本》第一卷,但没有出版,仅仅在学者之间作为被谈论和被赞美的事物。
虽然如此,此番工作的意义也非同小可。因为利玛窦的第二个学生张养默曾无师自学了欧几里得的第一卷,以至于张养默向利玛窦请教几何学问题时认为“以教授数学来启迪中国人将足以达到他(利玛窦)的传教目的了”(17)。
张祖林认为,张养默自学的《几何原本》第一卷,很可能就是瞿太素此前在韶州给出注释的那个译本(第一卷)(18),而张养默不断地向利玛窦请教几何学问题,或许是想要将《几何原本》接着翻译下去,但由于种种原因而没有实现。
利玛窦到达北京之后,徐光启建议他翻译和刻印一些有关欧洲科学的书籍,他立刻指出:“中国人最喜欢的莫过于关于欧几里得的《几何原本》一书,原因或许是没有人比中国人更重视数学了。”利玛窦还告诉徐光启“此书未译,其他书俱不可得”(19)。
至此《几何原本》便成为利玛窦与徐光启合作翻译出版的最著名的一本西方数学科学著作。
在中国传教期间,除《几何原本》外,利玛窦还独撰或与中国学者合作翻译了多部西方数学天文学著作,流传至今的有《浑盖通宪图说》《乾坤体义》《圜容较义》《测量法义》《同文算指》和《理法器撮要》等(20)。
因此,真正意义上的“中西方数学文化交流”,肇始于利玛窦在韶州传播的西方数学和系统地向西方传播的中国儒家经典。至于在肇庆度过的6年时光里所做的工作,顶多算得上是在应用的层面传播了西方的数学,而没有像在韶州那样,系统地进行西方数学理论的传播以及将中国传统文化向西方推介。
2.实地考察,用西方数学知识解决应用问题
中国和西方的古代数学在实际中的应用,基本上都是从天象观测以及对农业和畜牧业的需求入手的。在四季交替的节气测量上、农耕土地的丈量问题上以及集市贸易、天文历法、地理测算等方面,中西方国家的祖先们都发明了自己独特的计算方法。
中国古代数学和欧洲数学的应用之比较
利玛窦来到中国以后,在肇庆、韶州和北京传播了当时流行于欧洲的“非欧几何”和“欧氏几何”的理论知识,主要有圆锥曲线、平行投影、球极投影、椭圆投影、画法几何和透视法以及平面几何等,同时,他也将欧洲的数学计算与应用技术引入了中国。
最有名的应用案例就发生在韶州。利玛窦用西方三角学中的正弦定理测量了韶州皇岗山(位于韶关市郊区)的山顶到其教堂的距离。
韶州(今韶关)皇岗山
明朝万历年间,广东韶州府同知刘承范曾在其撰写的《利玛窦传》中如下记载曰(21):
(利玛窦)又有浑天仪二,一以测天,一以测地,一以测山川河海。如云天有九重,自第一重至第二重,该若干度,算若干里。自某国至某国,该若干度,算若干里。馀皆执至,以坐照之。吾初未甚信。因指所对皇岗山,而命之曰:“汝试度寺门至山顶,相几何?”僧执仪而睨视之曰:“若干,若干。”乃命左右取麻线数缕,牵至山顶,以僧所定步弓较之,无毫发爽。
用白话文解释就是说:利玛窦有两个浑天仪,可以用来测天、测地、测山川河海……刘承范一开始并不十分相信,于是就指着对面的皇岗山,让他测量从教堂住所门口到皇岗山山顶的距离。只见利玛窦手拿着浑天仪进行了测量,然后说出了长度。于是刘承范就叫随从拿了几缕麻线由教堂住所门一直牵到山顶,按照利玛窦所说的长度去比较,居然没有一丝一毫的差错,太准确了。
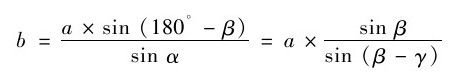
按照以上描述,假设皇岗山(D点)以及山顶(A点)到教堂(C点)形成如下图形。利玛窦在B点和C点测量了两次仰角的角度,以及两次测量点(B点和C点)之间的距离,根据正弦定理(使用现代的计算符号)就可以得出所要的结论。
测量韶州的皇岗山
如图,已知a=BC、仰角∠β、仰角∠γ可以测量出来,b=AC是未知的量,B点和C点是利玛窦两次测量时的位置(C点也是教堂位置),而∠α=∠β-∠γ,∠ABC=180°-∠β,而仰角的正弦值可以通过查阅正弦函数表得到(22)。
则根据正弦定理知: 
即: 
因此,利玛窦在韶州测量皇岗山时使用的是三角学中的正弦定理。那么,这种猜测有没有根据,利玛窦是否学习过三角学以及正弦定理?我们不妨简单回顾一下西方三角学的发展过程。
古代西方的三角学不是一个独立的学科,它是依附于天文学、作为天文推算的一种方法,因而最先发展的是球面三角学。早在公元前300年,古代埃及人、希腊人便将三角学知识用于测量,比如建筑金字塔、航海、观测天象等。
公元前2世纪,希腊天文学家和数学家喜帕恰斯(约前180—前125年)为了天文观测,对球面上的角度和距离进行计算,制作了一个和现在的三角函数表相似的“弦表”,这是世界上最早的三角函数表。
2世纪,希腊天文学家托勒密在其著作《天文学大成》(Almagest)中给出了包括0°到90°每隔半度的“弦表”以及若干等价的三角函数关系式。6世纪,印度数学家阿耶波多(Aryabhatiya,约476—550年)制作了历史上第一张第一象限内间隔3°45′的正弦函数表。
正弦定理首先是由波斯天文学家、数学家阿布尔·威发(940—998年)发现的;13世纪的纳西尔丁(1201—1274年)在其《横截线原理书》中首次清楚地论证了正弦定理,由此三角学开始脱离天文学,成为纯粹数学的一个独立分支。纳西尔丁的这部著作于15世纪传入欧洲,促进了三角学的创立和传播。
1464年,德国数学家雷格蒙塔努斯(J.Regiomontanus,1436—1476年)完成了著作《论各种三角形》(1533年出版)。这部书共5卷,前2卷论述平面三角学,后3卷讨论球面三角学。雷格蒙塔努斯在第1卷就明确使用了正弦函数,第2卷定理1便讲述一般三角形的正弦定理以及证明(23)。
这是欧洲第一部三角学专著,是欧洲传播三角学知识的源泉,也被克拉维乌斯纳入“数学教育大纲”中定为学习三角学的教材,而这正是利玛窦的学习内容之一(24)。
因此,我们有理由相信,利玛窦确实学习过正弦函数,并且知道正弦定理的使用方法以及应用领域。只不过,利玛窦热心于老师的《几何原本》,再加上那时候的平面三角学还属于新兴的数学学科,他并没有做更多的描述而已。直到1631年,西方三角学以及测量术才正式传入中国,并且首次出现在徐光启的译著《测量全义》中。
除此之外,利玛窦在韶州还曾指导瞿太素制造日晷和星盘。而制作这些仪器,除了需要欧氏几何和圆锥曲线知识以外,还需要投影几何和球极投影的知识。然而,投影几何在中国古代触及极少,“元朝的札马鲁丁和郭守敬是这方面的先行者”(25),但他们的理论没有被完好地保留下来,到了明末基本上已无人知晓。所以,利玛窦传播的西方投影几何知识便具有开拓性的意义。
欧几里得的《几何原本》与“非欧几何”知识的传入,丰富了我国当时的数学研究,也更直接有力地促进了我国科学技术的发展、近代中西数学文化的融合以及现代数学的萌芽与发展。由此可见,利玛窦在韶州府传教的过程中,作为附属品而被传播的欧洲数学知识以及所获得的社会效应,为他后来在北京更广泛而系统地传播西方数学文化奠定了坚实的基础。