1.2.2 第二章 相对论
第二章 相对论

关于相对论[7]

有目共睹,这个国家产生了很多理论物理学的基本概念。我对自己能在这么伟大的地方发表演讲感到特别荣幸。此时此刻,我不禁想到了牛顿、麦克斯韦和法拉第。牛顿揭示了物体运动和引力理论,而法拉第则将物理学和电磁场相结合从而形成一个新的伟大的理论,甚至可以说,相对论也不过是麦克斯韦和法拉第的理论的延续和补充,因为他们的物理学理论不仅引入了引力概念,更是试图包含世界上的一切现象。

关于相对论,我要强调一个应该被注意到的事实,即这个理论不是来自几个人的思辨或者空想,而是像其他物理学理论一样,都是来源于观察到的事实,而且也都可以被实验证实。这个理论的研究方法和思路并不是革命式的独创,而是对一条存在了几个世纪的路线的继续发展。这个理论也抛弃了一些关于空间、时间和运动的概念——一直以来都被认为是最基本的,但是抛弃不是随意进行的,而是由观察到的事实所决定的。

电动力学和光学已经证实了这样一个定律,即在空虚空间中光速是不变的。迈克尔逊通过在试验中使用一种精密的方式也证实了所有惯性系都是等效的,即狭义相对性原理。这两个定律如果要结合在一起,首先就要让时间概念也具有相对性,也就是让每个惯性系的空间都不同,即都有各自的特殊空间。随着这个观念的发展,我们就会逐渐明白,直接经验与坐标和时间这两者之间从未被人发现和思考过的关系。总之,相对论的主要任务之一就是要准确地显示基本概念与观察到的经验事实之间的关系。在这个过程中,它要遵循的唯一的物理学原则就是,一个基本概念是否正确,完全取决于能否正确理解那些产生它的物理实验和经验事实。

按照狭义相对论的观点,如果通过静止的时钟或物体来度量坐标和时间,那么它们就是绝对的,而不是相对的;但是如果它们通过惯性系的运动状态来度量,那么它们就是相对的。按狭义相对论来说,由时间和空间结合而成的思维连续区仍然保持着绝对性;按之前的理论来说,这种绝对性是时间和空间各自所持有的。在这里,坐标和时间被看做是量度的结果,由此可以得知,相对于坐标系的运动可以影响物体的形状和时钟的运行,以及质量和惯性质量是相当的,即相对存在的。

古典力学无法解释一个明显的基本事实,那就是物体的惯性质量与引力质量大小相同。但是,如果在这两者相对加速的坐标系中引入相对性原理,这个事实就可以得到解释。因此,可以说,广义相对论就是建立在这个基本事实上的。如果引入一个相对于惯性系加速的坐标系,那么就会出现一个相对于惯性系的引力场。从而,建立在惯性和重量相等基础上的广义相对论——就会衍生出一个引力场理论。

根据狭义相对论,如果把两个相对加速的坐标系看做是一样的和合理的——它们都是由惯性和重量的同一性所决定,那么就会得到这样一个结论:当存在引力场时,固体在空间中的排列所遵循的规律并不符合欧几里得的几何定律。时钟的运行就是如此。由此看来,不能用量杆和时钟来量度空间和时间坐标。这样一来,我们就只能在更广的领域里来应用空间和时间理论。在纯粹的数学领域中,高斯和黎曼已经实现了度规的推广。而本质上,在物理学领域中推广度规是以一个事实为根据的,即在通常情况下,在小范围内狭义相对论的度规还是有效的。

在这里讲的这个发展过程中,空间—时间坐标的独立的实在性已经不存在了。因此,只有将空间—时间坐标与概括引力场的数学量结合起来,才能体现出度规的实在性。

还有一个原因促使了广义相对论的发展。这个原因就是,牛顿的一些理论不能完全让人信服。比如,牛顿认为,如果人们不从因果的角度去研究物体运动,而只是对运动进行纯粹的描述,那么,物体之间就只可能是相对运动。他的这个认识与他自己提出的运动中的加速度相矛盾。这种矛盾迫使牛顿引入物理空间,并且假定加速度是相对于这个空间而存在的。虽然这个物理空间的引入在逻辑上没有任何问题,但总让人有些不舒服。为此,恩斯特·马赫试图修改力学方程,使加速度不是相对于绝对空间,而是相对于其他全部有重量的物体。可想而知,在当时的知识水平下,他的这种尝试是不可能成功的。

虽然不可能改变,但能发现这个问题也是好的。根据广义相对论,有重物质是会影响空间的物理性质的,因此,运用广义相对论使论证这个问题变得更有力量了。在我看来,只有将世界看做是一个闭合的空间,广义相对论才能妥善地解决这个问题。世界上的有重物质的平均密度如果有一个并非无限小的数值,那么不论这个数值多么小,人们都会被迫接受这个理论的数学结果。

什么是相对论[8]

很高兴《泰晤士报》给了我这样一个机会,能让我写一写我的相对论,并能借此机会同已经好久没联系的学术界人士再度联系起来。

在此,我首先想要对英国天文学家和物理学家表示感谢。在战争时期,你们耗费了很多精力和时间来验证一个在敌国完成并发表的理论。同时,你们的国家的科研事业单位为此还提供了大量的财力支持。这一切都是由于你们的国家具有伟大而光荣的科研传统。虽然太阳引起光线的弯曲[9]是一个客观存在的事实,但对于英国科学家们的工作,我还是由衷地敬佩和感谢。因为,如果没有他们这么辛苦的验证工作,估计在我有限的生命里,我是看不到我的理论中的最重要的部分被证明的。

关于物理学的理论可以分成很多种,其中最多的就是构造性理论。这种构造性理论是指从最简单的形式体系开始,并以此为材料,把比较复杂的现象描绘成一幅图像。最典型的代表就是气体分子运动论,即把机械的、热的和扩散的过程都归因于分子运动。当我们认为自己已经清楚地了解了各种自然过程时,这就意味着我们已经建立了概括这些过程的构造性理论。此外,还有一种重要的理论,那就是“原理理论”。这种理论不是用综合法,而是采用分析法。它们的基础和出发点不是由假说构造的,而是存在于经验中。它们是自然过程的普遍特征,或者说原理,而当这些原理必须满足数学形式的标准时,才能给出各个过程或者他们的理论表述方式。这个理论的典型代表就是热力学。热力学就是采用分析法,从不可能存在的“永动机”出发,推导出可以使各个事件都成为可能的必然条件。构造性理论和原理理论都有其各自的优点,前者的优点是完备、适应性强而且明确,后者的则是逻辑严密、基础牢固。

相对论属于原理理论范畴。要了解相对论的本性,就必须要弄清楚它所依据的原理。而在这之前,我必须要说明的是,相对论包括两大相反的理论,即狭义相对论和广义相对论。

狭义相对论是广义相对论的基础,它适用于除力学以外的几乎所有物理现象;广义相对论拓展了狭义相对论,提出了一种引力定律,并指出了引力与自然界其他力之间的关系。

自古以来,人们就有这样一个常识,那就是描述一个物体的运动时必须寻找另外一个合适的事物作为参照物。在描述一辆车的运动时,需要以地面作为参照物;而描述一颗行星的运动时,就需要以所有可见的恒星作为参照物。在物理学中,在空间里作为参照物的事物就是坐标系。如果没有坐标系,伽利略和牛顿的力学定律都是无法用公式来表示的。而且,为了使力学定律有效,我们必须谨慎地选择坐标系,选择的标准就是没有转动和加速度。在力学中,这样的坐标系被称为“惯性系”。

在力学理论中,很多因素都会影响惯性系的运动状态。而且,在力学中还有这样一条定理,即一个坐标系相对于惯性系做匀速直线运动,那么,这个坐标系也一定是惯性系。如果这个定理发展到包含所有的自然界事件,那么,它就成了“狭义相对性原理”,即自然界的那些规律只要对坐标系A适用,那么它对相对于A做匀速平移运动的坐标系a也适用。

狭义相对论所依据的第二个原理是:真空中光速不变。这个原理认为:在真空状态下,光的传播速度是固定的,这个速度不会随着观测者位置的变化而变化,也不会受光源的运动状态的影响。依据这条原理,麦克斯韦和洛伦兹的电动力学取得了很大的成就。这些成就也消除了物理学家对这条原理的怀疑。

上述两条原理各自都具有强有力的事实和经验支持,但从逻辑上看,它们俩似乎是相互矛盾的。而狭义相对论修改了经典运动学,即从物理学理论论述时空的规律,从而正好解决了这个逻辑上的矛盾。例如,只能说相对于同一坐标系的两个事件是同时发生的;在描述一个物体的形状或时钟运动的快慢时,必须考虑它们相对应的坐标系的运动状态。

但旧的物理学,包括伽利略和牛顿的运动定律在内,都不能解释这样的相对论运动。如果上述两条原理完全合理,那么,自然规律也要完全遵循由相对论运动学所得出的普遍数学条件。这些条件也必须适用于物理学。比如,科学家发现了一个飞速运动着的质点的新的运动定律,而这个定律是适用于带电粒子的。

狭义相对论的一个主要思想就是,一个物质体系的惯性质量与它包含的能量相关。由此又直接得出一个这样的结论,即惯性质量就是潜在能量,惯性质量越大,潜在能量也就越多。这样,质量守恒原理就失去了原有的独立作用而与能量守恒原理融合在一起,进而突显能量守恒原理。

其实,在很大程度上狭义相对论只是综合而系统地发展了麦克斯韦和洛伦兹的电动力学理论,但是其发展结果超出了它们的理论范畴。关于狭义相对论,我们至少有两个疑问,即难道只有坐标系的相互匀速平移运动才适用“物理定律与坐标系运动状态无关”这一定律吗?坐标系及其运动状态与自然界之间究竟是什么关系呢?

如果为了描述自然界,我们必须随意引入一个坐标系,那么,这个选取的坐标系的运动状态不能受到限制。也就是说,定律与选取无关,不受选取的限制。这就是广义相对性原理。为了帮助读者更好地理解广义相对性原理,我在此介绍一个早已被认可的经验事实,即在惯性质量与引力质量相等时,同一常数同时控制物体的重量和惯性。按照牛顿定律,相对于惯性系做匀速转动的坐标系之所以产生离心力,其原因就在于惯性效应。但事实却不是这样的,因为与重力一样,离心力也与物体的质量成正比。在这种情况下,我们完全可以认为这个坐标系是静止的,离心力就是万有引力,但这一点是古典力学所不承认的。

以上的简要叙述揭示出广义相对论的基础原理就是引力理论,要想弄清楚广义相对论就必须给出引力定律。这份工作经过很多人坚持不懈的努力,终于迎来了曙光。

这条并不平坦的道路仍然存在着很多意想不到的困难,因为它要求抛弃欧几里得几何理论。也就是说,欧几里得几何给出的物体的空间定律并不适用于空间中的物体,这就是我们所谓的“空间曲率[10]”。因而,在物理学中,“直线”“平面”等基本概念都失去了它们原来的严格意义。

在广义相对论中,运动学或者说时空学说将会与物理学的其他部分发生密切的关系。引力场影响着物体的几何形状和时钟的运行快慢,而它本身却又产生于物质。

从原理上来看,新的引力场理论迥异于牛顿的经典物理理论。但是,这两个理论产生的实际效果是非常接近的,因此,靠以往的经验很难找到它们之间的区别。到目前为止,分辨它们的依据只有以下几种情况:一是行星绕太阳旋转的轨道是椭圆的。这一点在水星的实例中得到了证实。二是在引力场中,光线会发生弯曲。英国人在日食中已经观察到了这一点。三是从大质量的星球向地球发出光线,其波长将会红移[11]。这一点到目前为止还无法证实。

这个理论具有严密的逻辑性,因此,从它得出的结论中只要有一个被证实是错误的,这个理论就被完全抛弃了。因为,我们不可能只对它进行修改而不摧毁整个结构的。

众所周知,牛顿的伟大工作和理论是整个近代自然哲学[12]领域的概念基础,他的伟大而明晰的概念在这个时代都保持着它的独特意义。因此,牛顿的理论是任何理论都不能够轻易取代的。

附注:我澄清一下,你们的报纸上关于我的生活和人品的报道都是出自作者的无据的想象。为了逗读者开心,我这里有一个“相对性原理”的另类应用:今天,我在德国被称为“德国的学者”,在英国则被称为“瑞士的犹太人”。如果我注定要被描写成一个令人讨厌的人,那么就反过来了,对于德国人,我变成了“瑞士的犹太人”,而对于英国人,我就是“德国的学者”。

相对论发展的三个阶段[13]

之前,我把相对论比做一个两层建筑,实际上这个比喻并不恰当,因为它包括三个发展阶段。各种可能的理论都要受到普遍原理的限制,这三个阶段也不例外,它们甚至是在所用原理的逐步强化下得到的。

第一个阶段是狭义相对论,它的限制性原理是:物理方程适用于相对于真空中的光速不变的所有坐标系。第二个阶段是广义相对论,其限制性原理是:物理方程适用于通过连续的坐标变换彼此联系的所有坐标系。实际上,引力场的本质和规律就是由这个原理决定的。同时,这个原理也给电磁场的理论描述留下了很大空间。第三个阶段是广义引力论或者说统一场论。通过拓展引力场,人们终于建立了一个关于总场的相对性理论。

到目前为止,有利于这个相对性理论的只有它的形式的完备性。而且,在数学上很难运用由这个理论得到的方程,因此这个理论还不可能得到证明。由此可见,第一个阶段和第二个阶段已经得到公认可以广泛适用,但第三个阶段还没有得到公认。

以太假说和相对论[14]

在建立了有重物质的观念之后,物理学家之所以还要建立“以太”这个概念,其主要原因就在于它们要使用超距作用[15]和波动轮的观点。下面,我们就对这两个问题作一番简要的讨论。

超距作用这个概念只存在于物理学中,一般人很难理解它。在日常生活经验中,两个物体之间只存在直接接触引发的相互作用,比如碰撞、挤压、拉动,或者用火加热、燃烧等,除此之外,物体之间不存在其他的作用。这种经验形成了一种共识,即只有接触才能产生力,没有媒介的超距作用是不会发生的。固然,日常经验已经证实了重力的存在,重力就是一种超距作用力。但是重力太常见了,而且不管在何时何地,它都不会发生任何变化,似乎与其他事件没有任何关系。因此,我们很难认识到这种超距作用力。直到牛顿发现万有引力并提出万有引力定律,把引力解释为物质间的超距作用力,这时我们才注意到了这种力的作用。牛顿的这一发现和由此建立的理论解释了很多自然现象,是物理学领域划时代的进步。但由于这个理论与当时的人们的共识相矛盾,牛顿不可避免地遭到了同时代的人的质疑和谴责。

人们只能同时接受这两种观点,而且可以通过两个假设解决自然力的概念不一致的问题。一是可以假设那些可以观察到的接触力也是一种超距作用力,只不过这种超距作用力是在微小的距离内产生的。牛顿的继任者对牛顿极度痴迷,丝毫不怀疑他的任何理论和学说,因此,他们大都选择了这条道路。二是假定牛顿的不需要任何传播媒介的超距作用力是虚构的。这种作用力仍然要靠一种充满空间的媒质来传递,这种传递也许是靠这个媒质的运动,也许是靠这个媒介的弹性形变。这样,为了统一解释这些力的本性,我们就把这种充满空间的媒介假定为“以太”。以太假说不但没有给物理学和引力理论带来进步,反而促进了人们对牛顿的迷信,认为牛顿理论是一种再自然不过的公理。因此,以太假说开始统治物理学家的思想,虽然在一开始它最多只是发挥一种潜在的作用。

19世纪前叶,人们突然发现,其实光在很大程度上具有与实际物质的弹性波相似的性质。这个发现更加有力地证明了以太假说。以光为例,这种充满宇宙空间且具有弹性的惰性媒质的振动过程就完全可以解释光具有偏振性,因此,以太这种媒质也应该具有这种性质,但它的这种性质必须是一种固体特性。因为横波只能在固体中传播,而不能在流体中存在。这样,准刚性的光以太理论或者说静态光以太理论就诞生了,这个理论认为,光以太的各部分之间基本上是固定的,但它在传递时会发生微小的变形。而且,这个理论还有两个强有力的支持者,即斐索实验和光行差现象。人们从作为狭义相对论基础的斐索实验[16]中推断出,光以太没有参与物体的运动。

麦克斯韦和洛伦兹将现有的以太观念导向了一个独特的、意外的方向,指出了电学理论的发展方向。在麦克斯韦看来,尽管以太的机械性质比可见到的固体的性质复杂得多,但不管怎样,它仍然是一种具有机械性质的实体。遗憾的是,麦克斯韦和他的追随者们都没有做出一种以太的机械模型,因此他们不能用力学理论合理地解释麦克斯韦电磁场定律。这个定律既清楚又简单,但力学对它的解释却漏洞百出,这种情况令人沮丧。但是,人们差不多都慢慢适应了这种状况,也逐渐习惯于不要求任何力学解释地把电场强度和磁场强度看做是力学的基本概念。进而,纯粹机械的自然观就被逐渐抛弃了。但是,出人意料的是,这种变化导致了一个令人无法忍受的二元论。为了摆脱这个二元论,人们采取了与之前相同的做法,试图把力学的基本概念纳入电学的基本概念中。当时,β射线以及高速阴极射线[17]方面的实验动摇了人们对牛顿经典力学方程的信赖。

H.赫兹也没有解决二元论。他认为,物体不仅是速度、动能和机械压力的载体,也是电磁场的载体,而且这种场也存在于真空中,即自由的以太中。也就是说,以太也是电磁场的载体。这说明,在物质中,以太参与物质的运动;在空虚空间中,以太速度连续遍布整个空间。这样看起来,赫兹的以太与有重物质完全一样。不仅如此,赫兹同时赋予以太和物质力学状态和电学状态,但这两者之间没有任何联系。而且,赫兹理论也不符合斐索实验的结果和其他任何可靠的经验事实。

在这种情况下,H.A.洛伦兹出场了。他通过巧妙地简化理论基础,完美地协调了理论和实验之间的关系,进而将两者结合起来。他对以太的力学性质和物质的电磁性质的取消,是麦克斯韦以后在电学历史上的最大突破。其实,在物体内部与在空虚空间中一样,电磁场的基体是以太,而不是原子论者所想象的物质。洛伦兹认为,物质的基本粒子只能做一些简单的机械运动,而且由于它们自身带有电荷,所以会产生电磁效能。由此,洛伦兹通过运用麦克斯韦的真空场方程,合理地解释了所有电磁现象。

此外,人们可以认为,洛伦兹在取消以太的力学性质时保留的唯一一个性质就是不动性。在此补充一点,狭义相对论正是取消了这个不动性,才实现了以太的完全变革。当然,应该立即解释说明这句话的正确含义。

不可否认,麦克斯韦—洛伦兹的电磁场理论符合狭义相对论的所有要求,并为其运动学和时空理论提供了一个雏形。但从另一方面来看,狭义相对论也揭示了这个理论的另一个面貌。对此,我举例说明。假定一个坐标系R,对于这个坐标系来说,洛伦兹以太是静止的,那么,麦克斯韦—洛伦兹方程对这个坐标系R就是有效的。然后,根据狭义相对论,如果一个新坐标系r相对于坐标系R做匀速直线运动,那么,这个方程对这个坐标系r也是有效的。这样就产生了一个令人不安的问题:既然从物理的角度来看R和r是完全等效的,那么在狭义相对论中,我为什么还要假设以太对R是静止的以凸显R在r之上呢?在理论家看来,与一个毫无经验的体系出现的不对称性相对应的理论结构的不对称性是不能容忍的。在我看来,在假定以太相对于R是静止的而相对于r是运动的条件下,R和r在物理上是等效的。虽然这个结论在逻辑角度上是毫无错误的,终究是无法被人们接受的。

在这种情况下,人们最容易接受的一种观点就是,以太根本不存在。这种观点认为,电磁场不是一种媒介的状态,更不是别的什么东西,而是像有重物质的电子一样,是不依附于任何载体、独立存在的东西。这个见解之所以显得尤为自然,有两个原因:一是根据洛伦兹理论,与有重物质一样,电磁辐射也具有冲量和能量;二是根据狭义相对论,当有重物质失去了它的特性,而只能显示为能量的特殊形式时,辐射和物质也都显示为所分配到的能量的特殊形式。

但是,经过更加精确的验证可以得知,狭义相对论没有一定要否定以太。只要我们取消洛伦兹认定以太具有的力学特征,不再认为它具有确定的运动模式,就可以假定存在以太。实际上,这一点已经被广义相对论所证实。为了让这一点变得更加清楚,我将通过对比说明这一点,也许这个对比并不是很恰当。

设想一下水面上的波纹,通过这个过程可以阐述两种不同的事物。首先,我们可以观察到水和空气的波形界面并跟踪记录下它们随时间变化的情况;其次,我们还可以借助别的介质,如一些细小的漂浮物,记录下水分子在不同时间所处的不同位置。如果不能借助这种细小的漂浮物,在这个过程中只能观察到水的空间位置随时间的变化,那么我们就不能假定水是由无数个运动分子组成的,但我们依然可以把水称作媒介。

如同上述,电磁场也存在类似的情况。假定电磁场由无数力线构成,并且在通常意义上力线被解释为某种实在的物质,那么,我们就可以追踪记录下每条力线随时间的变化,这样,就把力线的运动过程解释为动力学过程了。可是,大家都清楚,这样的想法必定会产生矛盾。

总而言之,并不是所有的物理对象都适用任意的运动理论。也就是说,我们可以假设某些带有延展性的物理客体是不适用任何运动概念的。我们无法把这些物理客体看做是由粒子组成的物质,即某种可以长时间追踪并观察其变化的物质。在闵科夫斯基看来,在四维空间中,并不是所有的广延实体都是由世界线[18]组成的。

其实,狭义相对论和以太假说这两个理论本身并不是相互矛盾的。只不过根据狭义相对论,我们不能假设以太是由那些可以被追踪的粒子组成的。因此,只要我们不给以太强加一种运动状态就可以了。当然,在狭义相对论看来,以太假说是毫无用处的。因为在电磁场方程中,只出现了电荷密度和线场的强度。看起来,在真空中那条内在的定律完全决定了电磁的发展过程,而其他物理量不起任何作用。当电磁场以一种独立的、确定的、实在的形式出现时,如果以太再次显现为一种各向同性、均匀的介质,那么,电磁场必定被认为是以太的存在状态。这样就是多此一举了。

但是,这也可以看做是一个有利于以太假说的重要论据。如果我们否认以太的存在,那就意味着我们承认了一个不符合力学的基本客观事实的观点,即空虚空间绝对不具备任何物理性质。一个物质体系自由漂浮在空虚空间中,其力学行为不仅受到相对距离和相对速度的影响,还受到它自身的运动状态,即转动状态的影响。从物理的角度来说,这种转动状态不能被理解为其自身的特征。而牛顿为了(至少在形式上)可以把这种转动看做是一种具体的存在,就把空间客观化了。也就是说,牛顿把空间看成是客观存在的。那么,按照他的想法,这种相对于绝对空间的转动也是客观存在的。同样,牛顿也可以把他的绝对空间称为“以太”。在这里,问题的本质就在于,为了能够把加速度和转动看做是一种客观存在,不仅要把可观察到的客体看做是客观的,还要把无法察觉的东西也看做是客观的。

马赫曾经作过这样的尝试。在力学中,他为了避免去假设存在某种无法察觉的客观事物的必要性,就用世界上所有事物的平均加速度代替了绝对空间的加速度。但是,还需要提前作一个假设,即假设存在超距作用,因为一切遥远的物体的相对加速度都具有一定的惯性阻力。然而,现代物理学家不同意作这样的假设。既然如此,那就只能再次回到作为惯性作用的媒介的以太上。只是在这个问题的思考过程中,马赫所引入的以太概念本质上就不同于牛顿、菲涅耳[19]及洛伦兹提出的概念。马赫引入的这种以太概念与惯性物体相互影响,即他的以太概念不仅决定着惯性物体的行为,而且还取决于这些惯性物体。

在广义相对论的以太概念中,马赫的观点得到了充分的展现。按照这个理论,如果时空点是分开的,那么它附近的时空连续区内的度规性质完全由该区域之外的物质所决定,因此这个性质是各不相同的。存在一定关系的量杆和时钟如果发生了时空上的变异,也就意味着在物理关系上空虚空间既不均匀也不存在各向同性。这样就迫使我们用一个引力势的函数来描述空虚空间的状态,而这样做就表示否认“空间在物理上是空虚的”这个观点。但是,以太由此具有了一种不同于光的机械波动学说的确定的内容。在广义相对论中,以太是一种缺少力学和运动学的性质的媒质,但在力学和电磁学方面它却起了一定的决定性作用。

原则上,这种新型的广义相对论的以太理论与洛伦兹的以太理论是对立的,其对立点就在于:以太和物质及它与周围相邻各点的以太的关系决定了每一点广义相对论的以太状态。这些关系可以通过一些定律,以微分方程的形式表现出来。不过,对洛伦兹以太来说,如果不存在电磁场,那么,各点以太的状态都是一样的,并且与它自身以外的任何东西都不相关。假如我们不考虑决定以太状态的一切原因,就用常数来代替描述广义相对论以太的函数,那么,我们就可以在想象中把广义相对论以太理论转化为洛伦兹以太理论。因此,也可以说,广义相对论以太理论就是洛伦兹以太理论与相对论的结合。

到目前为止,我们已经可以断定,在未来的物理学中,这种新型以太必定会在世界图像中发挥自己的作用。但是,我们还不清楚这种作用是什么以及怎么发挥出来的。我们了解到,它可以在时空连续区中确定度规关系,如确定有关固体的引力场和可能出现的各种排列方式。此外,我们只知道物质是由带电的基本粒子构成的,而不了解它在这个结构中处于什么地位以及扮演何种角色。我们也不明白是否只有在有重物质附近,它的结构才会相异于洛伦兹以太的结构。我们也无法了解宇宙空间是否与欧几里得的几何相似以及相似程度。

但是,从相对论中的引力方程我们可以断定,在宇宙中,即使是一个极小的物质的正的平均密度也必然会让宇宙数量级空间的形状偏离欧几里得几何。在这种状况下,宇宙必定处于一种封闭的状态,而且具有大小的限制,而决定宇宙大小的就是那个物质平均密度的数值。

需要我们特别注意的是,在考察电磁场和引力场时,如果我们是从以太假说入手,那么这里就有一个原则上的差异。引力势引起了空间的度规,因此引力势遍布于所有空间以及所有空间的所有部分。引力场与空间直接联系在一起并且是密不可分的。我们无法想象没有度规的空间是什么样的,但是,没有电磁场的空间是可以想象的。由此可以看出,与引力场相反,电磁场似乎只与以太存在某种间接的联系。这是因为引力以太不是决定电磁场性质和形式的主要因素。按照现在的理论,电磁场迥异于引力场,具有一个全新的基础,即形式因,而且它似乎被自然界赋予了一个完全异于电磁场的场。

按照我们现在的观点,在本质上,构成物质的基本粒子只是电磁场的凝聚,而不是别的物质。那么,对于现今的世界图像,我们必须承认引力场和电磁场都是客观存在的。而且,这两个完全独立的概念在因果关系上是相互联系的。因此,它们也可以被称为空间和物质。

毋庸置疑,不论什么时候,能把引力场和电磁场结合在一起构成一个完整的实体,都绝对是空间上的进步。到那时,法拉第和麦克斯韦开创的理论物理学的新纪元会得到一个令人满意的结果,以太和物质的对立关系也会逐渐被消除。通过广义相对论,物理学会形成一个非常完备的思想体系,会达到几何学、运动学和引力理论那样的完备程度。在我看来,数学家H.维尔的研究虽然十分有创意,但不符合现实。同时,为了理论物理学的即将到来,我们一定要考虑到量子论解释的事实所带来的场论的界限,而且这种界限是以后也不可能跨越的。

综上所述,我们得出这样的结论:根据广义相对论,空间具有了物理性质。因而,在某种意义上以太是存在的。根据广义相对论,一个不存在以太的空间是无法想象的。在这个空间中,光线无法传播,也不存在量杆和时钟,更别提物理意义上的时间和空间之间的区别了。但是,不能认为这样的以太具备那些重媒质的特性,以及它是由那些可以追踪的粒子构成的。当然,运动概念也不能用于以太。

迈克尔逊实验和相对论[20]

我早在迈克尔逊实验之前就已经知道,坐标系的运动状态并不会影响现象,从而也不会影响现象的规律,一个精确的实验就可以证明这一点。有些情况(一级效应)可以忽略坐标系速度的二次幂,根据洛伦兹所说,他所做的麦克斯韦理论的表述方式可以解释这一点。

但是,这个理论会不可避免地导致人们作出这样的猜想:对于二级或者更高级的效应来说,这种无关性是不成立的。迈克尔逊的最大功绩就是证明了,事实上,在一个决定性的情况下,这种二级效应是不存在的。对于科学知识来说,他的这项工作是一个不朽的贡献,其伟大之处就在于他巧妙地达到了量度所要求的精确度以及大胆而清晰地表述了问题。而且,对于不存在绝对运动或者说狭义相对性原理来说,这一工作也是有力的证据。在自牛顿以来的力学中,相对性原理从来没被人怀疑过,但它与电动力学似乎是不相容的。

迈克尔逊对我的思想没有产生很大的影响,我甚至不确定在1905年我第一次写关于相对论的论文时,是否知道迈克尔逊的实验结果。因为我深信,在一般情况下是不存在绝对运动的,而且我所考虑的问题仅仅是怎样把它与电动力学协调起来。这样,你们就可以理解,为什么迈克尔逊实验对我本人的工作没起什么作用,起码是没有起决定性的作用。

你可以任意引用这封信,而且如果你需要,我还可以作进一步的说明。

答复反对相对论者[21]

挂着“自然哲学研究小组”这个堂而皇之的名字,一个乱七八糟的组织成立了。这个组织的首要目标就是在一般人(非物理学领域中的人)心中贬低我,反对我的相对论。

日前在柏林音乐厅,这个组织的成员保尔·维兰德和恩斯特·格尔克先生就此作出了他们的第一次演讲。我也去听了,因此我清楚地知道,他们不值得我作出精心的答复。而且我肯定,他们这样做的动机并不是在追求真理,因为如果我不是一个倾向于自由主义和国际主义的犹太人,那么……而在此我之所以要作出答复,仅仅是因为一些好心人的劝说,他们认为,我应当表达我的观点。

首先,关于相对论我必须指出,它建立的基础是那些被明确地断定为无可争辩的事实,而且我肯定,没有一位物理学家会否认其逻辑的严密性和合理性。当然,我所说的这些物理学家是指那些已经在物理学领域作出过贡献或者做出了有价值的成绩的人。支持相对论并为这个理论作出了自己的贡献的人有很多,我随时都能说出很多名字,如H.A.洛伦兹、M.普朗克、索未菲、劳厄、玻恩、拉摩、爱丁顿、德比杰、朗之万、列维·齐维塔等,可以说,他们都是当代最伟大的物理学家。至于反对相对论的在国际上有声望的人,我只知道勒那德[22]。实际上,我很敬佩这位物理学家,但我还是要说,他只是精通实验物理学而已,而对理论物理学一窍不通,而且他反对广义相对论的意见如此浅薄,以至于我觉得没必要答复他。

我不喜欢大肆宣传相对论,甚至可以说厌恶。但我没想到我的沉默反而给了一些人反对相对论的机会。诚实地说,在生活中,我注重的是遵循客观规律和事实,只支持合理的论据和真理。我厌恶对一切东西——包括相对论和我自己,夸夸其谈。对这样的事,我只当做一个玩笑,有时还会借此自嘲。现在,我想借此给那些反对相对论的人提供一个机会。

…………

最后,我发现在我的建议下,瑙海姆科学家协会[23]安排了一个关于相对论的讨论会。在这个讨论会上,任何人都可以提出自己的反对意见,然后让大家讨论。

附:与反相对论者的斗争

其实,也许是我把那些人污蔑我的行径看得过于严重了。但我之所以会有如此反应,是因为我以为我的很多朋友参与了此事。为此,我用了两天的时间来想您所谓的“开小差”[24]问题。很快,我就觉悟到,如果我离开我的这群真诚的朋友,那我就犯了一个错误。

也许我真不应该写那篇声明,我的每次发言都被记者利用来销售他们的报纸了,但是我也不能让人们以为我默认那些指责和非难。

我不能为《南德意志报》写稿,因为我拖欠了很多稿子。如果能早点儿还清这些稿债,我就很高兴了。瑙海姆科学家协会想要发表那篇声明,虽然动机是纯洁的,但也许只是适合国外。最近,在报纸上我只看一些客观的和真实的东西。由此,我的心情恢复了往常的快乐和满足,所以,不必为了宽慰我而发表那篇声明[25]

在《物理学》期刊上,格雷贝[26]将要发表一篇令人信服的文章。这篇文章驳斥了迄今为止关于红移效应不存在的鉴定。但是,还需要做很多基本性的工作,才能最终确定红移效应。

我也要去瑙海姆,相信那里会很有趣的。

理论物理学的原理[27]

在此,我首先诚挚地感谢你们给了我这么大的荣誉和恩惠。有幸成为科学院的一员,让我非常激动,如此一来,我不但不用操心以后的职业发展,还可以全身心地进行科学研究。希望我不辜负你们的期望,能够做出一些成果。即使这些成果很微小,也请你们相信我的努力和感激。

接着,我想借此机会讲一下理论物理学对实验物理学的作用。前几天,一位数学领域的朋友对我说:“数学家可以做的事情很多,但绝不包括可以马上做到你让他做的事情。”当然,其中开玩笑的成分居多。但是不可否认,他说的是事实。理论物理学家类似于数学家,当他遇到实验物理学家的请求时,也往往会反应缓慢。那么,这两者之间为什么不能立即适应而要延后呢?

一般情况下,理论学家都是在普遍的假设或原理基础上得出结论和确定原理的。因此,他们的整个工作包括两个部分:一个部分是发现原理,然后根据原理推导出结论;一个部分是储备一定的理论基础,并经过严格的训练,这部分的工作是理论学家在学生时代就做好的。这样,在某一领域或某种相互联系的复杂现象中,只要解决原理问题,并且如果这个人相当勤奋和聪明,那么他就能轻易实现第二部分的积累工作。不过,不同的物理学家做的第一部分的工作可能会具有完全不同的性质,因为据以发现原理的方法不同。这里没有什么可以借鉴和学习的可以完成第一部分的工作的现成方法。科学家想要发现自然界的普遍原理,就必须在繁多的经验事实中找到普遍规律,并将它们用精确的公式表现出来。

这种通用公式一旦被找到,推理就会一个接一个地随之而来。这些推理可能会带来一些意想不到的结果,而且它们的适用范围可能也远远超过其所依据的事实范围。但只要理论学家还没有得出这些作为演绎出发点的原理,那么,他们就不能单凭经验从一些极个别的事实中抽象出普遍定律,或者就算抽象出了普遍定律,也不可能有什么成果。也就是说,只要没有推导出作为起点的基础原理,那么,理论学家只凭经验得出的个别研究成果是没有说服力的。

目前,关于处于低温的热辐射[28]和分子运动定律等理论就处于起点位置。15年前,大家都相信,在麦克斯韦理论的基础上,在分子运动中运用伽利略—牛顿力学理论就可以完全解释物质的电、光和热的性质。然而,当时普朗克提出了一个不同于古典物理学的计算方法,为了使用这个方法,又引进了以后才被充分论证的量子假说,从而建立了一个符合经验的热辐射定律。这个量子假说解释了速率足够低而加速度足够大的极小物体的运动情况,至此,古典物理学就被推翻了。所以,就目前情况的来看,牛顿和伽利略提出的那些运动定律只能算是极限定律。尽管物理学家努力工作,但还是没有找到完全符合普朗克的热辐射定律和量子假说的原理,更不能使这些原理代替古典力学理论。毋庸置疑,虽然分子运动理论可以解释很多热的事实,但我们必须承认,现在对于分子运动定律的研究处于牛顿之前的天文学家研究行星运动情况时的处境。

到现在为止,我的叙述只说明了两种情况:一是还没有适当的原理来处理他们的理论;二是明确提出的原理导致的结论超出了我们目前经验所及的范围。在后一种情况中,需要很多年的实验研究才能断定原理是否与事实相符。这样的例子在相对论中就有。

在相对论中,我分析了空间和时间这两个基本概念。通过分析我们知道,在空虚空间中,物体运动而光速不变,从而证明静态的光以太理论是不能令人信服的。同时,我们还可以得出与此相反的结论:地球本身的任何平移都不能由在地球上进行的运动实验揭示出。它的这种运动只能用相对性原理来解释,即当人们从原来的坐标系转移到一个新的坐标系——相对于原来的坐标系做匀速直线运动时,它们的形式不能被自然规律所改变。这个解释(理论)已经被实验证实了,并且简化了很多联系在一起的事实的理论描述。

当然,这个理论也不是完美无缺的,因为它只适用于匀速运动,而在物理学上,从匀速运动中是不能得到绝对性的意义的。如果上述观点正确,那么有人就会问:非匀速运动适用这种理论吗?因此,如果人们要扩充相对性原理,就必须推出一种更准确的相对论,即一种包括动力学的广义引力论,而目前检验这个假设原理的正确性的一系列事实还没有被发现。

现在,归纳物理学和演绎物理学已经相互提出了问题。大家必须要精诚团结、竭尽全力地进行永恒的研究和探索,才可能解决这些问题。希望我们的努力可以很快取得成果!

关于广义相对论[29]

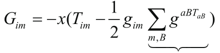
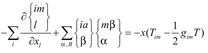
我开始认识到,我的引力场理论迄今为止是完全不合理的。关于这一点,有以下三个方面可以证明:(1)我证明了在一个匀速转动的参照系中,引力场并不满足场方程;(2)水星近日点每100年进动43″;(3)我之前对协变的考察没有提供哈密顿函数[30]H。如果它被适当地推广,它就会允许任意的H。因此,要适应坐标系的协变是劳而无功的。

我已经对以前的理论及其造成的后果和使用方法彻底失去信心了。现在,为了完美地解决这个问题,必须将它与一般的协变理论,即黎曼协变理论联系起来。关于这点,我在科学院的论文中犯了一个错误,我可以把这些论文立即寄给您。下面,我将论述经过修改以后的最终结果。

通常,引力场方程都是一般协变的。如果(ik,lm)是4秩的克里斯托菲张量,那么就是一个2秩的对称张量。这些方程成为“物质”的能量张量的标量,在下面我用T来表示。很难看出这些很容易写下来的协变方程是泊松方程的推广,同时也很难发现它们满足了守恒定律。

只要选定参考系,使,就能够简化全部理论。于是,这些方程所取的形式是:

三年前,我和格罗斯曼一起思考了这个方程,但当时得到的结果是错误的,因为它不能提供牛顿的近似值。由于认识到应该把克里斯托菲符号看成是引力场“分量”的自然表示,我才解决了这个问题。而只要注意到这一点,上述方程就变得很简单了。因此,不必为了作出一般解释而通过计算这些符号来改造它了。

由此可以得出一些让我激动万分的结论:第一近似值是牛顿理论,第二近似值是水星近日点每100年进动43″以及太阳附近的光偏折度是之前结果的两倍。

弗罗恩德利希有一个方法可以测量木星附近的光偏折,但是一些恶棍阻碍了这个验证。对此,我并不是十分在意,因为我认为,有充分条件可以保证这个理论,尤其是关于光谱线位移的定性证明。

几何学命题的物理意义[31]

本书的大多数读者在学生时代就已经熟悉了欧几里得几何的结构,毕竟,你们都或多或少地被老师逼着在这个伟大的结构上花费了很多时间和精力。因此,可以理解你们对这个结构的崇敬,以及你们对不认同这个结构的人的嗤之以鼻。但如果这个人问你们:“你们断言这些命题是真的,究竟是因为什么呢?”也许你们就不会那么自信了。现在,我们来考察一下这个问题。

几何学是建立在某些概念,如点、直线、平面和某些简单的命题或公理的基础上的。在我们的观念中,此类概念是基本上确定的,于是,在我们看来,这些简单的命题也是“真的”。这样,根据一种我们不得不认为合理的逻辑,这些公理可以推导出其他一切命题。也就是说,其他命题可以被证明是“真的”。一个命题只要是从公理推导出来的,而且是按照公认的方法,那么这个命题就是“真的”。由此,几何学中的各种命题的“真理性”问题就可以归结为公理的“真理性”问题。然而,长久以来人们一直知道,从根本上说,几何学方法不能应用到本身没有意义的公理“真理性”问题上。对于一个问题,如通过两点只能有一条直线,我们不能问是不是真的,而只能说在欧几里得几何里,线上的两点是这条直线的性质的唯一决定者。归根到底,“真”这个概念总是习惯上指那种同客观实在的对应关系,但是,几何学的研究并不涉及这种关系,因此,在纯粹的几何学中并不适合使用“真”这一概念。

尽管如此,在几何学中还必须要使用“真”这个概念,也就是说,必须得说某一命题是“真”的。因为在自然界中,几何观念对应于多多少少确定的客体,并且这些观念只能从客体中产生出来。与之相矛盾的是几何学只有不这样做,才能实现其结构的逻辑统一性。比如,在我们坚不可摧的思想习惯中,测量“距离”都是通过在刚体上做了记号的两个位置来进行的;在适当的观察位置上,如果我们用一只眼睛去看3个点,那么,这3个点的呈现位置就重合了,因此,我们就习惯于把这3个点看做是在一条直线上。

按照我们的思想习惯,假如我们给欧几里得几何命题再补充一个命题,即一个实际刚体上的两个点总是对应着同一距离或者说直线间隔,并且这个距离不受刚体的位置变化的影响,那么最后我们就能把欧几里得几何命题看做是关于实际刚体位置变化的命题。由此可知,如在一个刚体上有3个点A、B、C,如果已经知道A点和C点,且B点使AB和BC这距离和最小,那么,这3个点是位于一条直线上的。被这样补充之后的几何学就可以被看做是物理学的一个分支,这样的命题就可以面对“真理性”问题了,因为它可以回答这样一个问题,即那些可以产生几何观念的实在事物都可以满足这些命题。或者也可以不严格地说,按照我们的理解,这种意义上的几何学命题的真理性就是它是否有效于用直尺和圆规所做的图形。当然,在这个意义上,关于几何命题“真理性”的观念完全是建立在一种不是很完善的经验上的。

目前,我们就暂时假定几何命题的“真理性”,但在以后的广义相对论中,我会揭示这种真理性的局限性及其范围。

相对论的认识论观点以及闭合空间问题[32]

虽然相对论的实验基础多种多样,但是其内容和方法却很简单,简单到用几句话就可以概括。物理学的基础是绝对运动的概念,但是自古以来人们意识到的却是相对运动。人们假设曾经存在光以太的运动,这是一种同其他运动状态都不同的特殊的运动状态。以光以太作为参照的物体的运动才具有意义。因此,以太就意味着绝对静止这个毫无意义的概念。如果光以太真实存在,并以刚体的形式充满整个空间,同时所有运动都以它作为参照,那么我们就可以说存在“绝对运动”,并在这个基础上建立起力学理论。但是,没有一个物理实验可以揭示出以假想的光以太为参照的特殊的运动状态。由此,我们就要考虑也许这个光以太是不存在的。相对论就曾系统地做过这样的工作,即假设不存在特殊的运动状态,然后根据这个假设研究自然规律是什么。这样看起来,相对论所使用的方法和热力学非常相似。实际上,整个热力学回答了这样一个问题,即在永动机不可能实现的情况下,自然规律应该是怎样的?

相对论理论的另一个要点是它在认识论方面的观点。在物理学中,一个概念是否能够存在取决于它与物理事件或实验是否具有清晰、单一且明确的关系,先验的正确或者先验的必然的概念是不存在的。因此,相对论抛弃了一些与实验不具有单一、明确的关系的旧概念,如绝对同时性、绝对加速度、绝对速度等。同样,欧几里得几何中的一些概念,如平面、直线等也不能幸免被抛弃的命运。每一个物理概念的定义都应当清晰明确,这样,人们才能在原则上判断这个概念是否适应具体的情况。

在我看来,有限的闭合空间概念优于无限空间概念的原因有以下几点:

1. 无限空间需要在无穷远处假设准欧几里得结构的边界条件,根据相对论的观点,闭合空间的边界条件就比无限空间的简单多了。

2. 马赫认为,惯性产生于物体间的相互作用。相对论的场方程的观点十分类似于这个看法,从场方程确实可以推出惯性,至少部分是由物体间的相互作用产生的。这样,马赫的想法就非常说得通了,因为惯性不可能一部分产生于物体间的相互作用,一部分产生于某种同空间无关的因素。但是,马赫的这一想法对应的只能是一个闭合空间,而不可能是一个无限空间。总之,根据认识论的观点,空间的力学性质完全取决于物质,而这一点只有在闭合空间中才可以实现。

3. 无限空间中的物质的平均密度为0,而物质的密度为0只可能在逻辑上出现,在现实中,这样的可能性很小。