1
眼视光学
1.6.3.3.3 三、角膜接触镜的有效屈光度
三、角膜接触镜的有效屈光度

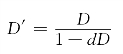
验光所得的结果相当于框架眼镜的处方。因角膜接触镜的后顶点与框架眼镜的后顶点位置不同,在根据验光的结果选择角膜接触镜时须进行光度的调转换算。近视镜片光度相应降低,而远视镜片光度相应增高。

如验光试片的光度为D,试片的后顶点至角膜接触镜的后顶点距离为d,则接触镜的光度D′可计算如下:

一般查表即可或用经验法进行估算。