1.4.3 第十一章 经济权势分配与社会身份分配

第十一章
经济权势分配与社会身份分配

本章将研究一个广泛深远的经济问题,到目前为止我们几乎没有提及这一点。我们说的这个经济是指,假如能够吸引其他个体,就让他负责某项具体工作。这个新型经济无处不在,它多少会修改我们前几章的观点,即,我们认为每个人正好履行1/C份额的工作并且为此正好收到所生产的全部m个不同商品与服务的1/C份额。

但是,虽然这个新型经济会修改我们之前的观点,可它绝非推翻我们的观点。相反,我们前文的论证表明了一个或更多个体可能操控他人的限度,甚至表明了给他人造成经济上不便的程度。的确,我们关注的是对“其他同伴”经济型操控的限度而不是操控导致的经济本身。

为了自身利益而操控“其他同伴”所带来的经济只是为了自身利益而试图操控自己整个环境所带来的整体经济的一个具体方面,这一点在本书第一部分已研究得很详细。操控“其他同伴”的主要困难来自这样一个事实,即“其他同伴”为抵制他人操控而采取的一些自我操控也是经济的。

这就出现了从经济上剥削他人或者从经济上控制他人这个由来已久的问题,这个问题在本论著看来只要有人就永远存在,因为(1)让他人为自己工作总是经济的,而且因为(2)人总是倾向于以最大值的经济而行事。尽管控制和剥削这个词语对于注重“生活中更美好事物”的人而言或许有丑陋的含义,但是我们不会用事实去辩论[1]。的确,有趣的是,我们有时候发现我们称之为“人类文明进步”的东西包括“艺术和科学的进步”以及其他“生活中更加美好的事物”几乎全部都是剥削经济的结果。

第一节 理论思考

假如我们起初认为固定C人口中每个成员生产该群体全部产品的1/C份额而且每个人都能成功地从全部产品(1/C-a)份额中幸存,剥削经济或许最好从理论上加以研究。剩余的增量a很重要,因为这是无需将一个人杀死就能从他身上获取的最大量值。C×a或者Ca的乘积很重要,因为它代表了剥削者从全部人口中所能获取的全部数量。为了方便起见,我们首先认为所有剥削者来自C人口之外(这个最初假设给我们省去了使用C-n这个术语的麻烦,其中n代表剥削者人数)。我们一开始还认为a是固定的。

一、剥削者之间的竞争:Ca假说

我们在前一段文字中陈述了,Ca代表了固定C人数的剥削者可剥削的收入总量,其中每个人提供了一个固定的可剥削的增量a。记住这个定义,我们来探究这个总收入Ca在剥削者之间的分配。

我们将基于两个连续类比进行探究。第一个(1)类比是类似于第五章论述的报纸固定版面空间在不同规模S的不同新闻报道之间的分配。第二个(2)类比类似于第九章论述的P规模相同的社区数量N。这两个类比会导致我们熟悉的相同方程式;并且一个类比将会导致另一个类比。

(一)第一个类比

任何想要增加收入的剥削者都可以通过增加附属于他的被剥削者数量N而达到这一目的。因此,增加N是增加自己收入Na的一个手段。这个手段从历史上来看未曾让人沮丧过。因为,正如历史所表明的,为了获得额外的纳贡人口而征服其他领土一直以来都是侵略战争的一个动机。

历史还表明,存在一个对立经济或力量,它通常是遏制任何剥削者的野心。因为,简单地说,随着剥削者增加他在固定C人口中的收入Na,他因而减少了其他剥削者增加收入的机会。为此,随着任何剥削者增加他的收入Na,他同时还附带做了其他两件事情:(1)假如我们认为他的力量与他的Na成比例,他对其他可能的剥削者的威胁相应地增加了;以及(2)他对于别人越来越有利可图。

然而,历史的教训并非止于此。因为,无论是为了增加他的收入Na,还是为了保护其收入,这对于剥削者而言都是经济型的手段。这个经济型的手段就是纯粹的武力或武力威胁,藉此杀掉有竞争力的剥削者或消除其竞争力,夺其地盘,杀其奴隶,或将其奴隶占为己有,等等。

由于这个武力必须由人来施展和指挥,所以我们能够明白剥削者雇佣他人去战斗是多么的经济,雇佣他人保护,并扩张主人的剥削。这些雇员必须从该剥削者的收入Na中领取报酬。我们随即理解了这些雇员报酬本身也涉及经济剥削这个问题。我们一开始就检查系统中剥削者数量n及其收入Na相对规模在多大程度上才是经济的这个问题——这个问题我们现在已经非常熟悉。

在任何单个剥削者看来总是存在一个个体单独拥有整个可剥削的盈余Ca,结果剥削者数量n就会是1。这一单个剥削者企图既要减少有竞争力的剥削者的数量n-1,又要减少他们各自的收入Na。假如历史的教训有什么意义的话,这个步骤就是剥削弱者以获得力量,再接着联合弱者去剥削强者。从单个剥削者的角度来说,假定总是存在一个冲动去剥削他人以获得一切。当然,随着单个剥削者越来越成功,即获得的收入Na越来越多,他因而就愈发成为一个让人害怕的人同时也是一个更值得他人剥削的人。换言之,他往往更要联合那些企图反对和剥削他自己的阵营中其他剥削者,而这在本质上包含了集体行动。反对和剥削他自己的其余剥削者所形成的联盟代表了这样一种经济:剥削者人数n的增加是以分享富人的巨大收入Na和分割富人的地盘为代价。

但是,假如我们将系统看作一个整体,我们此后仅采用此观点,那么我们明白,每个实际的或有抱负的剥削者会在这两个做法中选择其一。首先,他会联合强者去剥削和减少弱者(这就是我们前文所言的统一化力量);或者其次,他会联合弱者去剥削和瓜分强者(这就是我们前文所言的多元化力量)。显然,如果有许多小的剥削者而且没有特别富裕的人,选择第一个方案对他有利,因为他可以将这些柔弱的剥削者逐一吞噬。另一方面,假如越来越富裕的剥削者数量逐渐减少,选择第二个方案对他有利,因为虽然这些富裕的剥削者更加难以打败,但是一旦征服他们就会得到利润丰厚的战利品。上述两个方案对于实际的或有抱负的剥削者而言同样有利(或同样不利),从系统的角度来看可以说存在一个平衡[2]

的确,从系统的角度来看,这个情况类似于第五章论述的将报纸版面空间分配给规模S不一的n个不同新闻报道,其中,我们论证了,根据等轴双曲线方程式r·S=C,序列—频率分布得以平衡。因为在这个方程式中,统一化力量的重要性等同于多元化力量的重要性,统一化力量使n减少至1,多元化力量使n增加到这样的程度,即,就剥削者而言,每一个剥削者都会得到正好养活他的小量收入(1/C-a+b)。

虽然这个力量平衡的概念会在我们第二个类比中再次论述,不过,我们前文论述足以表明,由于涉及各要素的本质,平衡体现在n个剥削者的双曲线分布中,即如果按照他们收入Na多少降序排列(其中,c是最少收入),序列为r,不同主要剥削者(包括他们的雇员)数量n便是:

r·(Na)=nc (11-1)

为了后文论述方便,我们还假定最小的剥削者(r=n)会得到(1/C-a+b)收入,该收入仅比(1/C-a)稍微多一点。我们还认为,Ca一开始就是固定的。

如此分布,n个剥削者将会相互牵制,即剥削他人的风险与收益一样大。我们在论述第二个类比时会再次回到这个观点。

方程式(11-1)还可以用一个纯调和级数方程式来表述(其中,A代表了最富有的剥削者的收入Na1,个中缘由已在第二章作了陈述:

474-1

我们记得前文这两个方程式代表具体的数学参数,它们有待实证检验;而我们的统一化力量仅仅表示理论要素,我们尚不能对之进行客观检测,因为我们不知道它的测量单位是什么。

我们还要指出,以免我们忽视这一点,方程式(11-1)是指简单调和级数的比例,假如用普通调和级数来表述,该比例的值是p=1。沿着这个级数走,我们会遇到那些因个人财富愈发多而势强的少量剥削者,接着遇到那些虽然个人不那么富有但是因集体人数愈发多而势强的剥削者。我们现在强调的正是这个简单调和级数或等轴双曲线的这一方面。

反思上述两个方程式的含义,我们发现,假如这两个方程式在双对数坐标上的斜率为负1,它代表的是动态平衡的状况,那么该线条上方任何向上凸起(过度的状况)意味着在这个点上太少人得到太多,因此这就表明在这个点上多元化力量可能将要增多。相反,该线条下方任何向下凸起(不足的状况)意味着太多人得到太少,因此这就表明在这个点上统一化力量可能将要增多。我们理论上的平衡线的弯曲因而是有意义的。

我们在论述的一开始就已指出,剥削者必须得有雇员帮助他们;同时剥削者必须从其收入Na中给他们各自雇员付报酬,收入Na是剥削者财富的唯一来源。因此,我们前文两个方程式中的收入Na群体收入(即,付给剥削者的收入,他们从中付给他们的雇员)而不是剥削者在付给雇员报酬之后的净收入。

一旦我们探究那个归属于个体剥削者及其个体雇员的净收入时——下文中称作个体收入的分配——我们就提出了一个不同的问题。为了方便论述,我们此后认为该剥削者及其雇员构成了一个群体,我们称之为雇员团体(即,该剥削者是该团体的首席成员)。此外,该团体可以很小,以至于它只由一个人构成,这个人既是剥削者又是雇员。

为了区分这两种收入,我们将群体收入看作有竞争力的独立公国的收入,如中世纪的欧洲,或者昔日的印度,或者文艺复兴时期的意大利独立城市,或者美国企业[3]。另一方面,我们将个体收入视作付给那些公国、城市、企业等个体主管(或者付给稍后我们称作精英成员的人)的净收入。

由于剥削“其他同伴”的经济在理论上讲对于所有人都是共同的,我们能够理解一个雇员团体成员之间为了获得较大个体份额的群体收入而如何产生价值。雇员团体成员之间的竞争可以从两个方面来看,一个就是该团体的首要剥削者比如国王的角度,他力保其他雇员不要剥削或抛弃他;另一个就是整个雇员团体的个体成员的角度,他们各自组成子公司派系,以便共同增加各自分得的群体收入份额。

就这个国王或首要剥削者而言,假如他给自己雇员奖励时太小气,要么(1)因为他想为自己多留些,要么(2)因为他想拥有数量非常多的n2个雇员,那么(1)他的手下可能团结起来剥削他,或者(2)可能背叛他投奔开出更高报酬的另一个首领,手下的背叛因而减少了雇员人数n2。另一方面,假如该国王奖赏太大方,因而减少了他的雇员人数n2,那么雇员人少可能带来防范或侵略其他团体的风险。因此,国王或任何其他团体领导者,想要保持自己在团体中的领导地位,必须给予“恰当”雇员人数n2以“恰当数量”的慷慨赠与。为此,这就要有一个“恰当数量”的收入,才能分配给整个团体中“恰当”n2个雇员。

假如我们将n2个雇员看作积极争取可分配的群体收入Na的更大个体份额,那么分配给“恰当”n2个雇员的“恰当数量”的收入这个问题可以得到最好理解。因为我们发现,那些争取更多收入的n2个雇员所给予的各自个体收入规模这个问题,非常相似于前文论述的n个不同剥削者(即,社会群体)为获得全部收入Ca而相互竞争的问题。

因为,再次说到,统一化之力将会导致一个单一较大个体收入G,它占据了整个团体的全部收入Na,而多元化之力将会导致较多数量n2收入,它们平均个体收入G相应较小。此外,这两个力量大小相同方向相反,个中缘由与后一种情况一模一样,即,n个不同剥削者为了在全部可剥削的剩余价值Ca中获得较大的群体收入Na而相互竞争。每个雇员团体中,n2都是这两大假设力量的平衡点。

我们从理论上来探究任何团体中n2规模的决定因素。在这个方面,我们刚才使用了术语G来描述给予团体中n2个成员的平均收入,该团体的全部群体收入是Na;或者用方程式表达即为:

n2×G=Na (11-3)

我们注意到,统一化之力意在以n2为代价来增加G,多元化之力正好相反,意在以G为代价增加n2。假如,正如我们主张的,这两个力量大小相同方向相反,那么,对于任何社会群体,我们可以作出如下表述,它们类似于源自第二章的那些陈述,我们现在用数例来证实:

n2=G (11-4)

477-1

n2=(Na1/2 (11-6)

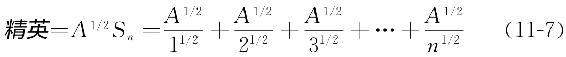
此外,假如我们记得n个不同社会群体(即剥削者)按照它们群体收入规模进行的序列—频率分布根据方程式(11-2)呈调和级数状,那么下列方程式(11-7)将会描述这些社会群体的雇员规模在降序排列后的分布状况:

477-2

在这个方程式中A1/2代表了最大社会群体的雇员人数n2(它的收入Na是方程式(11-2)中的A)。的确,方程式(11-7)中n个不同社会群体与方程式(11-2)中有相同序列。

A1/2·Sn这个术语代表了方程式(11-2)中所有n个不同社会群体的所有雇员人数总和,我们把它定义为社会系统C精英。根据方程式(11-4)n2=G,假如A1/2这个术语是定义为代表最大群体的G,我们发现方程式(11-7)也描述了n个不同群体的平均收入G的序列—频率分布。

方程式(11-7)给我们揭示了n个不同雇员团体中平均个体收入,如果没有揭示每个雇员团体n2个成员中个体收入的序列—频率分布,似乎未免唐突。

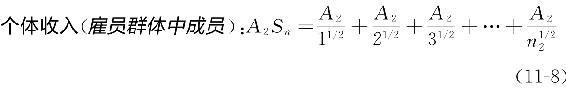
假如我们记得(1)关于系统全部可剥削的收入Ca分配给n个不同剥削群体的统一化多元化力量的系统观点,经过必要细节更改后,也适用于群体收入Na分配给n2个雇员,那么结果就是(2)方程式(11-7)也描述了每个群体的n2个雇员的个体收入分配情况,假如①n2取代n,而且假如②我们现在用A2这个术语代替A1/2来表示给任何雇员群体n2的任何雇员所付的最大收入,而且假如③该雇员群体中每个个体成员被视作一个群体(而且的确每个更富裕成员可以拥有自己的私人雇员)。

在作出上述替代(①、②和③)之后,下列方程式理论上描述了任何雇员群体n2个个体收入的情况,或者:

478-1

假如现在要得到方程式(11-8)可以描述的日常例子,我们可以认为它描述了通用汽车公司、福特公司、杜邦公司、通用电气公司、新泽西标准石油公司,或者任何其他经营完善的公司付给各自n2个主管的报酬的序列—频率分布情况。另一方面,方程式(11-2)描述了个体公司(例如,福特公司、通用汽车公司、杜邦公司等)本身的总收入。

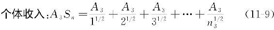
现在的问题是,整个社会系统中所有精英成员的个体收入分布状况如何。总之,什么是整个A1/2·Sn精英中全部n3个成员的个体收入序列—频率分布?

根据方程式(11-2)、(11-7)和(11-8),至于全部精英个体收入n3的分布状况这个问题,它的答案是:

478-2

其中,A3描述了付给最大雇员群体中一个成员的最大个体收入,而且通俗地讲,美国或任何其他国家的个体收入理论上按照方程式(11-9)进行分配的。顺便说一句,最后这个方程式与帕雷托收入分布一致,除了帕雷托学派2认为指数p根据我们自己方程式是2/3而不是我们正在主张的1/2[4]

很明显,我们前文九个方程式说到底取决于剥削社会系统中工人C(这些C工人我们此后称作平民阶级)所得全部收入Ca。显然,随着Ca增加,假如付给任何精英成员的最小个体收入1/C-a+b保持不变,那么精英中就会供养越来越多的人n3。然而,可剥削的剩余价值Ca无论有多大或多小,我们的方程式依然有效[5]

前文论证是根据从可剥削的剩余价值Ca中付给精英成员的相对收入规模展开的。这些不同规模的收入是指所言社会系统中生产的商品与服务的不同规模份额。因此,从技术上讲,我们的方程式代表了根据从其他地方购买商品与服务的购买力而得到的经济权势分布状况。

然而就是由于这个原因,我们的方程式可能还也代表了可称作控制系统中相对权势分布的东西,因为更多的收入还能买到更好的各类专业建议(如,法律的、医疗的、宗教的建议),还可以根据自身喜好改变他们的环境,包括改变整个社会系统本身的目标和程序规则。为此,我们平衡状态下的控制系统(权势系统)概念根据上述方程式可能还包含在选择社会目标以及为实现该目标而选择程序方法时政治权力以及警察力量的分布,我认为这一点在我们第二个类比中变得更明显。

(二)第二个类比

我们前文第一个类比的理论论证的一个缺点在于它难以用具体术语来设想。为了避免这个困难,我们用另一个类比来重述我们的观点,该类比模仿了第九章陈述的n个不同规模P的社区这个类比。在当前情况下,社区规模P成了社会群体收入的规模A;而普通调和级数方程式中指数p固定为1。

假如我们以居住着C个农奴的较大面积地区为例,这些农奴生产出前文界定的可剥削剩余价值Ca,我们会发现,大量N1当地乡绅与雇员一同出现去捞取剩余价值Ca。由于乡绅生活相对轻松,许多人就强烈渴望进入乡绅阶级,因而使得乡绅人数N1增加到这样一个程度,即每个乡绅分得1/C-a+b份额的收入不比农奴几乎挨饿的1/C-a份额多。不同乡绅人数N1的极端增加代表了多元化力量发挥作用的极端情况。

另一方面,国王也想自己占有全部收入Ca;为此,他会用灭绝威胁强迫其辖区内的人向他纳贡。国王假如成功地获得了全部收入Ca,这将代表统一化力量的极端例子。

现在显然Ca是固定的,国王只有通过向N1个乡绅索取贡品才可增加自己收入,这些乡绅是在剥夺底层的农奴;然而,随着国王索取越来越多的贡品,乡绅数量N1相应减少,因为这么多的乡绅不会都能给国王进贡如此多的贡品。由于乡绅敲诈农奴获取剩余价值Ca,结果N1个乡绅中每一个所敲诈的农奴人数NaN1成反比例[或者,用方程式表达即为,N1·(Na)=C]。假如我们将乡绅的农奴人数Na指定为纳贡领域,那么我们会看到他纳贡领域的规模Na随着乡绅人数N1减少而增加。

纳贡领域这个术语让我们想起了第九章中相同规模P社区的(以及相同领域规模的)数量Np这个类比。其中,我们发现当统一化与多元化力量大小相等时,系统里n个不同社区按照P规模降序排列将会遵从调和级数(或者,普通调和级数p=1)的比例。在此情况下,相同规模P的社区数量Np将与P的平方成反比例(即,Np·P2=C);相同规模的领域数量同样如此。

现在问题是,第九章社区类比是否适用于控制系统,其中底层的N1个乡绅与顶层的国王之间存在一个介入阶层,即贵族阶级。我们认为每个贵族阶级y中每个成员都有一个领域y,它是由直接属下y-1阶级的Ny-1)个贵族构成。我们进一步认为每个y领域中Ny-1)个贵族都会给他们领主y纳贡,后者反过来代表自己给他本人的领主y+1纳贡。这个从底层的乡绅(即,y=1)到顶层的国王所构成的贵族阶层形成了我们的控制系统。

然而,除非我们规定从下层(y-1)阶级收集贡品以及向上层(y+1)阶级交纳贡品的比例,否则我们控制系统的动力学无法确定。由于这些比例对于建构我们系统很关键,所以我们来对一些定义和初步假设加以澄清。

首先(1)我们把任何y领主的收入Ay定义为他在从下级领主(y-1)的领域Ny-1)收集贡品且向他自己的上级领主(y+1)交纳贡品之后剩下的余额。那么(2)我们认为就从下级领主索取一定量贡品的领主数量而言整个控制系统自始至终所耗成本是恒定的。因此,任何阶级y中所有领主数量Ny与从整个(y-1)阶级的所有(y-1)领主那里收集的所有贡品数量成正比。

现在假如每个领主只给自己保留从其领域的下级领主处索取贡品的实际成本包括个人开销,并且真心实意地把全部剩余贡品转交给他的上级领主,那么每个领主,不论他的身份y如何,都会拥有同样多的收入A,位居顶层的国王将会占有全部贡品余额而无需向他人纳贡。因此,在这些条件下国王具有最令人羡慕的地位。

当然,假如从底层的乡绅至顶层的国王每个领主都从商品与服务Ca“流量”中拿走固定的收入A,那么随着该“流量”流经每个连续的y阶级领主,它在领主们y拿走收入A之后被相应“稀释”得越来少;而且由于“流量”随着y增多而相应被“稀释”得越多,结果是,随着领主身份y从底层的乡绅(y=1)增加到国王,索取贡品所必需的领主数量Ny相应变得更少了。换言之,假如所有A收入相同,那么任何y阶级的领主数量Ny都会与y成反比例,或者用方程式表达即为,Ny·Y=常数

显然,假如每个y身份领主数量Nyy成反比例,那么每个y领主的y领域规模与y成正比例,或者,用方程式表达即为,领域y=y。换言之,在任何y领主领域的农奴数量Nayy领主身份成正比,我们记得这些农奴Nay代表了y领主的最终财富和权力源泉。

可是,到目前为止我们所描述的控制系统有一个致命弱点。因为虽然我们已经提供了足够数量Ny领主从下级Ny-1)索取贡品,其中所有整个阶层的每个领主都得到同样多的收入A而且真心实意地上交贡品直至国王,但是我们没有规定每个领主的个人贪婪,他们想要增加自己的收入A,他们的经济可以理解。由于要增加任何收入A只有通过减少交纳给国王的皇家贡品方可实现,结果整个阶层都会嫉妒国王,对皇家贡品垂涎三尺。因此,假如国王没有怎么改变这个控制系统的结构,他将会被自己的部下废黜和掠夺,他的部下将会没收他的财富。

在思考国王如何可以通过改变控制系统结构来保护其财富之前,我们首先回顾一下每个y领主的y领域随着其身份y增加而增加。由于每个y领主的纳贡农奴数量Nay也成比例,这些农奴是所有权利的源泉,结果是,假如y领主们只能说服下层(y-1)阶级的纳贡领主加入y领主的反抗,任何y领主(或所有y领主)的潜在反抗Ry都与y成比例。可是,除非y领主同意与所有下层(y-1)阶级的领主一起瓜分皇家掠夺物,以增加后者各自收入总量A,否则(y-1)阶级的领主没有动力加入y领主反抗。

然而,y领主应该给他们的部下增加多少收入A呢?随着y领主增加他们部下的收入A,他们也在增加其部下加入他们反抗的动力;另一方面,y领主们因而减少了自己领导反抗的自身动力,因为留给他们自己的净收入越来越少了。假如y领主们分给他们部下的皇家掠夺物太少,那么(y-1)领主们反过来就会反抗y领主——诸如此类,直到整个阶层的底层乡绅(y=1)反抗他们上级领主(y=2),他们自己占有全部贡品,这些都是极端多元化之力的情况。

因此,真正的问题是给每个y领主阶级恰如其分的“适量”收入Ay,以便获得他们对上层阶级的支持同时保护他们不受部下的反抗。假如国王或许能够解决给予所有阶层以“适量”收入Ay这个问题,那么他也没有必要担心部下的反抗。

我们认为国王精明地允许每个领主保留与领主y身份(以及与其早先潜在的Ry)成正比的收入Ay,那么国王为自己保留的皇家收入A只与他的至高身份y成比例。通过这个简单的举措,国王会改变任何相同身份y的领主数量Ny,以至于领主们个体财富实力Ay增加统一化之力)将会与他们y阶级集体财富实力Ny×Ay减少相抵消(多元化之力)。与此同时,随着我们稍后详细见到的,由于相同y身份的领主数量Ny与其相同收入Ay规模之间的关系,y领主对于(y+1)领主的嫉妒,以及y领主对于(y-1)领主嫉妒的害怕通常使得所有阶层能够保持平衡。

为了阐明上述观点,我们注意到,一旦国王给予每个y领主以与其y身份相称的收入Ay,国王就使得商品与服务Ca向上“流量”被“稀释”的比例指数翻倍了。换言之,相同y身份以及因而收入Ay相同的领主数量Ny,不是与y成反比例,虽然以前就是这样,而是与y2成反比例;或者用方程式表达,其中yAy来代替,即为:

482-1

由于我们从这个方程式中发现482-2,而且由于给予整个y阶级报酬的总量等于Ny·Ay,我们通过换算发现,付给y阶级的报酬总量等于c/Ay。因此,总的来说,随着y身份的增加,个体报酬Ayy成正比例地增加,而整个y阶级报酬与y成正比例地减少

因此,国王越是害怕y阶级领主个体,他就越没有必要害怕他们整个集体。一般来说,随着y身份增加,领主们为了寻求保护以防范觊觎自己的下级领主通常会愈发拥戴国王;另一方面,随着y身份降低,领主们为了寻求更多收入而愈发拥戴国王。国王用这种方式制衡其部下的数量与收入,反之亦然;每个其他领主也同样如此对待其部下。

方程式(11-10),正如我们从第二章论述中得知的,是本章第一个类比里方程式(11-1)的推论。换言之,由于y身份是正整数,因此,假如所有阶层n个不同领主按照方程式(11-10)排序后根据其收入A多少进行降序排列,那么他们将会依据方程式(11-1)而分布,用当前这个类比来说,即r·A=n。这反过来与简单调和级数的方程式(11-2)(或者与普通调和级数的值p=1)一致。

此外,假如我们将n个不同领主的收入A等同于第九章类比的n个不同社区的人口规模P,那么我们当前类比将会类似于第九章社区分布的状况(特别情况下p=1)。我们稍后会发现,这两个类比如此相关以至于它们可以结合为一个“宏大”类比。

既然我们已经关注到这个动力系统的一般结构,我们来更加仔细地研究它的一些细节和含义。为此,我们首先探究局外人贪婪和冒险的动机,他想取代该系统中某个y领主,接着我们再探究y领主给他上级某个(y+n)领主展示的动机。

至于第一个动机,那个想要取代系统中某位y领主的局外人贪婪冒险的动机,我们发现随着领主y身份的提高,他的收入Ay相应提高了,于是他对胆大的局外人的吸引力也增多了。总之,y领主的吸引力与Ay成比例。另一方面,随着Ay收入增加,拥有此收入的y领主人数Ny依据483-1减少了,结果是,取代y领主的机遇Ny的减少比收入Ay的增加要快得多。

假如Ay代表动机而483-2代表机遇,那么483-3或者c/Ay代表任何身份y对于任何没有自己收入的局外人的全部净吸引力,该局外人想要取代系统中某个人来为自己获取收入A。[我们这里可以想象一个具体的类比,即一张桌子,桌子上面有n个不同的洞,这些洞大小不一且根据方程式(11-2)的比例任意分布在桌面;假如有一些小球,它们的直径等于最小的洞的直径,将它们随意投下,那么前文函数c/Ay描述了击中任何Ay面积的洞的可能性。]因此,随着Ay增加,它的吸引力在下降;拥有最大收入Ay的国王对于任何想要获得A收入的局外人最没有吸引力。

假如此局外人恰好有f个冒险者追随他帮助他,而且他必须将自己霸占的收入A分给他的追随者,那么全部净吸引力必须除以f;或者,1/(Ay·f)。因此,我们从历史上可以预期,假如抢劫者没有自己的收入,那么这些劫匪一般选择较低身份y的领主去掠夺。

不过,一旦我们认为局外人有自己的收入,那么我们实际上就遇到了第二种情况,其中,y领主已进入系统并且有自己的收入Ay,却觊觎上级(y+n)领主的收入A(y+n)[6]。假如我们认为每个领主(除了至上的国王)因此想要增加他的身份y及其收入Ay,那么A(y+n)收入的吸引力与A(y+n)/Ay成正比例,而取代A(y+n)领主的机遇数量N(y+n)484-1成比例。相反,假如我们把取代A(y+n)领主的动机乘以这样做的机遇数量N(y+n),或者

484-2

那么,我们发现全部净吸引力与c/[Ay·A(y+n)]成比例。

此外,由于收入Ay与身份y成正比例地变化,所以我们可以说任何身份(y+n)的嫉妒Ey与1/[y×(y+n)]成比例;或者

y+n)的嫉妒Ey=1/yy+n) (11-11)

方程式(11-11)告诉我们三件事。第一,随着任何两个身份y和(y+n)之间差异的增加,(y+n)的嫉妒Ey以及(y+n)对于其部下y的害怕相应地减少。所以,第二,(y+1)身份总是最受y领主嫉妒;换言之,最大的嫉妒Ey将会是对上一级(y+1)领主的嫉妒。第三,方程式(11-11)告诉我们随着身份y越来越低,对于(y+1)领主的嫉妒Ey会变得越来越大[因为,实际上,(y+1)的嫉妒Eyy·(y+1)或者与(y2+y)成反比例]。

因此,随着身份降低人们对于直接上层阶级的嫉妒快速增多;同理,随着身份降低人们对于自己部下的怀疑和害怕或者人们的身份不安全感相对就会增加。相反,随着身份提高,人们对于上级的觊觎以及对于部下的怀疑和害怕相对就会减少,结果人们的身份自满感(即,身份不安全感的倒数)将会增加。

身份不安全感以及身份自满感这些概念从心理学上看很有意思。直接领主(y+1)的嫉妒和觊觎造成的一个影响就是使得所有奇数y身份(即,y=1,3,5,…)的领主与所有偶数y身份(即,y=2,4,6,…)的领主双方之间产生了一个自然的亲和力。这反过来就可以解释常见的一种现象,即有人觉得自己的老板(y+1)是一个“无能的马屁精”而他老板的老板(y+2)是个真正的好人却遗憾地给(y+1)蒙骗了。不过,y要是向(y+2)抱怨(y+1)却是很危险的行为,因为(y+1)反过来会向(y+3)抱怨y和(y+2),结果这两个人中有一个或者两个都会从整个系统中被开除,因为他们是不“合作”的“人格有缺陷”的“麻烦制造者”4。潜在的叛乱在于身份为y和(y+2)成员之间的纵容行为。

总的来说,不论y对于(y+1)的嫉妒Ey可能有多大,(y-1)对于y的嫉妒Ey-1)只会更大。因此,(y+1)对于y的疏松防范引发了(y-1)对于y的防范。这个系统中所有阶层都是如此。

所以,每个“y包厢”里的每个领主y对于每个“(y+1)包厢”里的上级领主(y+1)都心存嫉妒,全部阶层从下至上一路如此,相应地,上级“包厢”对于下级“包厢”都不信任,全部阶层从上至下一路如此。随着我们走向更高身份的“包厢”,身份自满感越来越多;随着我们走向更低身份的“包厢”,身份不安全感越来越多。我们在后文将会发现,这些较低身份的领主们以及身份不安全感更强烈的领主们是现有制度习俗的主要维护者。他们受到来自将要跻身上流社会的人的最大压力,而且他们似乎代表了冒险革命者最容易攻击的地方。

现在我们回到下属的相对规模Sy这个问题上,每个y领主为了从其Ny个(y-1)下级领主处收集贡品必须保有这个相对规模的部下,我们记得,从底层乡绅到顶层国王之间商品与服务的“流量”Ca一直被“稀释”,这个稀释的速度与y身份的平方或二次幂成比例。这是因为这些y领主的收入Ay与他们从(y-1)领主处榨取的贡品不相称,却与他们的y身份相对称。因此,y领主为了从其领域的(y-1)领主处索取贡品所必须拥有的部下相对战斗力Sy按照y身份的平方根而变化,这与Ay收入的平方根是一致的,或者,

485-1

这个方程式理论上看很有意思,假如我们认为Sy代表y功力的比率,那么Ay则代表y报酬的比率。因为,在此情况下,作为一般命题,报酬比率Ay可能随着功力数量Sy变化而变化。这样的方程式可称作“平方效应”,它在社会研究中具有重要价值(例如,“与风险平方根成比例的报酬”?)。

然而,y领主在雇用自己部下之后绝非高枕无忧,因为其部下Sy既垂涎y领主的收入Ay又有力量推翻y领主。因此,y领主必须买通部下,赋予他们一定的身份地位,该身份地位类似于我们刚才所言领主自身的身份地位。我们不去讨论个体下属的身份地位细节,我们仅仅指出,假如y领主付给其下属“太少”,他将会领会到老古话的分量:“时刻警惕你的副指挥”(这与“警惕你的直系下属”相去不远)。

到目前为止,以上论述与我们第一个类比相同,继续该论述,我们可以推理出第一个类比从(11-1)到(11-9)的所有九个方程式。我们记得这些方程式表示了一种稳定平衡的状态,其中,每个人嫉妒他人,并且既想给自己的上级少纳贡又想从下级多要贡品,可是没有人能够两者兼得。结果领主从思维上便信靠了手足之情和宗教之善,同时又在彼此地盘捕猎,而他们的妻子一边模仿上级的太太们,一边却又取笑下级太太们的自命不凡。只要Sy增加不超过486-1,那些位居上层人士无需担忧;只要Sy减少不低于486-1,那些下层人士便能自咽苦水。假如我们的方程式难以为王室所理解,那么反抗将会彼伏此起直到某些能够“理解”这些方程式的反抗者血迹斑斑地登上王位建立并维护新的和平秩序。

第二个类比带给我们的方程式与第一个类比相同,正如我们当时所指出的,该类比与我们第九章为社会系统中人口P规模的n个社区所提出的社区类比十分相似。为了生动彰显我们早先的社区类比与当前的领主类比之间的关系,我们来请那些令人满意的领主帮个忙。

因此,让我们这样说:“亲爱的领主,您给自己建造城堡,花掉您C个农奴为您创造的可观收入Ay;不过要记住,功力必须最小化。”[7]

每个y领主立即在自己y领域的最小—功力中心建造自己的城堡,在这个中心他“把自己收入Ay花费”在城堡以及商品与服务上(包括他的随从),花费的比率是其y身份的函数。而且第九章的类比、方程式以及整个论证同样立即被吸收进这个新的“宏大”类比中,该类比还包括本章的类比、方程式以及论证。因此,这个新的“宏大”类比不仅指人员、原料以及商品与服务的流动,而且涉及造成这些流动的“能量”的分配。

虽然我们这个全新且更包容的“宏大”类比的详情显而易见,但是我们仍要指出某些特别有趣的方面。首先,每个y领主的产品就劳作的“农奴”(或平民)而言与每个y领主的Ay相称;因此,城堡附近的人口P将呈调和分布。其次,这些“农奴”必定受到y领主所雇“老板们”的剥削,结果便产生了城堡控制系统,该系统的动力学类似于Sy随从的动力学;因此一位y领主能够拥有的不同产品数量my与其收入Ay的平方根成正比。此外,第三,假如我们认为领主用他们各自收入A从别人那里购买商品的话,各领域的(y-1)领主与y领主以及(y+1)领主之间的贸易将会遵从第九章商品交易的方程式。不过,在此情况下,随从的“流动”将服从利润的“流动”,其中,更高y身份的领主在他可能进行的任何交易中收获利润。

我们提及上述几点不是因为它们非显而易见,而是因为它们给读者审阅该类比时提供了更多问题(例如,根据常数k计算出的P社区范围内收入的调和分布状况,k随着P变化而变化),因而它们既拓展了我们的研究领域,又把我们的研究领域整合在一起。

此时,我们注意到虽然该类比是根据收入A而提出的,不过经过必要细节修改后它也适用于资产的分布,我们一旦探究不同y领主的城堡及其生产设备的各自“资产价值”(无论是根据资产替代成本,还是根据他们的雇员人数,还是根据资产化的固定比率),这一点就更加明显。我们反思后发现y领主的“资产”与其收入Ay成正比,结果我们的方程式可以描述群体资产以及个体资产的分布状况;这在动力学上也好理解,因为y领主的财富会诱惑别人来抢劫他掠夺他,这种可能性与其资产Ay的比例关系等同于与其收入Ay的比例关系。

顺便说一句,我们当前的“宏大”类比有更多的可能价值值得省察:任何稳定平衡状态下的任何控制系统里,普通调和级数方程式的指数p值,对于群体收入而言固定在1(对于个体收入而言固定在1/2),此乃事实。这反过来可以解释,p=1这个值为什么可以表示社会系统里n个社区之规模P的序列—频率分布时的平衡状态。我们记得,在第九章我们没有解释为什么p=1这个值应该表示平衡状态。另一方面,以免我们急于教条化,我们还记得,我们发现有些情况下系统社区规模P的序列—频率分布的p值小于1(例如,印度以及19世纪的德国)。在我们“宏大”类比让人满意之前,必须解释这些更小的社区p值。

这些小于1的社区p值的一个可能解释是,它们没有达到我们社会系统的标准。为了阐述这一点,我们简要概述p值小于1的不同社会系统。

我们认为每个领主属于两个阶层,帝王阶层宗主国阶层,后者包括大量的帝王阶层。每个诸侯在给自己保留一些收入的同时要给两类上级领主纳贡,因此实际上有三大力量。由于每个阶层为了推翻另一个阶层可能联合另一个阶层中地位较低的诸侯,假如没有反抗,这三大力量将处于平衡状态。然而,就不同人口规模Pn个不同社区而言,这三大力量似乎将会导致整个帝国的普通调和级数的p=2/3值,因为宗主国的统一化之力实际上受到了帝王与诸侯联合力量的反抗,后者共同扣留了交给宗主的贡品并因而朝着双重多元化之力前进。无论怎样,p=2/3这个值好像描述了最近印度以及早先德意志帝国的社区分布状况,这一点通过检查第十章的数据明显可见。两者可以看作是宗主国—帝王系统[8]

然而,这个理论上的p=2/3值,为了方便起见我们称之为宗主国2/3斜率,它代表了一种高度不稳定的平衡状态,因为正如我们已经观察到的,总是存在机会去挑拨一个阶层反抗另一个阶层,要么支持宗主要么支持帝王,以便消灭反对阶层以及更加强大的一体化。德国的过往历史和印度的当前历史都可以代表当地国王和王子败给“宗主”(即,单个一体化)的状况。因而p=1这个值表示最终的稳定。假如宗主败给当地国王,同样的p值也会出现,除非当时存在大量不同控制系统而不是一个控制系统[9]

根据我们的论述,长期来看p=1这个值代表稳定平衡状态。不过有趣的是,其他系统也可能存在,在该系统中我们理论上的统一化之力多元化之力的不同整数值代表了暂时的稳定平衡状态。

由于移动物质到一定距离需要物理力量,所以在我们类比中商品与服务的生产与分配不断消耗物理力量。然而,我们的类比还指强迫人做事时的潜在能量的分配——一旦打破平衡,这个潜在能量就会变成实际强制力量,而且该能量只有在回复平衡之后才会不再被消耗(自愈能力)。总之,力量回复了平衡。不过在我们类比的潜在能量实际强制力量之后存在经济这个概念——让他人做自己工作的经济。因此,对我们类比最重要的是,可被称作经济能量分布的东西,我们对此试图用相对社会身份加以解释。

在当今美国如何合理分配收入,如美国公司不雇佣士兵,我们当下类比对此有多少作用是个有趣的问题。然而,假如我们把“合作精神”看作统一化之力,该力使得公司规模越来越大数量越来越少,而且假如我们把“竞争精神”看作多元化之力,该力使得公司规模越来越小数量越来越多,那么我们发现,在A公司收入的数量及规模上以及在具体工作人员的薪酬上我们以前的类比具有一定适用性。因此,所有这些类比的方程式都适用于公司收入(包括合伙人收入)以及个人收入;而且我们必须设想社会系统中一个人或一群人有机会选择要么加入某个现有的生意,要么打造一个有竞争力的生意。

由于上述关系在我们的类比看来十分显然,所以我们对此不展开论述,我们认为归属于公司及其管理人员甚至公司股东的各自收入,理论上看,构成了一个微妙的平衡,那些不能正确解决问题的人面临着破产危机,而那些成功解决问题的人将收获更多的竞争优势。

因此,我们的方程式可以表明什么才是“合理的”利润,一个“合理的”工资报酬因而也表明了,在一个基于财经力量而不是士兵力量(间接地除外)的控制系统中什么时候适宜罢工和停工等斗争。

的确,控制系统可以不是在财经或军事力量的基础上发挥作用,而是在个人意志普遍存在的等级次序的基础上发挥作用,或是在一个允许人们死于贫困的等级次序的基础上发挥作用。因此,在宗教次序中,没有谁拥有财产,大家都拥有同样的习惯、食物和住所,在这样的次序中,控制系统可以基于亲缘和权力参与政策的制定或代表该群体。此外,万一有成员乘雪橇遭受狼群追咬,我们的方程式可以表明从下而上的等级次序,该成员在这个次序中被抛弃。万一有成员拥有办公室的徽章,该徽章的频率分布从理论上讲应该是我们方程式的频率分布——这个因素似乎与第九章论述的职业频率分布有关联。

确实,拥有任何可能诱发差异的荣誉标志,或者拥有任何可以执行令人敬畏的文化仪式的特权,都代表了拥有我们所说的这个控制系统的资本和权力5

在控制系统的底层,以及作为基础,任何情况中理论上都有c个“农奴”或平民,在他们的基础上形成了精英阶层,并且精英与他们密切相关[10]

二、精英—平民关系

前文论述主要是指精英组织的动力学,只有少量涉及平民阶级,后者提供劳动力受精英剥削。现在我们将注意力转向平民阶级,特别是平民阶级与精英之间的关系。

为了论述更加逼真,我们认为精英成员可以源起任何地方;即,他们可能来自系统外部,或者来自系统内部,是精英或平民阶级的后代。该假设从历史事实来看显然十分有道理。

我们进一步认为,所有人都欲求增加各自的相对收入,即他们工作的相对回报率。该欲求并非意味着个体收入本身将要在Ca领域最大化,而是意味着个体收入相对规模的增加使他相对更有能量有利于己地改变环境。换言之,人们通过增加个体收入节省功力。

记住这一点,我们将探究增加个体收入的各种个人的和集体的办法,这可以从我们前文方程式中推理出来。今后,Ca不再是固定的。我们接下来的探究包含四大方面。首先(1)我们探讨增加员工C规模的经济,这一点我们在前一节已提及。接着(2)我们将审查减少付给人数最少的精英成员以报酬的经济。再接着(3)根据以上两种经济我们将推理论述什么是重要的激励指数定律(the Exponential Law of Incentives)——这个主题时下十分有意义,因为我们见证了当下建构全国社会系统的尝试,奇怪的是,在这个系统里根本没有激励机制。接下来(4)探究在整个可剥削的Ca剩余价值中盈余a规模增加的经济。那么,最后(5)我们将简要描述设计特别道德准则的精英经济,它使精英地位神圣化且蒙蔽平民阶级[即,花衣魔笛道德(Pied Piper Morality)]。

(一)增加C的经济

增加个体收入A的一个方式就是增加全部纳贡人口C的规模,这一点我们在前文已经指出;因为通过增加C,我们增加了CaCa的增加会成就两件事。首先,它会增加所有精英成员的绝对收入(假如我们认为底层精英收入1/C-a+b保持不变)。其次,它会增加可能被吸收进精英阶层的人数n3,因此每个平民成为精英的机会增多了。由于这两个因素,C的增加是社会系统中每个成员可能收入增加的一个方式。

由于那个原因,拓展疆域的扩张计划往往广为人爱。自然,上层精英成员从成功的冒险中获利远胜过他人,因而理论上可能成为主要的好战分子。不过,平民阶级同样可以获益,他们跻身上流社会的机会也增多了。我们还不要忘了,成功扩张之后,旧部下和新部下的招募都将从平民阶级中频繁选拔,而那些在战场上英勇的以及狡猾的平民就会脱颖而出,英勇和狡猾是成功的精英成员永远必需的两大特性。

平民阶级的等级和档案,如果看作一个统计集合,从扩张计划中可能毫无收获。但是,万一扩张计划惨败,同样他们也没有多大损失,因为,例如,农民仍要驱牛耕种,只是给新的领主纳贡而已。另一方面,上层精英成员在不成功的冒险中可能招致杀身之祸,因为他们作为“战犯”、或是“人民的敌人”或“民主的敌人”或是“侵略者”而被处死——或者是以胜利一方精英可能想出的任何“道德—法律”罪名而被处死(参见第5节花衣魔笛道德的论述)。

(二)减少b的经济;身份不安全感

我们暂时将(1/C-a)定义为留给每个受剥削的平民阶级成员C的收入。我们把(1/C-a+b)定义为付给精英阶级中n3个不同成员最低报酬。此外,我们在提出前一节类比时发现,所有非精英阶级成员想要挤进精英阶级会带来巨大压力。该压力造成的一个影响就是取代无能精英成员。另一个影响是减少b的规模,这一点我们已经指出,那么(1/C-a)和(1/C-a+b)之间的差异可以忽略不计,结果导致精英成员n3将会尽可能地多起来。的确,是外来者通过减少n3想要成为精英成员不断带来的压力才导致了b的减少[11]

由于b非常小,贫穷的“精英”与平民之间的实际差异可能主要是荣誉和感觉而已。除此之外,贫穷“精英”的实际物质生活甚至比平民还可怜,因此,这就表明了贫穷“精英”相当强烈的身份不安全感身份焦虑,这一点前文已作阐释。由于这种越来越多的身份焦虑,平民企图挤进精英阶级总会受到越来越多的孤傲的传统偏见的无情排挤,因为任何成功挤进精英阶级的尝试都有可能淘汰某个可怜的“精英”。

相反,上流社会有其相伴的满足感往往更加包容——直至一定程度。

身份焦虑身份自满的这些差异对于理解激励这个问题很重要。

(三)激励的指数本质以及平民报酬的频率—分布

我们在前文论述中已经指出,精英的社会和经济安全感一般随着其收入减少而降低,同时因而更接近平民阶级。这种随着相对经济地位或社会身份变化而改变个人对社会看法的因素引出了激励的指数本质这个有趣问题,大量的社会现象都与这个问题相关。

1. 激励(指数定律)

针对激励本质的研究,我们首先审视所有精英收入按照固定百分比减少所产生的影响,比方说减少90%。这里我们指出两个要素:首先,所有收入都是以一定百分比而缩水,其次,越来越少的精英个体收入以更快的绝对速率接近甚至突破底层贫困线(1/C-a)。

为了阐述这两点,我们认为较低的生存阈值或者1/C-a大约为500美元或任何其他某个值。我们假定所有精英收入减少90%。

于是,一百万美元收入减少至十万美元;十万美元收入减少至一万美元;一万美元收入减少至一千美元。所有这些人显然还能活下去,而且其中很多人还能体面地活下去。此外,每个人都会安慰自己认为所有其他精英同样过得不如意,这一点没有错,因为他们都是以同一个百分比减少收入。

然而,这个安慰对于那些本来年收入低于5 000美元的人而言不起作用,因为减少90%后他将在500美元的贫困线下而无法活下去。

虽然收入以固定百分比减少本质上将会相应减少所有收入,不过它会把n3个精英成员的贫困线以上的“安全坐垫”降低,这种降低的速率与他们相对少量的各自收入成正比;这不仅适用于贫困线而且也适用于任何其他某个水平。

另一方面,假如有人想要把整个精英阶级以同样比率降低至(1/C-a)的平民水平,这样所有精英成员瞬间跌至这个收入水平,那么收入可能以对数方式(或者换个说法以指数方式)而减少,也就是说,普通调和级数的指数p将会从1/2不断降到0。在这种情况下,所有精英成员都会立即以相同速率接近较低阈值。

反之亦然。精英个体收入以任何百分比增加或者任何绝对增加,如果增加的比率与其收入成反比例,当为人所“悦纳”。因此,例如,一周涨十美元对于收入越来越多的人而言愈发不会悦纳,这在指数上也是如此。因此,假如收入增加同样为所有精英成员所“悦纳”,那么这个收入增加应当遵循其收入的固定幂(即,它应当是指数式的增加),相反,假如精英成员同样受到限制也会如此(参见下文对于征税的论述)。

一般来说,激起精英成员一定回应所必需的收入数量增加将会与成员个体收入的幂成正比例变化(反之亦然)。

或者,如果人们愿意的话,激励y是收入x的一个指数。为了方便起见,我们称此为(理论上的)激励指数定律,果真如此,该定律对于许多不同现象颇有价值6

因为虽然我们主要认为,为了让人完成特定工作要消耗一定量的额外功力,他必须得到与其收入的幂相称的奖赏,不过,这个相同观点也适用于任何试图激起他一定量的感激和青睐(或者“赏识”),或者恢复他一定量的“自信”,或者平息他的愤怒,或者安抚他焦躁的神经,或者诱发他在任何文化或非文化领域做出(或不做出)一定量的工作。

因为我们认为,从理论上看,所有非货币或部分货币控制系统遵守相同的双对数动力原则,所以,相同的理论定律可以有望适用于y程度的奉承、差异等等,后者是激励所必需的。总之,指数定律理论上讲描述了所有社会活动中所有社会刺激与反应[12]

的确,展开论述,这个理论上的激励指数定律与方程式(9-2a)所论述的社区人口P增长可能相关。它也可能与单词和短语以及其他文化符号的“流行”频率变化有关,我们在第三章论述了后者与普通调和级数之间的关系。这反过来导致时尚和流行的盛衰,对此我们将在下一章详述,在此之前我们要完成对收入和报酬的论述。总之,理论上的激励指数定律应用范围相当广泛。

2. 平民报酬

假如我们明确认为平民阶级成员在技能和力量上各不相同,事实好像如此,那么他们各自的收入也不会是1/C-a,因为精英成员为了获得最有价值的平民服务而相互竞争。这个竞争就是给技能更强的平民提供更高的报酬作为额外的激励。

不过,由于精英结构差异,并非所有精英成员都能给特定服务付相同报酬;因此,为了赢得平民服务而展开的竞争也不尽相同。因为根据激励指数定律,假如要感觉一样的话,精英成员付出成本在指数上必须是相同的。因此,例如,付给厨师每月的一百美元报酬对于收入越来越多的人而言似乎越来越低。

然而,假如为了获得平民服务而展开的竞争不尽相同,但是根据我们方程式的收入分配,付给平民的实际报酬大体上往往是以指数来指定的。因为虽然精英尽可能便宜地获得平民服务,而且虽然平民各自为政就是要到出价最高的人那里,不过,精英在付给“相同”报酬时往往也是根据指数来付的。因此,平民报酬的序列—频率分布是算术—对数的,序列r以算术标绘,与以对数标绘的报酬y相对应,或者:

r+(c log y)=常数 (11-13)

这个方程式并非意味着平民能力或人类能力在这个世界上是呈算术—对数分布;相反,就任何称作“智力”的东西而言,人的智商是根据常规曲线而分布(即便人们有时候怀疑横坐标单位不是算术的,因为智商100与智商60之间的差异似乎不是智商61与智商60之间差异的40倍,甚至考虑到测量的粗糙度)。方程式(11-13)也并非意味着相同单位的相同商品(如,煤或汽油)对于精英来说单位成本就高。然而,它的确意味着农奴或竞拍的油画一般是以指数来定价的,而这两者的贸易单位是不同的。

因为虽然为了特定商品或特定服务精英中没有谁愿意比别人多付钱,不过对于有质量差异的客观上没有可识别的实用价值单位的东西,“奢侈”商品或“名牌”商品常常如此,购买者的价值判断可能根据其收入多少在指数上有偏见[13]

3. 人身伤害

理论上的激励指数定律也适用于个人责任索赔的解决。个人责任索赔在我们看来是指原告要求被告给予赔偿,被告因过失给原告造成伤害,这在社会规则中有界定。

为了客观地对待这个问题,我们仅讨论汽车责任损害这个特定案例,假定每个车主购买了“足够”金额的强制责任险。(根据这个假定,我们排除了可能的汽车所有权这个问题,以及车主可能的支付能力这个问题。)汽车造成的这些人身伤害由保险公司负责。

这里我们发现,伤害这个问题不是瞎眼或断腿的“固有”价值,因为恐怕没有谁不珍惜自己的躯体,不希望与他人一样活动自如。确实,这个问题涉及(1)被告的相对财富,这一点关系到他是否雇得起一流律师将自己案子提请高等法院审理,还涉及(2)付给原告足够令其满意的人身伤害赔偿金(这里便有激励指数定律)。

假如我们认为蒙受特定损害的可能性在人群中任意分布,那么不同收入的人蒙受损害的可能性将会依据方程式(11-9)分布,其中p=1/2;而且这个方程式也能测量人们敦促维权的能力。不过,它不能测量解决纠纷的规模,各个原告都要对解决满意,因为这些解决程度必须根据收入在指数上调整,假如所有原告都要满意的话。

假如我们的第二个类比是正确的,大意是报酬随着“sy能力”的平方而变化,那么责任诉讼的解决根据被告收入的平方成正比例变化。因此,责任赔偿解决规模的序列—频率分布将会遵从方程式(11-2),其中p=1。

因此,例如,由于激励指数定律,像洛克菲勒这样的富人没了脚要比出租车司机没了脚会得到更多赔偿。关于这一点,我们不要忘了被告律师也会受制于激励指数定律,因为他要计算诉讼成本以及打赢官司的概率,他要先打量一下他的委托人而后提出他认为“合理的”解决方案的建议。(我们让读者自己思考控制系统中法庭的立场,以及法庭对于富人和穷人的不良行为所判罚款和刑期的频率分布。)

以上论述适用于汽车责任保险赔偿纠纷的解决,并非一定适用于火灾保险和人寿保险的纠纷解决。至于火灾保险,假如我们认为所有人都对他们的住所及其附属建筑物以更换它们所需成本的固定份额而投了保,而且假如我们认为全部火灾损失或者火灾损失的特定比例存在的可能性是任意分布的,那么火灾纠纷解决规模的序列—频率分布将遵从方程式(11-9)(即,p=1/2),要是每个人,根据我们的第二个类比,确实有“房子”(或“城堡”),它的价值与这个人的收入相称9

人寿险也遵从同一个方程式(11-9),因为人寿险是必需的,一般与收入成正比例变化。

以上理论预期的经验检测稍后在第二部分加以陈述,它包括对我们激励指数定律整个理论的有力支撑以及在收入和财产方面的经济能力分布状况。

4. 追随“流行”的指数吸引力

与我们前文论述以及下一章将要论述的时尚问题密切相关的是潮流引领者的吸引力,这些引领者可以说是“没有什么比成功更能造就成功”。因为随着追随引领者的人日益增多,引领者的能量也就越大,而加入其团队对于别人来说相应地更有利。这大概就是俗话说的“从众心理”的动力学,其指数如雨后春笋般地增长。

不过,如果全部进取心都徒劳无益或者预期奖赏配不上追随的规模,这个同样的指数功能从理论上讲反而可以适用于追随流行导致的损耗。既然那样,追随者们将从“从众”的高峰上爬下来,并且其指数越来越大

当然,假如冒险有望越来越成功而且回报大,那么其领导者基本上毫无例外将被迫诉诸“清算”和“净化”(借用近期斯大林—罗斯福的话),主要直接针对其早先关系密切的追随者和同谋者,这样该领导者就可以把自己机会主义的潮流追随转变为一个更加长久的控制系统,在此系统中潮流领导者在早先革命运动中独占鳌头,而这个革命运动现在汇聚成了一个精英团体。假如领导者的“清算”和“净化”很成功,那么他最新创造的精英们将会按照我们早前那些方程式获得奖赏。

5. 征税与官僚精英

显然,假如征税对于精英成员而言“合情合理”,理论上讲,征税本质上是按照指数来进行的,因为对收入或财产征收统一比例的税终究主要是征收低层精英收入,因而不公平地减少了精英们的生产积极性。的确,正如我们在前文指出的,收入的任何百分比减少,无论是从征税还从其他途径,都会愈发打击低层精英们(或者小资产阶级)。这个压在低级精英身上越来越重的负担可能导致双重危害,因为低级精英煽动的任何正确的改革无意中都可能打开一扇影响深远的革命之门10

双重征税制度,也就是征收公司收入税同时征收公司老板个人收入税,可能其中隐含了前文提及的固定百分比的个人所得税。因此,征收公司收入税对公司老板、股份以及类似股份的东西会产生相同的效应。假如这些股份像所有其他资金财产一样按照方程式(11-9)分配到个人,那么公司征税的负担就会像固定百分比征税一样减弱[14]。假如不想导致固定百分比征税的效应,公司征税因而应当避免。

征税可以遏制人们奋进,同样免税可以促进人们奋进。因此,例如,假使社会制度想要通过给每个新生婴孩免除一定量的赋税鼓励人们生育,那么它就必须仔细权衡免税的比率。对于所有人施行统一比率只会鼓励低层精英生育,根据指数免税将会同等地鼓励所有人,随着每个孩子出生而在指数上增加的按指数免税会让高收入群体乐于生育[15]

征税的最终影响未必是遏制系统的生产能力。的确,假如税收用于提供学校、警察和消防等满足所有人共同需求的诸般服务,那么征税绝不是在遏制生产动机。相反,它当归属于激励生产的名下。

另一方面,税收给政府代理者提供收集和消耗的全部可分配资金,就是这个事实本身可能导致形成了政府官僚精英,他们通过销售自己的偏爱来积聚权势并最终构成了独立的控制系统。官僚精英的目标会是增加税收,而达到这一目标的主要手段就是假借各种公共资金的名义从平民阶级中购买一批追随者,公共资金主要来自从生产精英们身上征收的税收,而官僚精英们对于这些生产精英却是既诋毁又威胁。

假如官僚精英发展壮大,它的等级制度可能马上代表了本章开篇所称的帝国等级制度(我们记得帝国斜率是2/3)。换言之,官僚精英的奖赏力量等同于管理奖赏的力量。我们已经指出这种三角的社会制度安排存在长期的不稳定性。最终,要么就是生产精英推翻官僚精英再度掌控政府,要么就是官僚精英取代生产精英承担其管理职能。无论哪种情况,单一控制等级制度都会产生,对此我们的方程式将会加以描述。

从历史上看,如果不加审视系统中的收入分配情况,恐怕很难断定实际掌权的是官僚精英还是生产精英。因此,皇室和皇家军队可能控制着商业,或者他们捆绑着商业钱袋子,因为人们当时从外表即可看穿这一切。不过长期来看,无论如何,生产精英会胜出并进而控制皇家军队,而皇室可能得以保留,就像英国那样,只不过是保留一个有用的传统中产阶级道德以便让平民以及在智力和社会上缺乏安全感的人去膜拜(参见下文对花衣魔笛道德的论述)。

到目前为止,我们还未谈及平民阶级的赋税问题。理论上讲,对平民阶级的任何征税都会落到精英头上,因为归根究底它都会减少精英可剥削的增量a。因为虽然加工税或营业税可能都是由消费者买单,而这些消费者大部分是平民,理论上看,结果就意味着平民薪酬必须要相应地提高(即,增加净收入)。假如平民们被这些间接税糊弄了,精英似乎更被糊弄了;正是低层精英承担了最多的间接税,而我们认为革命的最大威胁就是来自这些低层精英[16]

我们捎带提一句,为了征税而评估房地产给我们激励指数定律提出了一个更有意思的问题。指数因子这个概念在评估时不可或缺,这一点由马萨诸塞州剑桥市的知名房产评估师约瑟夫·C.莱顿(Joseph C.Leighton)先生间接提及:“假如有人评估提高了一毛钱他就当抱怨;否则就一直高估直到他的确抱怨了。”可是,评估提高到多少房主才会不嫌麻烦提请减少并且上诉到上诉委员会呢?

与房地产估价这个问题密切相关的是其贬值率问题。我们记得,贬值包括财产物理劣化又包括其他因素导致其废弃不用。在莱顿先生看来,居住房屋的贬值率就再销售而言一般随着其成本增加而增加,正如莱顿先生所言,“能够买得起更贵房子的人越来越少了。”这里似乎再次见证了居住单位贬值率的指数因子,尽管这个问题显然很复杂[17]

6. 资产分配

我们在第二个类比中表明,个体资产和集体资产的分配在理论上与个体收入和集体收入的分配是相同的。假如我们再次提及资产这个问题,那是因为它也是在激励指数定律的名义之下。

收入分配和资产分配关系密切,这一点不言而喻,要是我们记得资产所有权基本上就是对工具和代理者的掌控,而这些掌控可用来为了那些掌控者的利益而改变环境;资产的一个特征就是为其“所有者”带来收入的能力以及为其“所有者”吸引他人的顺从。所有权这个术语在社会系统中除了有更多或更少地掌控着该实体这个意义之外是否还有其他意思有待商榷,不论这个实体是不是真实财产或个人财产,是不是家庭成员或者甚至人本身。(的确,当代历史不会议论这个看法。)

理论上讲,从以上论述中还可以得出其他几个因素。因此,例如,无论是什么作为贯穿整个系统的资产——不论它是你的员工还是你的房屋——都是根据相对价值呈直线分布[18]。此外,长寿、健康的身体、良好的教育或者免受牢狱之灾等等,所有这一切都因人们对环境掌控的程度提高而增强,它们都与人们的财富成正比。

然而,在资产方面还有一个因素,假如我们认为所有群体和个人除了防止意外和贬值之外为了扩张都在储备资产。由于这些扩张储备在控制实际发生之前只不过是可能的生产资本,那么我们通过把群体和个体的p值稍微在他们各自的1值和1/2值之上增加一点,这些扩张储备的存在可能稍微修饰了资产的序列—频率分布,假如我们基于激励指数定律认为扩张的冲动是个例外。我们提到这一点是因为第二部分的资产数据揭示了实际斜率比理论预期的稍微大些。

7. 文化“系统发生说”

乘我们还在论述激励指数定律这个一般主题的时候,我们来简要指出,在因财富盛衰导致人的地位升降之后,智力僵化会影响人的行为,这一点在第一部分已作论述。我们记得,由于年龄增长造成智力僵化,人的早期习惯可能得以固存。

由于这个延续的早期习惯从理论上看一般也保持了早期身份的指数激励比率。因此,新富之人要么可能继续一分钱掰开用就像以前贫贱时一样,要么过分补偿自己大肆挥霍与现在身份不相称。同理,要是有人从高位跌落下来可能也很难缩减自己的开销;此外,他还可能愚蠢地低估了新机会的价值,因为他错误地用过往高姿态评判这些新机会,却不知今非昔比。

由于用先前身份作评价的这种持续论很常见,所以我们用文化系统发生说这个术语加以描述。父母给子女应该讲述多少自身节俭和奢侈生活在系统发生说上是个有趣的问题;成功的革命者在多大程度上还会继续怀疑每个穿戴“白领”的人以及继续不必要的“净化”也同样如此。

8. 小结:激励指数定律

我们在前文已经概述了我们认为激励指数定律的各个方面,即便有时只是简要概述,该定律果真正确那么当在人类生态学中十分重要,因为它表明了我们追求或囿于人生意义所凭借的比较力量。人生这些意义,我们在第一部分讨论过了,大概在我们的行动中持续不断无处不在;那么,理论上讲,控制这些人生意义得失与共的激励程度的原则也同样如此。我们提出的原则或者理论定律与激励得以增加的比率有关,而后者又与行动强度的增加比率有关。

(四)增加可利用的增量a的经济;作为资金创造者的精英

我们一开始就认为,每个平民中可利用的增量a是个常数,但是,我们即将明白,就实际商品和服务而言这样一个常量a绝非如此。

因为如同精英有持续不断的动力放任追求扩张计划来增加C因而增加全部可利用的Ca剩余价值,精英同样有着相同持续不断的动力去提高增量a,这样的话,Ca也得以增多。提高增量a的动力可被称作精英创造性,因为归根究底增量a只有通过发明更有效的工具和技能才能得以提高,这一点经济学家早就指出,而且卡尔·斯奈德(Carl Snyder)博士已作详细论证13。正是精英作为资金创造者的角色现在引起了我们的关注。

理解精英作为资本创造者角色的一个办法就是,首先认为每个个体自己生产所消费的全部东西并且自己消费所生产的全部东西;这种状况就是多元化之力的极端情况。其次,我们认为有个强人来了而且从他的每个邻居C那里征收某个东西即增量a;此时统一化之力开始发挥作用。

这个强人在一个或两个方面使用他如此剥夺而来的收入Ca:他会把它花掉,或者进行资本投资。为了加快我们的论述,我们认为他至少投资了一部分。例如,他建造了一家面粉厂。

这个面粉厂为整个村邻节省了劳力,因为他磨出的谷物要比劳动力C更加经济;由于劳动力C全都要劳作同样多的时间,显然在这相同时间内面粉厂要磨出更多谷物。所以,可剥削的增量a以及盈余Ca也会增多。

这个强人再从盈余中提取利润;而且他会再次将这些利润投资到更先进的生产设备或更发达的交通工具上,或者更强大的防御上,因为他的这些奴仆越来越成为有价值的资产,值得小心防备和呵护。这些奴仆C仍进行相同的劳作;唯一的区别在于他们使用更加有效的工具和技能,而工具和技能是一个(或一群)比他们力量更强壮视野更开阔的人所强加给他们的。

上述这个故事在经济学史上为人熟知。假如我们进一步阐述这个故事,我们应当发现自己进入我们在第九章呈现的有关地理经济的其中一个类比——因为这个强人试图通过更特别的工具和劳力来增加Ca[19]。但是我们不去进一步阐述这个故事,相反,我们首先审视这个强人在投资自己剥削所得时的动机,其次接着审视其地位所固有的不足之处。

迫使这个强人储备和投资其部分收入的一个重要动机是,他这样做会更富有更强壮,因为他必须保护自己防备山那边的第二个强人。的确,正是这个强人争取更多成功的防御和扩张促使了新工具和技能的开发以便带来更多的a。正是重视开发新的防御和进攻武器才派遣间谍到境外去获取其他系统里最新的致命发明成果,虽然聪明的领导者也会谍取所有提高日常生活水平的全新发明成果。因为,所有这一切对于这个强人都有利:土壤得以善耕,道路得以修复,人民更加安康,能人可以得到良好培训去完成职责去创造更有效的工具和技能,以便提高这个强人的防御和进攻水平,同时以便赋予这个强人更多的感官享受使其心智愈发平和。因此,看起来奇怪的是,正是这个强人害怕和攻击的竞争心理利用平民迫使平民越来越有效地为其所用,从而创造并推进了物质文明、精神文明和艺术文明。只要有些人天生比别人更狡猾更强壮,他们就会迫使别人为其所用,那么增量a便多了起来。

不过,当他的财富和权势随着他的奴仆人数C以及增量a规模的增加而增加时,这个强人的处境也存在不足之处。因为随着这个强人的控制系统在规模和门类上增多时,他必须越来越依靠其他强人获得行政和管理的帮助,而对于这些其他强人他还必须倍加防范。相同的教育使得平民成为更有效力的仆人,同时也使得平民成为更加危险的竞争对手14。所以这个强人为了获得那些强大能干训练有素的下属们的服务和善念不得不给予其代理者十分可观的报酬,结果我们立马发现我们再次置身于控制系统秩序编排这个问题,而本章两大类比对于这个问题研究较多。我们记得,这两大类比不仅适用于固定数量的可利用剩余价值Ca的分配情况,而且还适用于逐渐增多(或减少)的Ca的动力学问题;而且它们还揭示了这个强人的长处和短处。

Ca逐渐增多不可避免带来的一个后果是平民阶级生活水平的提高,他们当然从效率提高的共同防御中获得好处,从共同交通中获益,从共同法典中获益,该法典通常使得系统之内的摩擦最小化。此外,正如早期论证表明的,平民由于精英竞相获得其服务而变得越来越富有。精英为获得平民服务的这个竞争表现为,给更有才干的平民实际工资以换来更多的商品和服务,即便精英们像所有平民一样不断为全部生产作业贡献他们各自的1/C份额。

有趣的是,虽然平民的实际工资由于精英之间竞相获取其服务而上涨,然而,平民的相对社会身份依然如旧,尽管社会文明无论进步如何。因此,当今美国国家控制系统里的平民实际工资要比几百年前的某些高贵血统王子的收入都要高得多,或者甚至比当今世界其他偏僻地方的某些王子的收入还要高得多。但是,由于平民就像其他人一样往往主要从自身的当代系统中考虑问题,他的真正风险和机遇存在于这个系统中,他当然也往往主要考虑他自身实际的低层社会身份;而且因此他会继续嫉妒那些上位的人垂涎他们的财富和珍宝。从理论上看,正是下属的这种嫉妒和垂涎及其企图仿效和取代那些上位的人才使得该制度积聚财富提高效力促进文化符码趋同。平民并非仅仅嫉妒精英,因为那些收入较低的平民也会嫉妒收入较高的平民。

不管“文明提高”,平民个体仍将继续为生产劳作贡献1/C份额,作为回报他们领受的商品和服务也会增多,但是生活在底层欲求最少的平民除外,理论上他们只领受1/C-a的商品和服务,他们藉此挣扎在贫困线上。

显然,所生产的绝大多数商品和服务流向平民,因为他们人数相当多。而且,由于平民都会效仿精英,同时由于他们领受的商品和服务几乎全是一样多,并且由于他们构成大部分人口,所以我们在第九章假设我们理论上的系统中每个成员都为整个生产作业贡献了1/C份额,作为回报,该成员会领受到所生产的m个不同商品和服务的(大约)1/C份额,这种说法或许并不过分。

精英相对人少。精英因领导平民强迫平民劳作而得到客观的报酬。由于几百年前精英通过没收平民的多余黑面包,他们最终使得汽车如今对于平民成为了可能得到的东西。

为了论证的需要,我们现在假设平民如此嫉妒精英以至于拒绝为其工作或者消极怠工,这样的话Ca也就下降了。在这种情况下,多元化之力将会增强,于是曾经强大的系统将会开始分裂成许多较小的独立系统,而我们前文论述的那个导致强大系统的论证现在正好反其道而行之。不过这种分裂的最终后果将会是什么,以及谁会是最大的受害者?假如这种“怠工”发挥到极致,平民会再次不受骚扰地享受那块曾被剥夺的黑面包。那块额外的面包要花掉平民多少钱还是个问题,因为他继续消费同一个1/C份额的劳作。

但是,可叹的人类啊,不日之后那个强人会再次出现以便“填补”俗话说的“政治真空。”

我们在前文论述精英作为财富的创造者是一再使用更有效的工具和技能这个术语。我们现在来首先探究这个更有效的工具和技能包括什么,其次探究谁被称作相同事物的领主。我们发现系统中的一套工具不仅包括实际物理工具还包括制造、维修和使用该工具的知识或技能。因为,正如我们在第一部分所见的,如果没有掌握工具的知识,工具便毫无意义,而且如果没有掌握工具的使用技能,工具也毫无价值。的确,知识和技能就是工具。此外,由于知识和技能只存在于掌握它们的人手中,所以掌握知识和技能的人也是系统的工具。理论上讲,由于系统中每个人都具有生产力,所以系统中的每个人也都是工具,不论是实际的工具还是可能的工具。换句话说,我们所论述的这类社会系统的结构与我们在第一部分提出的工具类比的结构很相似。假如我们把所有工具看作一个文化系统,那么我们会明白生于这个系统中的人是如何成为这个系统的工具,他们被教育“塑造”成为该系统的文化“工具”或者该系统的职业角色[20]

假如我们按照以上方式来界定工具和技能,我们发现这些工具的“所有权”问题是个十分困难的问题。理论上讲,正如前文指出的,没有人完全拥有工具。相反,系统中成员对于各种工具包括对他们自己拥有不同程度的所有权,整个系统对系统本身具有“所有权”。该情形不同于公司,公司的全部股份在雇佣管理者和员工期间按照他们的工资分配给他们,他们有权受益;假如股东选择董事经营生意聘用员工,给董事和员工分配股份,那么这个所有权问题就是个高深的学术问题。然而,个体掌控和集体掌控这个问题并非是个学术问题。

我们把人看作社会的有用工具,这有利于探讨这样一个问题,即社会应当如何处理那些由于不幸或上年纪而不再作为有用的实际工具或可能工具的人。乍一想好像系统为了节省维持下去的成本而抛弃它的无用成员很经济,而且大家知道有的系统就是这么干的。不过,假如我们记得系统中的所有成员本身也作为个体而存在,这些个体理论上都愿意以最小的力过着个人小日子,个人不幸和上年纪的问题是他们个人最关心的问题,那么我们便会明白社会来承担这些个体的不幸是经济的,因为这样的话可以减轻个体的担忧从而激发他们的效能。换言之,我们把个体粗糙地看作社会工具,便得到了社会人道关怀行动的一个光彩的经济动机,尽管人们有时候会讥讽这个社会的人道行为,认为它浪费资源感情用事。那些说“看在上帝的份上我就去吧”的人以及那些也在反思没有谁知道何时何地“闪电也要罢工”的人会明白,集体提供保险应对不幸的经济可能惠及任何个体。

换言之,我们把精英看作控制系统中资本的创造者,在这个系统里所有人既要竞争同时又要合作,我们的这种看法包含了集体防御或保险的经济,不仅是为了应对外来侵略而且是为了应对内部个体不幸和无能。不过这个集体防御或保险的精确结构不是变化无常之事而是一个十分确切的经济问题,如若不然,它要么对诈病提交险费,要么保险不保。

(五)精英作为身份神圣的道德(即,“花衣魔笛道德”)的创造者

精英的创造性并非仅限于增加资本。此外,它还延伸到编造形而上的道德制度意在使现状神圣化,因而维护精英地位的现任者,让下属认为与现任精英竞争或不服从现任精英是邪恶的事。这种身份神圣的道德,我们诗意地称作花衣魔笛道德,因为它设计出来似乎就是引诱那些要么软弱易受骗的人去追随,要么引诱那些容易被引诱的人去偷偷摸摸铲除一切可能的障碍。这个花衣魔笛道德不仅对于维护现状很有用而且对于俘获信众推翻统治集团也很有用,因为造反也是“正义的”。

此类道德概念并非陌生。的确,对于这个话题,帕累托(Pareto)用剩余物residues)和派生物derivatives)这两个术语进行了详细的论述15。这与我们在第七章论述的文化与超我密切相关,特别是就那些在经验上无法证实的关系。我们目前对于该话题的兴趣主要在于那个导致如此形而上道德制度结构的经济以及潜伏其间的危险。

为了理解花衣魔笛道德的经济和危险,我们首先来指出,由于精英的双对数分布,一个精英成员滑落到较低地位要比荣升至更高地位容易得多。由于所有精英成员都有一个共同动机不要失势,所以他们都有一个共同动机维持自身地位防备失势。因此,他们发现寻求实现该目标的手段,也就是打击那些取代他们的企图。合适的手段在人类生态的现实世界中并非唾手可得,因为精英的存在是嫉妒和竞争的结果。所以,合适的手段可在想象的世界——超自然的世界中得到,一旦找到合适的手段,精英便呈现出有闲阶级的特征。

花衣魔笛道德的主要价值在于威慑。因此,一个想要获得精英身份的有志者不仅会有单凭力量和狡猾而取代某个精英的问题,而且还有企图这么做时克服其良心障碍的首要问题。另一方面,精英要歼灭这个有志者却没有良心顾虑;相反,精英的自我防御成了高尚的道德行为,整个统治集团被教化为赞成此行为。同样这个道德正义赋予精英额外动能为了自身私欲而实施任何扩张计划,因为精英带着其道德正义用花衣魔笛的方式轻松蒙蔽那些容易上当的人,同时用流放或处死的威胁使任何客观质疑其扩张计划的可能价值和代价的人噤若寒蝉。那些跟随花衣魔笛的公民,无论是容易受骗的还是胆小怕事的,当他们在蝇营狗苟十足的恶习和施虐的残暴时都有暂时的道德优越感,而他们的这些勾当的唯一目的就是发泄他们好斗和残忍的禀性。

就领导者而言,花衣魔笛道德的另一个经济在于它能以道德核准或以死后永生之殊荣等廉价方式奖赏忠实的追随者,还有一枚纪念奖章。毋庸置疑,读者可以想象这些冠冕堂皇的花衣魔笛道德符码的更多经济,它们的神圣细节内容塞满了当代评论的版面。

花衣魔笛道德的危险也是显而易见世人皆知。首先,它一般维持无能的政权,而且如果推广得足够深远,它会使得社会制度发展成为一个将“宗教”身份和职业身份紧密结合起来的种姓制度;由于这种无能,该社会的生产力水平将会下降。其次,它往往导致不可理喻的国内和国际投机行为,虽然这些投机行为会让精英短期内受益,不过长期来看它们对于整个社会包括精英却十分有害。第三,花衣魔笛道德对于大部分人口而言可能导致道德沮丧感,他们一再上当受骗,最后感到十分沮丧(以及想要变节),他们不再相信什么或相信什么人,因而很容易成为权势野心家的牺牲品,这些野心家试图煽动人们对于自我神圣的精英的复仇情绪,同时答应给予那些帮助推翻精英的人以丰厚的回报(参见前文对于潮流追随的论述)。这些权势的野心家,要是他们还没有失忆的话,也会利用花衣魔笛道德谈论他们的“社会正义”、“共同利益”、“平民百姓”以及“众人平等”。反叛如果成功总是“正义的”或者总能成为“正义的”。

社会制度里的这种道德沮丧感在社会上是危险的。有些观察者认为当今美国所谓“年轻一代”目空一切浑浑噩噩,这就表明了美国在二战以前以及二战期间有影响力的知识分子满口谎言、伪善、诡计以及虚假正义所造成的后果。的确,就和平与人类福祉而言,二战主战派虚构的虚假正义连同美国及世界的战后完败完美诠释了花衣魔笛道德的危害。

第二次世界大战也诠释了花衣魔笛事业的传播或宣传人员的一个问题,因为迄今为止,上帝本人似乎不愿意这么做。成为维护精英的花衣魔笛道德家的唯一先决条件显然就是,平民必须愿意听从该花衣魔笛的优越的直觉洞察力。在往昔岁月神职人员普遍被认为对于上帝和人类的行为具有优越的直觉洞察力。如今,至少在美国,我们更愿意听从电影演员、大西洋海岸沿线的大学校长、专栏作家、广播评论员之流等混编自我正义的花衣魔笛道德家们的直觉洞察力,他们的心理状态在当前战后混乱时局中找到了合适的纪念碑。“人类的道德尊严!”“社会正义!”——这些不过是那些设计出中部欧洲混沌状况的道德十字军斗士(即,摩根索计划)的部分论调,甚至投放原子弹,从而争辩自身高调宣扬的“道德”原则。

无论是检测花衣魔笛道德结构作为临床资料的价值,还是研究花衣魔笛道德家常常充作偏执狂有趣案例的人格特征[21],都有充足的理由进行这些检测和研究,然而,职业挫折、虐待狂、被压抑的同性恋以及其他类型的性失调(顺便提一句,学术界和评论界在这些方面并非免疫)依旧可见,与花衣魔笛道德本身或花衣魔笛道德家们争辩显然毫无结果。因为击溃一个花衣魔笛不过是给另一个花衣魔笛挪出位置;而且,由于花衣魔笛道德家差不多总是能言善辩,调查者不过是在花衣魔笛道德家精神分裂症的“发乳白色光的迷宫”里追踪他,而且最多仅仅基于他的特别道德标牌揭示了这类人格冲突。此外,假如花衣魔笛道德家碰巧有明显的妄想型精神分裂症倾向,那么客观的调查者要驳斥他可能有人身危险(参见第七章)。因此,精英确实很喜欢用身居战略地位的人作为他们的花衣魔笛代言人。

摒弃所有花衣魔笛道德的最佳或许也是唯一的办法就是实证建构一门客观的社会科学,用作道德经验制度的参照框架,这一点为某些知识分子一再倡导,他们包括我们本书特别论述到其成果的学者16,而且还包括以下人士:乔治·A.伦德伯格(Geroge A.Lundberg),奥多姆(H.W.Odum),威尔森(E.B.Wilson),韦斯利·米切尔(Wesley Mitchell),里德·拜恩(Reed Bain),奥格本(W.F.Ogburn),斯图尔特·多德(Stuart Dodd),罗伯特·安琪儿(Rober Angel),蔡平(F.S.Chapin),伯吉斯(E.W.Burgess),科特雷尔(R.R.Cottrell),阿尔弗雷德·柯日布斯基(Alfred Korzybski),路易斯·古特曼(Louis Gutman),弗兰克·洛里默(Frank Lorimer),唐纳德·扬(Donald Young),欧文·J.李(Irving J.Lee)以及其他几个人等

我们说其他几个人,是要表明当今社会自然科学的全部学生人数并非很多。人数少的原因或许可见于威尔逊(E.B.Wilson)发表的研究成果17,大意是那些占据学术地位的人往往更青睐于理想世界的糟糕情景而不是现实世界的美好情景[22]。当然,威尔逊教授的研究,就像众多其他类似研究一样,可能部分受限于第九章论述的P/D假说的限制条件。我们发现威尔逊教授居住在马萨诸塞州布鲁克莱恩市。因此,对于社会经验主义者而言,随着距离D增加,事情可能没有那么糟糕;根据各项指标,社会经验主义在中部、远西部以及南部广为盛行。

或许对于我们称作花衣魔笛道德最尖锐的抨击,以及对于社会经验主义完美的捍卫,可能是乔治·A.伦德伯格博士的经典小论文,《科学能救我们吗?》(Can Science Save Us?)[我们记得,伦德伯格是《社会学的基础》(Foundations of Sociology)这部先锋研究成果的作者]18。斯图尔特·蔡平(F.Stuart Chapin)博士最近一篇论文19运用自己广博的知识敏锐洞察了接受当今现有社会行为结构的实际科学知识所存在的社会障碍这个问题;换言之,他把对自然社会科学的抵触看作是社会心理学和社会病理学的一个问题;在其研究的其他论点中,蔡平博士巧妙地分析了不可捉摸的和陈词滥调的言语行为所造成的后果。此类话题阿尔弗雷德·柯日布斯基伯爵在其作品及其《普通语义学研究》(Institute of General Semantics20中也有精彩论述。这类言语行为在当今美国生活中导致大量知识混乱,这一点已经由我们的优秀同事温德尔·约翰逊(Wendell Johnson)客观间接地指出21

毕竟,花衣魔笛当下通过无线电波出现在友好的“围炉谈天”中,而且还出现在穿戴金色流苏礼服的毕业典礼上,出现在大学毕业典礼的训示中,它打起口哨向其追随者吹响号角,此时,花衣魔笛及其论调应当被选作客观的社会研究的合适主题难道不是大众利益所在。

就本书而言,我们不过是尝试客观揭示控制个体及其社会关系的某些客观原则。虽然人在基因天赋和文化“着衣”上各有差别,然而,除了这些差异,人在本质上似乎是相同的。因为尽管文化“着衣”与时空有关——不同气候有不同花卉——然而,所有文化系统在动力学上似乎是相同的。从动力学上看,“你”和“你的邻居”是一样的;而这个事实可能意义非凡。

有许多人真心认为所有人际关系的关键见于远古的戒律:“爱人当如己。”在我们从动力学方面客观了解到你的邻居是什么以及爱意味着什么之前,这条戒律难以遵守。社会经验主义在揭示这些事物本质时只能有助于提高经验道德;简言之,我们应当把社会经验主义看作有建设性的道德“力量”,它能有助于有效击败虚无主义,而绝非像幼稚之人担心的那样会导致虚无主义。

或许“骰子一落”真的厚此薄彼,结果那些输家必须得有耐心。毫无疑问,我们不再说“人对人的不人道造成无尽哀痛”的日子一去不复还;因此,人人都去原谅他人就像自己希望得到他人的原谅,人人都以自己希望得到的评价方式去评价别人。另一方面,社会经验主义的到来至少有助于终结有组织的花衣魔笛道德,该类道德借助它所宣称的“对人的人道关怀”在历史上成功却不必要地灭人无数。

三、作为革命角色系统的精英:小结

到目前为止,本章论述分为两大部分。首先(1)我们根据经济力量和社会身份的分配提出两个理论类比;这两个类比导出一系列方程式,我们将要从经验去检测这些方程式。其次(2)我们详细地论述了这两个类比蕴含的必然关系。这些关系主要包括资产分配、平民薪酬分配以及激励指数定律。

现在(3)通过小结,我们简要提及我们前文理论的几个似乎值得强调的地方,因为它们与我们第七章的文化及文化角色论述密切相关。

社会系统可以看作一个结构经久的东西,虽然其成员流动如水。的确,它可以看作一个相对控制角色的系统,这些角色由该社会系统成员担当,他们随着时间流逝以这样或那样的方式在这个系统中进进出出。

我们的方程式描述了一个处于稳定平衡状态的系统中相对控制量的分布状态。从动力学上看,即便系统本身处于平衡状态,在身份框架范围内当然一直有人起起落落,因为我们说的平衡这个术语仅指控制的分配。另一方面,正如我们已经指出的,来自我们方程式的偏差代表了不稳定的状态,它通过“革命”在理论上加以修正。(我们认为“革命的强度”与有待修正的偏差规模成正比,同时与革命修正发生的时长成反比;这样来看,社会系统可能不断在革命,我们的方程式仅仅代表现象动荡的标准。)

即使这些控制系统在理论上与它们的要点分布以及相对控制量是一致的,然而它们在实际角色的文化细节上以及角色身份的标记上千差万别。正如我们在前几章指出的,不同文化除了形式上不同之外在动力学上是相似的。

假如让我们选择,我们可以把社会系统看作文化角色的控制系统,从理论上讲,该控制系统可以用我们累积的方程式加以描述,只要这个系统处于我们所界定的稳定平衡状态。我们坚定认为有必要精确界定所有人类社会行动中平衡的概念,我们的坚持来自这种信念,即,没有准确地定义平衡就不会有动力学系统。在我们自己的动力学系统中,气力(effort)理论上讲是最小值。

既然我们已经阐述了我们的理论,并且由此得到关于经济力量和社会身份分配的十几个方程式,问题依然在于我们的方程式甚至我们的理论是否经得起真正的经验检测。显然,我们论点的经验可证实性这个问题只有一个回答的途径。

第二节 经验数据

我们在前文理论建构中得出一系列方程式,我们现在进行实证检测。为了方便起见,我们将按照下列三组进行检测。首先(1)我们检测所有直接或间接涉及个体收入和薪酬的那些方程式;接着(2)我们将检测我们的公司收入分配理论,接下来就是(3)检测公司资产分配的方程式。

一、个体收入和薪酬

根据我们的理论,我们应当预期,(1)个体收入的序列—频率分布以及(2)公司行政人员薪资的序列—频率分布应该遵守普通调和级数方程式,其中p值等于1/2。如果发生对汽车保险公司责任索赔时,该p值在理论上有望(3)升至1,虽然在解决火灾保险和人寿保险索赔时它会再次跌落至p=1/2。除此之外,我们还会详细论述(4)官僚精英这个术语的意义,我们在作此阐述时会提供一组数据。此后,我们将(5)转至考量平民薪酬的序列—频率分布,根据我们的理论,该分布在算术—对数坐标上将呈直线性。

(一)所得税数据

搜寻个体收入分配信息的惯常之地就是各国征税机构发布的所得税数据。我们首次咨询这类信息当尊重传统,即便我们怀疑定义存在问题,因为官方认定的可纳税的净收益有可能或者不可能等同于个体收入。而且,还存在欺诈报税的情况,这一点正如我们稍后指出的为了诚实报税可能引出激励指数定律这个问题。

但是尽管我们可能对所得税数据挑刺,我们不能说这些数据没有任何价值。相反,正如我们从下列七个不同国家样本中看见的,我们观察到这些数据与理论预期值p=1/2非常接近。这些数据不管在什么情况下都是以图表形式呈现出来,并且增添了一条理想线条,其斜率为-1/2,代表了理论预期的斜率,以方便比较。斜率没有计算,因为(1)平民薪酬常常包含在数据中(这一点从底部斜率向下弯曲即明显可辨)从而使得有必要武断决定该曲线上端精英部分在何处停止;而且还因为(2)该数据的拟合曲线可能揭示的不比我们肉眼所见的多。图表呈现的方式很熟悉:序列(或者所有不少于特定量y收入的人的累计频率)以对数方式标绘在横坐标轴上,y收入以对数方式标绘在纵坐标轴上。这些数据代表所言国家的官方数据22

图11-1呈现了英国六年征收附加税的个体收入数据,如图所示。图11-2是法国七年的个体收入数据。图11-3是丹麦四年的个体收入数据。图11-4是荷兰六年的个体收入数据。图11-5是芬兰四年的个体收入数据。图11-6是德国五年的个体收入数据。图11-7是美国财政年度1935—1936年以家庭为消费者单位的个体收入数据。这七个不同数据代表了总共33个不同年度收入样本。

511-1

图11-1 英国:六年收入(征收附加税的)。(线条A的斜率为理想的-1/2。)

512-1

图11-2 法国:财政年度1927—1928至1933—1934的收入。(线条A的斜率为理想的-1/2。)

512-2

图11-3 丹麦:财政年度1931—1932至1934—1935的收入。(线条A的斜率为理想的-1/2。)

512-3

图11-4 荷兰:六个财政年度的收入—所得税(线条A的斜率为理想的-1/2)。

513-1

图11-5 芬兰:四年的收入(线条A的斜率为理想的-1/2)。

513-2

图11-6 德国:五年的收入(线条A的斜率为理想的-1/2)。

这些图形中有许多曲线底部包括低收入阶层,我们在此发现了理论上可预期的向下凹面弯曲,因为这些低收入阶层大概包括了平民薪酬,后者在理论上不会是双对数直线性。代表美国的图11-7的底部弯曲稍后会加以分析(参见图11-10),作为实证检测平民薪酬的理论分布。我们要记得,我们当前论述的仅是指在底部向下凹面之上的精英个体收入分布状况;曲线上端该部分的直线性几乎在所有案例中都十分明显。

514-1

图11-7 美国1935—1936年:以家庭和个体相结合构成消费者单位的收入。(线条A的斜率为理想的-1/2)。

进一步仔细审视这些图表明显可见,许多组个体数据非常接近线条A所代表的我们理论预期的斜率;而且,没有曲线小于该斜率。另一方面,不可否认的是,在荷兰(图11-4)、德国(图11-6)和美国(图11-7)的数据中这些年里有更陡峭的斜率,因此p值大于1/2。虽然我们不能详细分析这些每个偏差,但是我们至少冒险简述其中几个,相信它们可以充分代表所有偏差。

在表示美国的图11-7中,该数据是指消费者单位的收入,其中包括了整个家庭的收入和单个个体的收入,正如1938年十月《劳动评论月刊》(Monthly Labor Review)第730页以后所描述和报告的。尽管此分布据说是我们所掌握的美国(以及可能也是其他地方)低收入阶层的最完整和最可靠的数据,不过它的确包括单纯个体收入以外的收入,因为,再说一遍,个体收入和家庭收入汇集一起视作一个单位。这种汇聚当然可以解释线条上端部分偏差,其近似值为p=0.57,对应我们的理论预期值p=0.50。另一方面,假如我们从上述汇聚的数据中剔除个体收入分布,我们会发现,该分布的p值十分接近于消费者单位的p值,对于该分布我们在此不再呈现。因此,这些数据中0.07的p值偏差这个问题是没有实际意义的。

至于图11-6(译注:原文为“图11-7”,据上下文当为“图11-6”)德国数据中直线弯曲的意义及其斜率偏差的意义,我们在早前发表的论文中已作详细论述23,我们可以在此简要叙述一下,1926年到1936年这段时期通常被认为是很不稳定的时期。在严重的通货膨胀几乎歼灭债权人阶级之后,所研究的这段时期有几年从国外借入大量资本却总是没有用于资本支出;这段时期有几年经济大萧条,大量人口失业导致了伴随希特勒先生崛起的彻底革命。这次革命运动可能与这些线条的弯曲相关,以及与斜率差异相关[23]。类似的弯曲可见于同时期罗斯福政府管理下美国的收入分配状况,顺便说一句,罗斯福执政与希特勒掌权是同一年,而且都是严重经济危机的结果。理论上看,代表平民薪酬的底部弯曲之上的任何收入曲线的弯曲都会意味着革命前的状态,也就是说“下层部分”可以组成一个集体反抗“上层部分”。正是从我们认为的人口众多且善意的“下层部分”中革命开始起步,即便该“下层部分”很快就失去了对革命的控制权24

至于荷兰的数据,我不知道其偏差的原因[24]。不过,大体上讲,人们有动力少报个人纳税额,因为这个少报如果成功可以给纳税者节省一些钱。另一方面,税收机构也清楚这个欺诈交税的动力,因而会调查纳税申报以便查处欺诈情形。这些调查需要消耗一定资金,只有当他们追讨回的税收总额足以支付调查费用时,这些调查才合算。由于按绝对值计算有规模的欺诈最大可能在于上层阶级,就是在这个地方税务员集中精力调查才会有利,假如他们想要为一定调查开支得到可观的可能回报。[正如几百年前伊索(Aesop)所写的,小鱼往往漏网。]上层收入阶级成员知道这一点,理论上讲他们在报税时一般在指数上更诚实。当然,政府借助它从欺诈报税调查中得到的信息可以修正整个收入分配以便顾及欺诈(包括“记性差”等等)的后果;在某些数据中我们所研究的这些政府可能就是这么做的。

这些超过p=1/2的斜率偏差提出了帕累托学派经验常量这个问题,他们声称(用我们自己的坐标和方程式表达)标准是p=2/3,所以不是我们的p=1/2[25]。正如杰出的统计学家和计量经济学家哈罗德·T.戴维斯(Harold T.Davis)博士所精彩阐述的,不可否认帕累托学派积累了大量数据,包括帕累托本人搜集的早期数据,尽管这些数据经常有较大的变化,可它们的确接近帕累托的经验值25。此外,帕累托学派主张(我认为是正确的)p值一般在“经济繁荣时期”增加而在“经济萧条时期”下降26。(换言之,上层阶级一般比别人更快地感知经济繁荣时期的效果——大概是因为他们有优越的信息优势。)

另一方面,我们已经呈现了许多组接近p=1/2的数据。而且,我们已经解释了为什么高于这个值的偏差可见于所得税数据的案例中。

接受帕累托学派的2/3值的主要缺点在于该值纯粹是经验的,没有任何理论依据。的确,假如我们可以引用哈罗德·T.戴维斯博士对于帕累托学派的评论的话27,“我们总的结论可能是,帕累托分配是任何稳定经济状态的必然现象。该分配的原因必须在人类心理学的神秘王国里找寻,后者解释了特殊能力的存在和分布。”[26]总之,他没有给出原因。

另一方面,我们对预期值p=1/2已经给出理论解释;而且,我们已经详细论述了我们的理论,这样它可以从其他类型数据中加以检测,而不仅仅是从所得税申报得到的整个分布数据中加以检测。

我们现在就转至这些其他类型的几类数据。

(二)付给公司行政人员的工资

我们的理论认为,付给那些指导和管理大集团的人员的收入或工资,比如大公司行政人员就是这种情况,如果把这些工资按照降序排列就会得到普通调和级数的p=1/2值。

据我所知,关于这个主题现有的唯一已公布的广泛数据是通用汽车公司1936年付给年收入不低于5 000美元的行政人员工资,这是发布在该公司1936年12月第28次年度报告中。

哈罗德·T.戴维斯博士1941年指出29,这些工资的序列—频率分布在双对数图上呈直线性,在计算斜率时,他发现(用我们的坐标言语来表达)该斜率是-0.483 3,对应我们理论预期的-0.500 0斜率。或者,按照普通调和级数方程式,得出通用汽车公司数据p=0.483 3值,非常接近p=1/2。

戴维斯博士指出了这组数据与更加普遍的所得税数据之间的可能关系。我们只认为p=1/2是正确的,而不是p=2/3[27]

据我所知,大公司年收入超过5 000美元的员工工资的唯一其他详细信息是一家大公司的会计为本研究专门搜集的1941年的数据,不过按照约定,他们的资料必须保密,因为这些数据没有公开发表。用最小二乘法计算这些数据的斜率是-0.542 4±0.005 6(即,p=54),或者说与我们的理论预期值(即,p=50)有0.04的绝对偏差30

这个偏差可能并不严重。对此,可以说该数据是指总部所在城市(比如芝加哥)总厂的员工。这家公司在外地还有一些规模稍小的分厂,由于这些分厂的员工没有统计在上述数据中,所以一个完整的分布可能会得出一个不同的斜率,甚至是一个更小的斜率,因为这些增添的数据大概主要属于低税率[28]

(三)对保险公司的索赔

我们在第一部分的理论论述中主张,对汽车强制责任保险公司索赔的解决将会遵守p=1的普通调和级数的比例,因为我们所主张的是激励指数定律。

汽车责任险索赔这个主题已经由布拉格的米斯利维克(V.Myslivec)进行了实证研究,他在1939年发表了对奥地利汽车保险公司险赔的研究,其中责任险是强制的31。他的资料来源于莱赛斯(W.Lethays)的早先研究成果,后者我无法获得。

此刻,必须提出一句忠告。虽然米斯利维克博士借助帕累托的方式处理收入数据(即,序列—频率分布,其坐标的处理与我们的正好颠倒),然而他没有借助帕累托的方式给他的数据绘图。相反,米斯利维克博士使用我们已经称作数量—频率关系,也就是说,他(按照我们说法)在对数图的两个数轴上标绘出相同y规模索赔的数量x来对应y规模。这种绘图方法十分正确,假如——有些帕累托学派成员可能发现了这个假如——人们记得由此形成的斜率是不相同的。

假如我们指望,就像在当前这个案例中,序列—频率分布是纯调和级数的分布(即,p=1),那么,当数据是根据序列—频率关系来标绘时,我们必须认为,相同y规模的索赔数量x将与(大约)y2成反比,或者用方程式表达:

x·y2=常量

正如我们在第二章所见的。因此,理论上看,我们应该认为米斯利维克博士会发现指数为2。

米斯利维克博士发现,他研究的1 207件索赔用最小二乘法计算根据我们的坐标得出指数2.126 840 7;或者

x·y2.126 8=常量

这非常接近我们的理论预期值2.00[29];应当热烈祝贺米斯利维克博士的精彩发现,其价值似乎远远超过为我们整个理论提供了一个实证检测。由于他的数据可能读者不易得到,所以我们用图11-8加以呈现,坐标如图所示。

518-1

图11-8 责任保险(奥地利):损害赔偿的数量和规模。

责任险索赔的序列—频率分布应该是p=1,该索赔主题提出了对人寿保险公司和火灾保险公司索赔的主题,不过在后两种索赔中,分布值应该是p=1/2,个中缘由我们在第一部分已经提出。(我们回忆一下,理论上讲,对人寿和火灾保险公司的索赔与个体收入分布成正比,其中p=1/2。)

该主题多年前由挪威科学家比格尔·迈德尔(Birger Meidell)教授进行了研究,他第一个发表了对于1912年人寿保险公司的研究成果。

迈德尔博士的原文我没有找到,因此我们必须借助迈德尔博士的演讲摘要[30]

迈德尔博士以序列—频率形式借助帕累托学派使用的坐标呈现其数据,其绝对斜率是我们坐标系统中普通调和级数方程式p值的倒数。

根据我们的理论,个人人寿保险数量及其居所价值两者皆与其收入规模成正比,发生火灾损失百分比是任意的,我们可以预期,在迈德尔博士的两组研究中p值将会是1/2(或者是其绝对斜率2.00的倒数)。

迈德尔博士发现的正是p=1/2,不过它受制于理赔程度S中增加的距离c(即,理赔程度S成了方程式中的S+c)。迈德尔博士十分恰当地辩解了这个增加的c,在我看来,因为居所在上保险之前必须有一定的价值。他还发现人们买保险时偏爱买整数(如,1 000;5 000;10 000)。c值在人寿险理赔时要小得多。

显然,迈德尔博士的研究强有力地实证支持了我们的理论主张,即p=1/2描述了个体收入的分布。米斯利维克博士对于责任险理赔时p=1(用我们的话说)的研究好像支持了我们的理论观点,即人们力求索赔的动力以及对个人申诉赔偿的满意度往往与此人的财力(或收入)的平方相对称。

更多的研究是必要的。

(四)官僚精英:一个可能的案例

我们在第一部分的理论论述中指出官僚精英如何产生以及为了自身利益又是如何操控生产精英。这样的例子可以见于爪哇岛和马都拉岛上的原住民和白人的收入分配状况,这是由荷兰东印度群岛在官方数据摘要中发布的。

图11-9呈现出(A)原住民和白人合在一起的收入分配以及(B)原住民的收入分配,这是(1)1924—1925年、(2)1928年以及(3)1932年发布的数据,承蒙我当时的学生詹姆斯·M.科南特(James M.Conant)先生汇总起来。收入规模相同的人用对数标绘在横坐标轴上,在纵坐标轴上用对数标绘出收入规模(原点连续移动几个周期,如图所示)。

520-1

图11-9 收入:爪哇岛与马都拉岛(荷兰东印度群岛)。

采用这种将人的数量(而不是序列)对应收入规模的标绘手段导致了各条A曲线B曲线之间的鲜明对比。当然采用这种数量规模(而不是序列规模)的绘图方式意味着理论预期的负斜率是-1/3(而不是序列—规模分布时的-1/2)。

假如我们审查表示原住民收入的B组数据,我们会发现无论如何它们都非常接近理论预期的-1/3斜率(即,横坐标截距是纵坐标截距的2.5倍到3倍)。此外,曲线B底端除外显然呈直线性。的确,我们现在关心的就是这个直线性,因为B数据的斜率从动力学考量大概受到了那些付给白人收入的影响,该收入包括在各条A曲线中。曲线A和曲线B之间的差异代表了这些年付给白人的收入总量。

我们在图11-9中得出一个例子,可以代表白人阶层构成的官僚精英大体上控制了政府,即便实际上有些白人肯定也会在生产精英中履行管理职责[31]

无论这种关系是什么,近年来这些荷兰殖民地的原住民已经开始反抗白人,企图篡夺白人的精英地位(我认为,这一点几乎可以从这些数据的本质上预测到)。

这些白人不仅形成了经济群体,显然是少数人的群体,而且还形成了紧密结合的小文化群体,该群体虽然在文化上与多数人脱钩,不过他们代表了拥有警察力量的组织,该组织试图制定规则并镇压多数人。

任何为了自身文化目的而公开或秘密组建的紧密结合的文化小团体,群体中多数人要么不能要么不愿意分享该团体的文化目的,他们皆有可能从社会系统中被剔除出局的危险——尽管所有宪法反而都保障“少数人权力”。根据我们的理论,任何形式的经济群体都能够也势必分散进公共利益中以便维护或恢复收入分配,正如我们第Ⅰ部分的方程式所描述的。

在告别图11-1到图11-9关于精英个体收入分配的数据之前,我们记得这些分布有时候斜率变化不一,甚至与稳定平衡状态下的理论直线性有很大偏差。这些变化和偏差极有启示,正如帕累托学派经常显示的。因此,有些经济学家常常宣称“帕累托定律是错的”,因为存在这些变化和偏差,但是这种说法并不会对于作为自然科学家的上述经济学家带来任何名声,不管他们的这种宣称可能多么有助于巩固他们在其他领域的名声。

我们与帕累托学派之间唯一的争论在于p的理论值方面。32

(五)平民薪酬

我们已经在理论上主张,在靠近个体收入分布的底部存在一个个体阶层——平民阶层——他们的薪酬如果按照规模降序排列将会是一个线性函数,序列用算术标绘,对应着用对数标绘的收入。

由于大部分税收机构对于很低的收入免税,所以无法判断这些低收入的准确人数和规模,于是所有官方估计的低收入数据都不可信。

不过,图11-7呈现的美国1935—1936年消费者单位收入的实际分析是这些低收入群体的十分精心的实证研究。它有较高的可信度,这是由于该调查的目的是为了判定我们国家劳动力资源状况,没有任何所谓的征税动机。

我们在图11-10中用算术—对数呈现了年收入在500美元到2 000美元之间的家庭单位的序列—收入分布状况,如图所示,总计将近3 000万美元,如1935—1936财政年在《劳动评论月刊》(在上述引文中)所报告的。这与图11-7中双对数呈现的曲线底部是一致的。

522-1

图11-10 “平民收入”:美国年收入在500美元至2 000美元之间的收入(1935—1936年的消费者单位)的序列—频率分布状况。

图11-10数据包括数百万人,它毋庸置疑的直线性完全证实了我们的假设。更多可靠数据是必需的。

在2 000美元阶层以上,收入分配成双对数直线性,正如我们在图11-7中所见。因此,理论上讲,任何家庭在1935—1936年每周有50美元收入的当属精英阶层。

(六)宗教种姓

我们的理论表明,宗教种姓成员分布可能存在直线性。虽然一份印度种姓人口普查的样本清晰地揭示了“凹曲线”的状况[例如,迈索尔(Mysore),1931年人口普查],但是当时如果把种姓按照成员规模进行降序排列,那么印度人口普查委员会显然难以对这些种姓的宗教身份、职业身份以及种姓类别加以区分——对于该数据的价值要补充一句忠告。

该主题的研究因而有待推进。

(七)总结陈词

我们在前文呈现了经验数据来支持(1)涉及个体收入分配和平民薪酬分配以及诸如向保险公司索赔等相关现象的理论方程式。大体而言,我们的理论似乎经得起检测。无论如何,数据的直线性就这样从经验上建立了收入分配定律,帕累托学派已经正确地指出了这一点。

我们自己的理论超越了帕累托定律经常描述的那些现象。因此,我们的理论还涉及了平民薪酬,以及正如我们现在所见的还涉及(2)集体收入和(3)资本资产。

二、集体收入

我们实际从理论上认为,如果收入按规模进行降序排列,有一个或以上成员的社会经济体的收入都会有普通调和级数的p=1。

我们在图11-11中呈现了美国1927—1936年这十年间的公司和个人合计收入的序列—频率分布状况,我们在图中增添了一条有着理论预期的-1.000斜率的线条A,方便比较33

公司和个人收入的这个合计是我们利用现有数据尽可能得到的纯粹集体收入的分布情况。现有数据意味着每个个体收入者被看作是只有一个人构成的社会群体,它在很多情况下也是一个(或以上)更大群体的组成成分。这种看法非常合理,假如我们记得较大的个人收入几乎总是反映了集体活动的后果(例如,店老板有他的伙计,或者律师需要速记员帮助),这并非总是合并一体或者是合作关系。的确,图11-11数据在呈现集体的以及集体的集体的“净收入”时很有启发意义;要是我们记住城市可以被视作“贸易团体的团体”这个类比的话,理解这些数据就会更容易。因此,就收入而言,整个社会系统组织之间理论上是相互联系的,也就是说存在一些非常大的集体(集体的集体)同时也有越来越多的很小的集体。关于这一点,我们记得本章“宏大类比”(参考第一部分)似乎可适用于此。

524-1

图11-11 美国1927—1936年公司和个人的合计收入(线条A有理想斜率1.00)。

图11-11数据中呈现的十年时期包括所有收入急剧缩水的大萧条时期。右边的五条线代表了1927年、1928年、1929年、1930年和1936年;左边的五条线是1931—1935年的大萧条时期。后五条线的弯曲反映了经济萧条的后果,这个时期低中产阶级正在罗斯福(F.D.Roosevelt)先生及其志同道合者的带领下开始通过一个玄奥的“计划经济”来帮助“被遗忘的人”。

由于我们所研究的这段时期大部分在历史上都处于不稳定平衡的状态,上述分布要作为我们假说的最终检测是靠不住的,遗憾的是,上述分布只是我所掌握的公司和个人收入的结合。此外,总是存在一个恼人的定义问题:因此,什么是为了征税目的而看作的“集体收入”?幸运的是,我们理论关于“集体收入”分配经过必要细节修改后适用于公司资产分配,在公司资产分配中部分这些问题没有出现(参见下文第三部分集体资产)。

尽管图11-11数据有缺陷,假如我们更加仔细地审查这十条曲线,我们会发现大萧条时期前的前五条线非常接近直线。而且,即便是后五年大萧条时期那些表示收入至少在25万美元的曲线部分的斜率也是接近我们理论预期的-1.00斜率。

另一方面,不可否认的是,大萧条前的曲线斜率低于-1.00;因此,1929年曲线的斜率大约是-0.90。我不知道为什么它与预期的标准有这样的偏差,虽然,我们再重复一次,这主要取决于官方对于收入所下的定义。

无论如何,图11-11数据足以让我们放心一件事:就收入以及就归属于这些群体的人数及其收入而言,存在一个自然定律控制着社会—经济群体的数量和规模(其中,最小的群体是由一个人构成的)。换言之,就收入、人员以及人员工资而言,社会—经济群体的数量和规模不是反复无常任意变化的。我们即将发现,这一点同样适用于公司资产分配,这将是最能够支持我们的理论主张,即在财富—收入方面存在一个群体规模的定律。

三、集体资产

我们已经从理论上主张,集体资产的序列—频率分布如果按照规模进行降序排列将会遵从p=1的普通调和级数方程式,该分布的p值可能稍微超过1,因为从动力学上看公司往往为了扩张要有所储备。

我们在图11-12中呈现了美国公司如图所示五年资产的序列—频率分布状况,这是由《收入统计》(Statistics of Income)所公布的34。这些数据当然不能代表所有社会群体的资产,后者(作为群体收入类比情况中)应当包括合伙企业的资产以及个体企业的资产。然而公司无疑确实代表了最大的社会群体。因此,线条上端可看作是对我们假说的有效测试,而底部向下凹面弯曲——大约从50万美元开始的——只是反映了此处包含的更大非公司资产的不足

525-1

图11-12 美国五年公司资产。

曲线上端显然呈直线性,其斜率(约为-1.1)与理论预期的-1.00斜率一致。假如我们认为自始至终使用了同一测量标准,曲线由1931年到1936年向右移表明了在这期间公司趋向增加资产。

虽然这是我所知悉的唯一一组数据,但是,其显著的直线性和恒常斜率非常接近我们的理论预期值,十分有助于充实我们的理论。假如我们认为资产价值大体上取决于其制造收入的能力,我们便会发现当前数据与集体收入分配这个问题密切相关。

当前数据也足以表明存在一个定律控制着社会群体的数量和规模(就财富—收入而言)。虽然反对“垄断联盟”和“托拉斯”的呼声让我们想起群体组织规模的上限,不过我们也反思还存在下限,低于该下限整个系统要减少其群体组织就相当不经济。

四、小结

我们在前文呈现了广泛的各类数据来实证检测所界定的所有社会系统中经济权势和社会身份的分布理论。在所有情况下,这些数据一般都证实了我们的理论。

不管我们的理论如何,有一件事我们的数据准确无误地强调了:经济权势和社会身份的分布——至少在收入和财富方面——受控于自然定律。

我们已经主张这个定律来自人总是经济的这个事实,来自人叫别人为自己工作总是经济的这个事实。的确,让人为我工作这种经济无处不在,以至于我们讨论的有关大社会系统的同一原则在理论上也适用于一些个体之间的交往。

不过,在我们离开与我们经验数据和我们类比有关的收入和资产分配这个主题之前,我们至少要提及一个理论思考,它对于商人和政府官员都是很重要的:在规模P不同的各个城市之间的收入和资产分配状况。根据我们的理论,我认为很明显城市之间的分配无论如何从理论上看与在一国之内的分配是相同的,方程式左边的固定值与所言社区的规模P是成正比的。这个主题值得实证研究。

第三节 个体之间交往:控制与服从

到目前为止,我们在本章的论述几乎全部是指人的大聚合体的活动,我们所有人大概差不多都属于一个或以上的这类聚合体。不过剥削他人的经济不局限于那些大聚合体,而且也见于少至两个人的交往中。我们将(1)通过一个简单类比来阐述这种人际交往的动力学,这个类比虽不完全却强调了所有人际交往中人剥削人的某些重要因素。记住这个类比,我们将研究(2)一个人在其言谈中显示的对其服从者的控制比率此类专门案例;该研究有助于从逻辑上将第五章的理论论证与即将呈现的艾略特·D.查普尔博士的经验数据联系起来。我们对于言谈的研究将会导致对于“会话”或言语或戏剧或辩论等方面的研究。

一、“球的类比”

为了引入我们即将探究的主题,我们先来建构一个简单类比:比尔和约翰两个人在玩球,玩了一个小时。

游戏规则很简单。每个玩者试图(1)从另一个玩者手里抢过球,然后(2)尽可能地不要让球被抢走。这个游戏显然是要考验一个人的力量和狡猾。我们感兴趣的是(1)每个玩者抢到球的次数n以及(2)每个玩者不让另一个玩者抢到球的时长l。为了方便起见,我们将注意力限定在一个玩者比尔的身上。

假如我们开始的是一个极端例子,比尔一直拿着球而约翰无法抢走,那么对于比尔来说,n就是1而l就是整个游戏时间。

我们现在来看,当约翰开始抢走比尔的球因而又迫使比尔再去抢时,比尔的nl的值会是什么情况。显然,每次约翰抢走比尔的球又使得比尔再去抢的时候,比尔的n值就会增加一个1。因此,比尔与约翰竞争越来越弱的标志在于比尔拿到球的次数n增加,因为n衡量了比尔必须再次从约翰那里抢回球的次数。

那么现在问题来了,当比尔的n增加时他持球的时长l是多少。乍一看,似乎这个问题相似于第五章论述的特定新闻版面在不同长短S新闻之间的分配数量n问题,其中我们发现了熟悉的双曲线方程式r×Sp=c可适用于此。因为毕竟比尔在持球时(准统一化之力)试图减少他拿球的次数n同时增加持球的时长l。另一方面,约翰在他没有拿到球时(准多元化之力)试图增加比尔的n并减少比尔的l。或者,换句话说,当一个人有球时就会试图减少n,而当他没球时就会试图增加n。假如再没有其他因素,我们有望发现nl在双对数坐标上呈直线分布,其中缘由在第五章已陈述,而且在此也是有效的。

可是,显然在球的游戏中还有一个报纸案例中所没有的另一个因素。每次约翰抢走比尔的球,约翰在比尔再抢回之前都会持球一段时间l。而约翰持球时他就减少了整个一小时游戏时间内留给比尔持球的全部时间T。因此,当比尔丢球再抢到球的次数n增加时,比尔持球的总时长T将会减少。

假如在编辑报纸版面时也有这种情况,我们应该不得不说,当不同新闻数量n增加时,要编辑的整个新闻版面将会缩小。由于我们知道这种新闻版面缩小绝非事实,所以我们能够发现报纸版面编辑这个问题并不完全类似于球的游戏中比尔持球不同次数n的持球时长“编辑”问题。

但是尽管这两个问题并不完全类似,它们的差异也是有意义的。因为毕竟差异并不在于这个事实,即多元化之力增加n,这在报纸案例中也是如此;差异仅仅在于这个事实,即多元化之力在增加n同时也在减少比尔持球的总时长T

假如我们现在明确认为,那个增加n多元化之力与那个减少T多元化之力适度相关,那么我们对于第五章新闻数量n和规模S的直线性的全部论证也将适用于比尔持球的数量n和时长l的情况,只要我们标绘n对数对应于算术l的实际持续时长。既然那样,我们必须想到相对增强的多元化之力会完成两件事。首先,它会在指数上增加n就像在报纸新闻情况中一样;其次,它会削减每次持球的时长l(或者,假如愿意这样说,它会削减全部时长T),削减的比例随着n的增加而增加,因而把新闻长度S减少的相反指数比例改变为持球时长l减少的简单算术比例。

假如我们正确地断定对于新闻数量n和规模S统一化之力多元化之力的其他方面的观点也都适用于此,那么相同时长l持续次数N1的对数分布,如果标绘在纵坐标轴上对应于它们在横坐标轴上的算术l时长,将会产生一个直线分布,该分布用函数表示为,

log N1=-al+C

为了方便起见,我们自此用术语da代表上述分布的绝对斜率。因此,当比尔的da斜率增加时,比尔就给了约翰。或者,诚如我们稍后所见的,da斜率增加意味着控制的减少

推荐上述这个类比主要是因为它的简明性而不是因为它的完整性,因为显然它完全排除了约翰的nl的分布。这个不完整性现在并不困扰我们,因为我们当前兴趣只在于(1)揭示比尔的nl的分布在半对数比尺上呈直线性以及(2)在于对绝对斜率da的界定。

假如我们想要发明一个包括约翰和比尔的游戏,我们可以把球换成一个悬挂在杆子上沉重的铅坠,它的两端分别由比尔和约翰拿着。只要这个铅坠居中,每个人负重便相同。另一方面,这个铅坠越推向约翰的一边,约翰的负重便越大,反之亦然。因此,这个游戏就是努力将负重推给对手,否则这个游戏就是合作经营,典型的合资企业就是如此,在任何合资企业里“棍子有一头是脏的”。

但是我们不去阐述一个新游戏而是转而讨论会话的情况。我们必须记住这个球的类比的唯一特色就是对于da斜率的定义,当研究对象更多控制会话时da便会下降

二、会话的情形

在转至我们称作比尔和约翰的两个人之间会话情形之前,我们首先来澄清一些假设和定义,这会使论述更加简明。

首先,假定会话中比尔在说话时约翰便保持沉默;而在约翰说话时比尔保持沉默。这个假设意味着,在会话结束时,比尔和约翰参与了同样多次数n言语行为(或者他们之间差异至多是nn-1的区别),同时他们俩差不多有同样次数的沉默

其次,假定每个人的言语行为包括两种言语表达:(1)主动发言,对方对此作出回应,以及(2)回应对方的主动发言。

第三,我们明确认为每次主动发言对方都会回应

现在假定每个人尽可能多地努力发言同时尽可能少地回应,说话人的控制——或者其控制程度与其服从程度的比例——某种程度上是与他的发言和回应的比例有关。换言之,假定每个人在发言中力求打动或命令或说服他的对话者,而且他越能做到这一点就越主导了(或控制了)这个会话。因此,例如,假使会话是在完全掌控的国王和完全服从的臣民之间进行,可以预料国王将发表长篇大论臣民对此只有回应“是!”另一方面,假如对话者碰巧“平起平坐”,那么我们有望发现发言与回应“更加平衡”。

显然前文假设和定义只适用于虚构的或假想的会话,因为我们到目前为止一点也没说它们在实际会话中是绝对必要的(即便我们从经验中了解到人们的确试图“控制”会话)。不过假如(1)我们根据上述假设和定义来阐述我们对于会话控制的动力学假说,我们会得出一个关系,这个关系经得起(2)查普尔博士杰出研究中的实证检测。

(一)会话(假设构念)

在开始论述假定比尔和约翰之间发生会话之前——为了方便论述我们首先只关注比尔的情况——我们要记得比尔尽可能多地说了整个T时间的话,而且在其发言中竭力利用他的言语行为意在打动约翰或者迎合约翰或者其他什么目的。换言之,比尔试图尽自己可能地“持球”,假如我们借用先前球的类比的话来说,球的类比似乎在此差不多也可适用。

这反过来意味着,随着比尔在其言谈中越来越控制约翰,比尔发言da斜率便会下降。

不过由于会话中比尔的部分包括n个不同言语行为,这些行为反过来在某种程度上又包括他的na次主动发言,于是当比尔越来越主导会话时,因而根据定义这将会导致他的不同发言次数na相对更少而发言时长l却越来越长了,比尔因此相应造成了相对更多次数nr的回应(即,n-na=nr)。

可是尽管比尔的这些回应nr随着他越发主导会话而相对越来越多,这些回应的时长也就越来越短,因为主导会话的比尔会把他的全部时间更多地用于他的发言中,而用于回应的时间也就相对越来越少了。而且,由于在回应中更加强势的比尔在做与其发言所做的恰好相反之事,所以比尔回应的绝对斜率——我们称其为ba——将会增加,而比尔发言的da斜率却会减少。

总之,比尔回应斜率ba的增加伴随着比尔发言斜率da的减少预示着比尔越来越控制了会话。至少我们的看法就是这样[32]

由于上述bada两个斜率表明了比尔对话语的相对控制程度,我们把这两个斜率的本质具象化,把它们放置在所有比尔言语行为的整个频率分布中来看待,这些行为包括比尔的回应和发言。我们假定言语行为长度l用算术在横坐标轴上测量,其量值逐渐增大,而相同l长度的言语行为的次数N在纵坐标轴上用对数测量。

现在由于言语行为曲线包括(1)回应和(2)发言两方面,而且由于随着比尔更加主导会话(1)他的回应次数nr相对越来越多而回应长度l却越来越短,同时(2)他的发言次数相对越来越少而发言长度l却越来越长,所以,显然整个频率分布将会裂变为(1)左边是一群“过短”的回应,其斜率ba越来越大以及(2)右边是一群“过长”发言,其斜率da越来越小。

此外,随着比尔越发控制会话,他所有言语行为的全部频率分布——即便该曲线持续不断——将会急剧裂变为两个不同部分:(1)左边“过短”的回应,其斜率ba在增加,以及(2)右边“过长”的发言,其斜率da在减少。我们再次明确提及这一点,显然是因为“过短”斜率ba和“过长”斜率ba代表了可以客观测量的具体数学参数[33]

与上述情况相反的是当会话一方控制越来越少而服从越来越多时出现的情况,约翰随着比尔不断主导会话而变得更加服从时就是如此。所以,假如我们用术语ds来界定更加服从的约翰发言的斜率,而用术语bs来描述更加服从的约翰回应的斜率,那么我们可以说约翰的bsds值分别与比尔的bada恰恰相反

的确,经过反思,显然不管所涉及的控制程度是多少,下列调整方程式是有效的:

531-1

这个方程式是有效的,因为当一个人——无论是比尔还是约翰——越来越控制(或服从)会话时,这四个斜率就会改变自身以便保持一个固定比率K。因此,例如,倘若ba增加(或减少),da就会相反变化,而bsds将分别与bada相反地改变自身;不管怎样,乘积不变,比率K也不变。

斜率(1)bs和(2)ds分别定义为(1)约翰“过短的”言语行为,我们认为这是他的回应,以及(2)他“过长的”言语行为,我们认为这是他的发言。但是由于根据我们最初的假定,约翰的言语行为与比尔的沉默不语相对应,我们可以说bs也代表了比尔“过短”沉默的斜率,而ds代表了比尔“过长”沉默的斜率。由此根据比尔的沉默来重新界定斜率bsds,从而使得我们方程式是指比尔在与任何人交谈时的主动参与和沉默参与。换言之,前文方程式可以描述比尔在与任意一个“约翰”谈话时的言语行为和沉默状态。这个方程式我们用下列形式表达即为:

532-1

我们已经指出,方程式(11-14)可以描述比尔与其他任何人成功交流时的会话调整状态,因为我们从未指明约翰究竟是谁!

此外,由于我们从未指明比尔是谁,理论上我们可以推测,每个人都有自己的特殊K值,他据此调整与对方的会话。因此,比尔有他自己的特定K值,约翰同样也有自己的K值。

此刻我们要暂停论述来提几个问题。第一个问题是:一个人如何在会话中宣称自己的控制力?根据日常经验,这个问题的答案是控制谈话的人在自己想要说话时就打断对方却不让对方打断自己的说话。第二个问题是:假如两个都十分强势的人在一起谈话会是什么情景?根据日常经验,这个问题的答案似乎是他们的对话不会持续太久,因为每个人都会由于自己打断对方说话而激怒对方。第三个问题是:假如两个沉默的人在一起会谈谈话会是什么情景?对这个问题我们的回答是:由于每个人最终都要寻求一些其他更“刺激的”熟悉话题,所以会产生极大的长时间沉默。

前文的方程式(11-14)对于整个会话的时长T以及言语行为和沉默不语的绝对长度l都没有什么限制,基本上可以描述对话双方在他们的言语行为和沉默状态中会话互动的比率。既然如此它当然容许不相同的K值加以调节,这一点在审视查普尔博士的数据时很明显。另一方面,不可否认的是,从理论上看,会话在K值大约互为倒数的人之间更容易展开。因此,例如,一个爱说话的人与一个沉默寡言的人结婚会很不错;总的来说,读者会发现成功的婚姻常常就是这样。

隐含在我们方程式中的是根据斜率对会话控制(以及与之相反的会话服从)的定义。因此当一个人愈发控制会话时,他发言次数相对较少而发言长度却越来越长,同时他保持沉默的次数相对较少而沉默的时长更短;他回应的次数虽然相对较多而时长却更短;诸如此类。就作为社会系统的会话目的和会话实施而言,会话控制是什么意思?根据日常经验可以说,一个人的控制程度代表了他选择会话主题及其处理方式的程度。有人天性就比别人更容易张扬自己对会话的控制欲望;这个事实从他们不变的K常量中当可辨别。

当然,“别的家伙”连续不断地控制着会话可能让会话服从者不堪忍受。在这种情况下,服从者可能有好几个修正措施。因此,例如,他只需在对方发言中间开始插话并且一直说,直到对方沉默不语(即,他只需“比对方讲的还多”)[34]。还有,他可以拒绝回应以沉默应对另一方的讲话;随着沉默时间越来越长,对方会感到尴尬不得不想出一个新的话题,而这个新话题同样遭遇沉默。再有,服从者试图发表自己言论之后可以戛然而止无需等待对方回应。当然还有其他方法来应对他人的强势所带来的压力。

不管上述所有因素,问题依然是,我们的方程式(11-14)能否经得起实证检验。由于我们已经表明了ba值和da值如何可以从“比尔的”言语行为频率分布中客观地揭示出来,而且bsds同样如何可以从比尔会话沉默不语的相对频率分布中揭示出来,所以这四个变量的值当能从任何会话中加以揭示。

此外,假如我们把某个“比尔”的某个会话中观察到的ba/bs比率用对数标绘在纵坐标轴上,而且假如把这同一个会话的da/ds比率用对数标绘在横坐标轴上,那么,对于这个特定“比尔”的会话,我们将得到一个K值。

这个K值将会从左至右直线下降,该直线的斜率将会是-1而且在横坐标轴上有一个K数额的截距。假如我们的理论是正确的,那么“比尔”与任何其他人(比如,休、迈克或乔)的每个会话分别有ba/bs值和da/ds值,这两个值将会产生一个点落在上述斜率为-1的K线上。

这个K值,是由“比尔的”各种会话计算出的数值所界定,将会是“比尔”会话“个性”的特征。

为了检测我们的理论,我们只需在一系列会话中观察一个人n次言语行为和沉默不语的实际长度l。通过他的言语行为和沉默不语的频率分布,可以计算并标绘出前文所述的四个变量和常量K

(二)实证检测(查普尔数据)

艾略特·D.查普尔博士在1940年发表了他对五十多个会话的言语行为和间隔沉默的研究成果,这些会话每个都持续在三十五到四十五分钟,是八个不同人之间开展的。他的数据分析方法,我们在前一节基本概述了,在他发表的原著中有详细描述,其中顺便说一句,babsdads这些术语就是取自该论著35

查普尔博士给每个会话标绘了计算出的K值,ba/bs用对数标绘在纵坐标轴上而da/ds用对数标绘在横坐标轴上。这些八个不同人的K值(合计55个)呈现在图11-13中,我们经过查普尔博士的许可根据其原著数据再现于此。理论上讲,我们预测计算出的每个人K值从左至右以-1斜率沿直线下降。

534-1

图11-13 艾略特·D.查普尔研究的会话(参见文本)。

查看图11-13中数据可知,八个不同人(姓名首字母缩写)的55个K值分布与理论预期一致。因此,我们的理论得到了可能日后被看作社会学领域最惊人的一组研究数据的证实。查普尔博士的那些原版论著还包含其他信息值得仔细研究,它们包括插话和双重沉默等等,对此我们的理论并未涉及。

不管我们的理论,我们不要忘了查普尔博士令人印象深刻的数据,这些数据早于我们理论很多年前凭自身实力准确无误地确立了会话平衡的经验法则。而且,正如原著指出的,这些数据表明了会话是作为一个单位——整体而组织起来的(对此我们自己的理论并未涉及)。就我们自己在前文的论证而言,我们试图架构一座逻辑之桥把第一部分论述与本章论述联系起来。

虽然查普尔博士没有对自己数据进行合理化分析,他承诺在此方面进一步发表论著,他从这些数据中推理出(我们认为十分正确)每个人都有一个不变的互动比率(常量K)并据此影响他与别人之间的协调。根据这个推论,查普尔博士已经转至研究产业人事关系问题,他正在此领域做顾问。他已经发现,那些一起共事的无论是在办公室里还是在流水线上,他们的“同步互动比率”有现实意义。他还发现,一个人在工作中的互动平衡会影响他的家庭关系。因此,一个特别强势的老板,员工对他不得不八小时的服从,可能使得他的员工在家里特别强势以作补偿(反之亦然)36

或者,更进一步地阐述“互动链”,老板“鞭打”员工,该员工于是“鞭打”他的老婆,老婆于是打孩子屁股,孩子于是揍邻居的孩子,后者于是就用石块砸狗。

(三)控制系统中的人际互动

虽然我们对于人际互动的最初理论需要进一步在概念上加以提炼,但是这个理论尽管没什么了不起却足以表明,即便在少至两个人的合作企业中都有一种倾向让“另一个家伙”多承担些工作。我们对此的最佳解释恐怕是滑竿的例子,滑竿两端由两个人拿着,其中吊挂着一个沉重的铅坠。我们认为每个人都试图把这个铅坠推向对方那端。虽然方程式(11-14)的建立专门是为了涵盖会话情景,但是这个概念化似乎同样可以适用于滑竿和铅坠的情况,而滑竿与铅坠可能是许多其他合作企业的典型例子。我在抬柩时第一次发现了合作与竞争的平衡这个问题。

由于我们把社会系统界定为一个控制系统,由众多彼此关联的“滑竿”和“铅坠”构成,它的两端分别由一个或以上的人或群体拿着,所以我们可以猜想本章第一部分的十三个方程式能够延伸至很小的人际互动中,而这些互动中的细节几乎可以用方程式(11-14)所指的那些关系加以描述。反过来,与这个方程式密切相关的是第一部分所论述的涉及词语和其他言语实体的那些方程式。不过,一个确实复杂的整体现象似乎完全井然有序。

三、戏剧与辩论

我们在前一节涉及连锁互动,一个人在日常生活中要与许多其他人互动,后者每人反过来都要与更多他者互动,在这个互动连锁或网络的整个过程中从理论上讲每个人都试图在下一个互动中挽回在上一个互动中丢失的东西——这种补偿动机因前一个失败多少而增加——直到某种平衡在整个社会系统中建立起来。或者至少人们在理论上这样认为。

但是,虽然互动平衡的理论很容易概念化,然而现象本身由于在时空广泛蔓延并所以非容易检测。通过实证研究戏剧结构可以有助于解决这个问题。

(一)戏剧言语

舞台戏剧在艺术上代表了至少整个互动网络一个完整部分的横截面,而且就其本身而论它对于研究更多延伸现象的动力学有所启发。因为在戏剧中演员来来往往,每个人都与一个或以上的他者进行或长或短的互动。的确,就是一个演员与其他演员互动的相对次数n和时长l才好像常常表明他在戏剧中的控制程度。

另一方面,由于戏剧在结构上是一个单元—整体,戏剧写作这个任务可以看作是把舞台上持续好几个小时的会话活动“编辑成”n个不同时长l的不同言语,后者反过来又要在A个不同演员中分配。因此,戏剧写作这个问题在很多方面与报纸编辑很相似(可能只有额外的A个“合适”演员问题除外),在此我们有望再次发现我们熟知的理论上的统一化之力多元化之力

因此,戏剧中存在一个统一化之力使得一个演员独白可以持续到整场戏结束,当然可以想象观众会很疲倦。另一方面,还有一个对立的多元化之力使得众多A个不同演员说出简短台词,而观众想必难以将之拼凑为一个整体。在这两个极端之间理论上存在一个我们熟知的平衡状态,即言论的数量n和长度l以及演员人数A的最优化。

可这还不是全部。因为我们还可能在理论上预料,每个演员长短不一的不同言语大概因时分配,以至于它们有点接近第二章论述的词语间隔—频率关系。因为(1)把戏剧分为n个长度l各异的不同言语的这些相同力量也可能(2)既①防止一个或以上演员过度连续发表长篇大论或简短言辞,又②防止任何一个演员过度重复任何长度的言论。

总之,戏剧言语因时分配这个问题在许多重要方面看起来在理论上都与言语流中词语分布状况相似。

戏剧结构中还有另一个因素是言语流的词语分布中未论及的,即戏剧里不同A个演员的相对“A控制性”。这个因素在我们研究中并非陌生,因为我们在刚刚论述会话控制与服从这个主题时至少涉及了它的几个可能方面。

假如我们关于会话控制与服从的论证确实贴切的话,那么我们或能预测某特定演员所有言论序列—频率分布的绝对斜率几乎随着其控制程度的增加而变化,因为控制程度的一个标志就是言论长度增加的比例大于言论数量的比例。然而,这个问题显然毫无意义,我们正在对待的艺术产品在具体实践中并非总能成功地“反映真实生活”,这个事实在经验上也无济于事。另一方面,假如戏剧是成功的,恐怕它必须至少让人觉得它的会话结构和控制动力是逼真的,无论该会话结构和控制动力是什么样的。

由于戏剧动力学这个问题悬而未决,我们只是列举一些可能的关系,根据我们整个前文理论,我们可以合理预期至少能够发现这些关系中的部分证据。我们将要提及的关系到目前为止是我们很熟悉的,因此,我们不会考验读者的耐心再次从理论上呈现这些关系。

首先,我们可以预测,一个成功戏剧中简短言论的数量比长篇大论的数量多得多。其次,我们可以预测,不管怎样在言语的序列—频率分布中有迹象表明存在一个调和级数。第三,这个调和级数很可能见于同一个演员言语复现间隔期间流逝的时间长度分布中。第四,我们可以预测演员的言语分布斜率与其相对的控制程度有关联(这种关联取决于所用的绘图方式)。

由于上述理论构想虽然与我们早先论证明显一致而没有详细论述,所以它们只可以看作探究一个可能十分复杂的全新主题所使用的研究假设。

记住上述四点,我们来转至某些实际研究,对此我们十分感谢博兰(J.P.Boland)和布莱恩特(W.B.Bryant)两位先生的慷慨帮助及其专业研究,他们俩当时都没有意识到他们所实证研究的理论问题的本质。

布莱恩特先生研究分析了尤金·奥尼尔(Eugene O'Neill)的《大神布朗》(The Great God Brown)除了序言和后记之外的整部剧作,特别关注了主人翁玛格丽特、布朗和迪昂的言论。博兰先生研究分析了埃德蒙·罗斯唐(Edmond Rosetand)的《风流剑客西拉诺》(Cyrano de Bergerac),特别关注了西拉诺的言论。布莱恩特先生以打印文本的一行文字为单位来考量言语长度以及言语复现之间的间隔;博兰先生以打印的一个单词作为考量单位。

图11-14中呈现了布莱恩特先生的《大神布朗》研究数据,从数据上来看他将该剧看作一个不分幕的连续整体(这种做法可能会导致剧中人物言语复现之间的间隔分布有点扭曲)。在图形顶部分别标记1M、1B和1D的是根据长度计算的玛格丽特、布朗和迪昂的各自言语的序列—频率分布状况。这些基本上都是直线,因而证实了我们理论预期的直线性。此外,从左至右斜率似乎越来越陡;当然,假如我们在纵坐标轴上标绘log N,在横坐标轴上标绘log lsic),就像我们处理会话时那样(不过,其中横坐标是算术的),那么,我们应当说我们的双对数斜率da从左至右逐渐下降。不幸的是,没有现成的经验标准来排列这三个人物的重要性。

图11-14中间一组标记2D、2B和2M的三条曲线分别是迪昂、布朗和玛格丽特的言语之间间隔长度的序列—频率分布。这些曲线在靠近底部时明显呈直线性,斜率大约为-1;而在靠近顶部时的偏差很可能来自这样事实,即这些间隔的计算没有考虑戏剧是要分为不同幕的。这些分布似乎证实了我们的理论预期。

图11-14底部有两条曲线。左边的那条曲线(标记3,全部言语)代表了该戏剧所有言语按照长度进行降序排列后的序列—频率分布状况。右边(标记3,全部间隔)是该戏剧所有人物言语之间所有间隔长度的序列—频率分布状况;曲线上部恐怕不应该太较真,因为这是戏剧分为不同场景造成的。然而大体上这两个分布有一个显著的直线程度,我们记得这个直线程度是指该剧中所有人物的全部间隔和全部言语。毕竟根据零假设,这些分布没有优先的必要。

539-1

图11-14 尤金·奥尼尔剧作《大神布朗》言语的序列—频率分布及间隔—频率分布。

图11-15如图所示适当移动原点呈现了:(1)第一幕中西拉诺言语间隔长度的序列—频率分布状况;(2)第一幕中所有人物全部言语长度的序列—频率分布状况;(3)第一幕中西拉诺言语长度的序列—频率分布状况。所有这些情况中考量单位都是词语。顺便说一句,这个单位非常小[35]。假如使用较大的单位,靠近底部的向下凹面很可能会消失。不过,在此问题的当前早期研究阶段,非常小的单位的效果很有启发性。不管怎样,底部非常短的言语和间隔之上的曲线部分显示了一个非常有意义的直线性,它与我们有限的理论预期相当一致。

540-1

图11-15 罗斯唐《风流剑客西拉诺》言语的序列—频率和间隔—频率。

上文数据显示出更多问题,比如戏剧人物数量A及其各自全部言语的可能理论定律。接着还有相关的问题,即移动画面场景的数量n和长度l的问题,这反过来与我们在第五章论述的“眨眼法则”有着密切关系。通过如此研究我们可以洞察到是什么构成了“结构良好的”戏剧。

虽然在这一点上教条主义会一无所获,不过上述有关戏剧言语的数量、长度和分布的数据清晰地表明:就戏剧而言,全部一连串的互动井然有序。这反过来说明,在一天的时间内我们的“比尔”以这样一种方式寻求和离开会话,即其会话和沉默间隔两者在长度和频率上的分布使得会话所需功力在“比尔的”一天中平均分配,他现在不想说话想独处,过一会儿又想说话渴望与朋友交谈。在这个方面,我们不要忘了艾略特·查普尔博士已经发现了会话的言语行为和沉默不语似乎构成了一个单位——整体(参见前文引文)。

戏剧言语这个问题表明了辩论言语的问题,比如国会或众议院在讨论一个有争议的话题时展开的辩论。这里赞成反对的言语数量和长度更多反映了个人情感而不是决议,它可以奉行政党路线。

辩论主题提出了更多主题,例如法国国民议会中不同政党数量及其各自人数。常见的多党制度就是大量的小政党联合起来对抗少量的大政党。

相对控制和服从这个主题显然意义深远。

四、学术出版[洛特卡定律(Lotka's Law)]

乘我们还在讨论当前主题,我们来简要考量一下洛特卡(A.J.Lotka)博士对化学家科学产品的重要研究(1926年发表),该研究针对《化学文摘》(Chemical Abstracts)1907—1916年摘录的化学家们各自发表的不同论文的数量n37洛特卡博士在其先锋研究中仅对字母A和B的进行了分析,发现那些发表特定n篇文章的人数fn2(实际为n1.888)成反比例。据我所知,他没有合理解释这个现象。顺便说一句,假如数据根据n降序排列,这个“科学生产的平方反比定律”显然是调和分布(即,p=1)的又一个例子。

可以想象,这种分布反映了“专门能力”的“自然分布”,正如哈罗德·T.戴维斯博士所概括的(参见前文引文)。当然,这样一个结论会造成一个非常方便的特别假设,虽然我认为该结论没有得到进一步证实。我们提及这个结论以免不然我们好像忽略了它。

换个不同角度看,我们能够理解在科学期刊有限空间里以及在摘要里如何倾向选择某些科学家的论文,而这些科学家在他们先前文章基础上已经建立自己的科学声誉。因为,在某种程度上,编辑往往选择那些让读者觉得“重要”和“有趣”的文章。然而,我们可能要问,什么才是“重要的”和“有趣的”?

显然,重要性和趣味性这个问题未必是由产品所需的技能或劳力决定的。因此,要在针头上雕刻整部圣经需要大量技能和劳力,可是人们不禁怀疑这样一个产品在社会上能否被认为有着巨大的重要性和趣味性。化学实验室里劳力和技能的产品除了是否有明显的社会价值之外无法从社会角度对其评价。

大体上可以想象科学生产力的推动力来自人们认为有“社会重要性”和“社会趣味性”的欲望。当然,日常研究不可完全证明这样的猜想为假,即“从众心理”这个因素在选择学术研究主题和措施时是存在的,即便科学史确实表明了长期辛勤研究碰到几乎难以克服的困难这样零星案例,这些研究在科学家有生之年被社会接受的直接可能性基本上不存在(参见第八章对这个特别动力的论述)。

由于“被认可”的欲求似乎给大量研究提供了动力,我们来假定一个工作假说,即科学家总体上都想要从他人那里赢得声誉敬重,无论就其学生和研究助理人数而言,还是就薪资或学术荣誉而言,还是在女子俱乐部或演播室发表演说的要约方面,还是在公开发表的研究报告篇幅方面,还是在出版的不同论文或专著的数量n方面,都想要赢得声誉或敬重。

由于我们已经在本章第一节论述了社会系统处置的全部敬重可以看作是固定数量的“商品与服务”,如同全部收入一样,是在社会系统成员之间分配,所以我们不必惊讶于洛特卡博士已经发现那些写出n篇足够重要和足够有趣的论文并且被《化学文摘》(Chemical Abstract)摘录的化学家人数f中存在直线性。

洛特卡数据用我们普通调和级数方程式表达时其斜率p=1值得我们特别关注,因为这个特殊斜率是与社会群体活动而不是个体活动有关;这一点我觉得可以理解,由于许多化学研究成果虽然由主管实验室的教授或主任发表可是代表了许多研究技术人员和学生的体力和智力的集体劳动成果。

一个人的名头越响,他就越有能力吸引学生和研究经费,雇佣技术人员购买昂贵设备,结果他创作和发表全新“重要的”和“有趣的”研究成果的可能机会往往在指数上逐渐增加(即,“没有什么比成功更能造就成功”)。

前文论述只适用于整个社会系统认可的可能具有价值的产品,而不适用于那些有自身声誉要分配的狂热群体或圈内群体的产品38

假如我们现在转至群体在整个社会系统发现并公布“新想法”这个更加普通的情况,那么有趣的是,有些“新想法”可能广为接受,而越来越多的“新想法”在我们称作知识力量效应分布方面可能寡为接受,思考个中缘由很有意义。这类思考与我们前文论述信息流通(第九章)以及出版结构(第五章)一致。这表明了,在“文化”上或“智力”上越来越多的人对于任何社会系统中事物看法一致的情况越来越少。

人们按照共同想法群分(即按照他们所有的特定目标和程序模式而分群)反过来意味着人们分进一个或以上更加普通和专门的群体的方式与我们在本章以及前几章研究的实际分配并非不一致。

第四节 结语

本章论述了经济权势和社会身份的分布这个主题,我们的论述分为三部分。

我们在第一部分提出涉及整个人口C的两个理论类比,然后将两者结合为一个“宏大”类比,后者扩展开来包括第九章地理经济的类比。根据这些类比我们得出一系列方程式,接着针对当今问题探究了这些方程式之间的必然因素。

我们在第二部分呈现了大量经验数据来支撑我们的这些方程式。

我们在刚刚结束的第三部分从整个人口C中经济权势和社会身份的分配这个问题转向少至两个人之间的群体内部人际关系中可称作权势平衡的这个问题。在这一部分支撑我们理论的数据有三类:(1)查普尔博士的研究数据,(2)戏剧言语的数据,以及(3)洛特卡博士的“科学产品”的数据。

我们在本章认为,叫别人做自己的工作总是经济的,人总是经济地行事。我们的方程式归根结底是指一个平衡的概念,根据这个概念,个体地和集体地利用他人的经济受阻于这般利用所造成的个体和集体的不经济。


[1]我们说的剥削仅仅指“得到好的东西”(不是像勒索这样的贬义)。无论A对B做什么,B也能对A这样做(即,这些规则是公正的)。组织既能对剥削的组织者有益,又能对被剥削的被组织者有益。

[2]上述统一化和多元化力量是根据系统这个组织界定为一个整体。每一个个体剥削者要么通过联合数量少的富人去剥削数量多的穷人或者联合后者去剥削前者,以便获得一切,我们将这个持久的欲望归咎于这个剥削者身上,这个持久的欲望可以看作是准第三种力量

[3]文中所言有竞争力的公国等组织的人口序列—频率分布应该近似于我们普通调和级数的序列—频率分布(看待第九章中数据的另一个方法)。

[4]理论上还有更多收入分配是帕雷托著名定律(参见下文)未曾描述的。(方程式11-2中)还有一个群体收入问题,以及给“被剥削的”工人C(平民阶级)所付工资问题,我们稍后将论述。

[5]精英人数n3似乎是Ca的平方根函数,(1)A·Sn=Ca;A=Ca/Sn;(2)精英=A1/2·Sn=(Ca/Sn1/2×Sn;(3)精英478-3变量478-4很小(例如,美国近年来最多是4或5)。这个“平方根函数”在计算全国收入时终究有些价值。有趣的是,卢梭(Rousseau)认为精英(即政府)规模随着人口的平方根变化而变化,假如我没有搞错的话3。精英与人口之间很可能有关系。因此,特定群体的精英一般是该系统中全部人口C中相当小的一部分。

[6]我们忽视了这一情况,即y阶级的所有领主Ny想要获得所有领主Ny+n的全部收入,因为我们已经发现y阶级的收入与y成反比例。

[7]我们的方程式(11-11)和(11-12)引入概率这个概念,因而引入可能功力(或气力)这个概念。

[8]欧洲情况也同样如此,欧洲已经遭受瘟疫,并且正在遭受战争的威胁,他们公开宣称意在统一欧洲。

[9]这个宗主国2/3斜率,除了表示社区规模分布中p值的下限,在语义动力学上(或者,更好的表达,在当前例子的语义潜势中)也有很大价值,假如我们说词语“包厢”y中有Sy个意义,而不说领主“包厢”y中有Sy个随从。在此情况下,表句词的分布,如第四章所论述的当今努特卡语、大平原克里语等,不难想象可视作宗主国2/3斜率的代表,其中,“多元化”之力是“统一化”之力的两倍。

[10]细想一个军事组织,许多各军衔的长官构成了精英阶层,他们建立在大量士兵的基础之上,这些士兵几乎没有责任也没有权威。

[11]由于b很小,精英收入与平民收入之间的全部收入曲线中不会有空隙。

[12]延伸开来,这个理论定律也可解释人们更愿意与相同社会—经济地位的人交往。因为假如老百姓一个晚上只要花五美元就可让女孩开心,那么他必须在五美元可以产生足够激励的社会—经济阶层中找女孩。由于文化条件固定而供需任意分布,因此所有社会交往一般都在相同社会—经济阶级或身份中进行。为了加强交往,相同身份的人一般住在彼此附近,这一点基本上明显可见,参见第七章和第九章的论述7

[13]换言之,精英会买两类商品:(1)他和平民都需要的日用品,这些商品的整个成本因收入A而异,对此恩格尔已有研究,以及(2)“奢侈”商品或“名牌”商品,它们的成本根据收入在指数上变化不一。但是,这个问题有争议。所购商品和服务的种类m在上文第二个类比中有论述8。我们明确论述了一个类悖论,在更加富裕的机构中更卑微的地位受到天才的偏好,因为他的服务所得的最终报酬,假如给其主人看,很可能是其主人收入的一个指数。

[14]对于股东个体而言,通过对所有的公司利润征税,无论这些利润是以股息的形式付出还是留存国库(马萨诸塞信托公司就是如此),税是公平的——而且利润显然一般是以股息的形式分配。

[15]常见的言论认为人口出生率一般随着生活水平提高而降低,对此卡尔·萨克斯(Karl Sax)博士有所研究,可以想象的出,这一点与孩子作为帮手的资产价值是固定的这个事实有关,因此,就资产价值而言富人生孩子的动机越来越小11

[16]一个系统中的工会就是这个社会系统中的精英,公司也同样如此。对工会控制权的争夺就是控制系统里的争夺。社会系统中的革命对于该系统自身不比对于一家公司或其行政人员更加有利。

[17]为了税收的目的,居住单位可允许的贬值率是“直线”贬值(即逐年一定的百分比)还是根据某个指数系统而发生,这个问题在加快退役军人安居工程建设中可能有着重要的影响。

[18]这类观点适用于有关我们分配的所有不变或任意的行为。因此,假如擦鼻涕是以任意的或固定的速率进行,那么穷人擦鼻涕要远多于富人;同理,一个人在离家一定距离D时擦鼻涕的概率是随着D减少而减少,因为那个概率就是他在任选时刻离开家的距离D的概率。12

[19]我们可能猜想,长期来看增加C的力量等同于增加a的力量;或者扩张的冲动等同于革新的冲动。可能的情况是,那些扩张速度大于其革新速度的国家不比革新速度大于其扩张速度的国家可怕。Ca随着C2变化而变化吗?

[20]我们在第九章和第十一章再次发现第一部分的工具类比并非偶然。

[21]笔者在某高校借助某常用的精神病学设备秘密地进行一场实际试验,在一份教职工样本中发现,大约7人中就有3人具有偏执狂的“显著特征”。该事实从他们公开言谈中也明显可见(行政人员中也同样如此)。

[22]理论上看,只有当所言的理想世界情景热心详述那些占据学术地位之人的个人精神病状况时,才会如此;因为一般来说我们应当期望发现,对国王道德智慧的真正奉承,就像对国王才智的喝彩一样,在我们方程式看来是整个等级从上而下有利可图的消遣;然而晋级上层社会的将是那些“道德高尚的”以及“幽默感十足的”人。

[23]因此,斜率较小的底部弯曲意味着“太多的人”领受的“太少”,因而有动力把他们自己组织起来反抗整个上层群体。

[24]不过,值得反思的是,这些数据不是经济自给自足群体的数据,而是帝国核心的数据。

[25]累托学派颠倒我们的坐标,在X轴上标记收入规模,而把那些领受至少特定x收入的累计人数标绘在Y坐标上。因此,以帕累托方式标绘出的数据的斜率是我们的倒数(即,p=2/3代表帕累托学派声称的-1.50斜率)。

[26]戴维斯博士的陈述参考了洛特卡(A.J.Lotka)博士的开拓性研究28,后者以“科学生产的平方反比定律”而著称,对此我们稍后(第三部分)将在阐述激励指数定律时加以论述。洛特卡数据,假如加以排序的话,将会得出p=1,因而并不支持戴维斯博士的结论。此外,在算术—对数上呈直线性的平民薪酬分配排除了这一简单的主张,即“特殊能力”是双对数分布的。我们来反思:假如有n+1个人有特殊能力,而且只有n份工作提供给这些人,那么他们当中的一个人可能会跌落进平民阶层。我们论述基于这样的假设,即有些人比别人更有能力(能力的分布无需直线性!)。

[27]顺便说一句,这个帕累托值p=2/3与我们理论上的2/3帝国斜率没有关系,后者是指集体收入的负斜率而不是个体收入的负斜率。

[28]真心感谢前面那位会计,我应当还要感谢其他大公司会计给予我的合作;他们要么无法提前一年汇总数据,要么无法用足够详尽的表格呈现数据,要么必须在年度报表中方可对外公布数据。我在写作中所用的数据是我知道的可供我使用的数据,所有这些数据都是用高度机密的形式使用的。这个问题值得进一步实证研究。

[29]他用对数形式发现:log x+2.126 8log y=2.987 628;理论上看这应该近似于:log x+2log y=常量。

[30]该摘要出现在《诺依曼保险杂志》(Neumanns Zeitschrift fur Versicherungswesen)第61期(1938年2月9日)的第148页到149页(哈佛商学院图书馆有此副本)。迈德尔博士于1938年1月15日在德国保险科学协会年会(Jahrestagung des deutschen Vereins fur Versicherungs-Wissenschaft)前发表该演讲。

[31]A曲线的斜率尽管不规则,也大约是-1/2,奇怪的是,假如整个分布遵从方程式(11-2)(即,p=1)才会是这种情况。

[32]然而,在处理一个有着五个变量的问题时,教条是无济于事的。的确,很能理解,读者更倾向于明确假定badabs成反比,而与ds成正比。

[33]斜率da只在原点移动到“过长”发言起始点之后加以计算。

[34]毕竟,听人说话是尊重对方的表现。“精彩的”会话是赢得尊重的一种手段。

[35]因此,可以想象,只有一个、两个或三个词语构成的言语在诗歌创作中可能不受青睐[例如,“是”(“yes”),“遵命”(“yes,sir”),“没问题”(“yes,I do”)]。