附录一 科学技术报告、学位论文和学术论文的编写格式
中华人民共和国国家标准
UDC 001.81
科学技术报告、学位论文和
学术论文的编写格式 GB 7713—87
Presentation of scientific and
technical reports,dissertations and scientific papers
1 引言
1.1 制定本标准的目的是为了统一科学技术报告、学位论文和学术论文(以下简称报告、论文)的撰写和编辑的格式,便利信息系统的收集、存储、处理、加工、检索、利用、交流、传播。
1.2 本标准适用于报告、论文的编写格式,包括形式构成和题录著录,及其撰写、编辑、印刷、出版等。
本标准所指报告、论文可以是手稿,包括手抄本和打字本及其复制品;也可以是印刷本,包括发表在期刊或会议录上的论文及其预印本、抽印本和变异本;作为书中一部分或独立成书的专著;缩微复制品和其他形式。
1.3 本标准全部或部分适用于其他科技文件,如年报、便览、备忘录等,也适用于技术档案。
2 定义
2.1 科学技术报告
科学技术报告是描述一项科学技术研究的结果或进展或一项技术研制试验和评价的结果;或是论述某项科学技术问题的现状和发展的文件。
科学技术报告是为了呈送科学技术工作主管机构或科学基金会等组织或主持研究的人等。科学技术报告中一般应该提供系统的或按工作进程的充分信息,可以包括正反两方面的结果和经验,以便有关人员和读者判断和评价,以及对报告中的结论和建议提出修正意见。
2.2 学位论文
学位论文是表明作者从事科学研究取得创造性的结果或有了新的见解,并以此为内容撰写而成、作为提出申请授予相应的学位时评审用的学术论文。
学士论文应能表明作者确已较好地掌握了本门学科的基础理论、专门知识和基本技能,并具有从事科学研究工作或担负专门技术工作的初步能力。
硕士论文应能表明作者确已在本门学科上掌握了坚实的基础理论和系统的专门知识,并对所研究课题有新的见解,有从事科学研究工作或独立担负专门技术工作的能力。
博士论文应能表明作者确已在本门学科上掌握了坚实宽广的基础理论和系统深入的专门知识,并具有独立从事科学研究工作的能力,在科学或专门技术上做出了创造性的成果。
2.3 学术论文
学术论文是某一学术课题在实验性、理论性或观测性上具有新的科学研究成果或创新见解和知识的科学记录;或是某种已知原理应用于实际中取得新进展的科学总结,用以提供学术会议上宣读、交流或讨论;或在学术刊物上发表;或作其他用途的书面文件。
学术论文应提供新的科技信息,其内容应有所发现、有所发明、有所创造、有所前进,而不是重复、模仿、抄袭前人的工作。
3 编写要求
报告、论文的中文稿必须用白色稿纸单面缮写或打字;外文稿必须用打字。可以用不褪色的复制本。
报告、论文宜用A4(210mm×297mm)标准大小的白纸,应便于阅读、复制和拍摄缩微制品。报告、论文在书写、扫字或印刷时,要求纸的四周留足空白边缘,以便装订、复制和读者批注。每一面的上方(天头)和左侧(订口)应分别留边25mm以上,下方(地脚)和右侧(切口)应分别留边20mm以上。
4 编写格式
4.1 报告、论文章、条的编号参照国家标准GB1.1《标准化工作导则标准编写的基本规定》第8章“标准条文的编排”的有关规定,采用阿拉伯数字分级编号。
4.2 报告、论文的构成(略)。
5 前置部分
5.1 封面
5.1.1 封面是报告、论文的外表面,提供应有的信息,并起保护作用。
封面不是必不可少的。学术论文如作为期刊、书或其他出版物的一部分,无需封面;如作为预印本、抽印本等单行本时,可以有封面。
5.1.2 封面上可包括下列内容:
a.分类号在左上角注明分类号,便于信息交换和处理。一般应注明《中国图书资料分类法》的类号,同时应尽可能注明《国际十进分类法UDC》的类号。
b.本单位编号一般标注在右上角。学术论文无必要。
c.密级视报告、论文的内容,按国家规定的保密条例,在右上角注明密级。如系公开发行,不注密级。
d.题名和副题名或分册题名用大号字标注于明显地位。
e.卷、分册、篇的序号和名称如系全一册,无需此项。
f.版本 如草案、初稿、修订版、…等。如系初版,无需此项。
g.责任者姓名责任者包括报告、论文的作者,学位论文的导师、评阅人,答辩委员会主席、以及学位授予单位等。必要时可注明个人责任者的职务、职称、学位、所在单位名称及地址;如责任者系单位、团体或小组,应写明全称和地址。
在封面和题名页上,或学术论文的正文前署名的个人作者,只限于那些对于选定研究课题和制定研究方案、直接参加全部或主要部分研究工作并作出主要贡献、以及参加撰写论文并能对内容负责的人,按其贡献大小排列名次。至于参加部分工作的合作者、按研究计划分工负责具体小项的工作者、某一项测试的承担者,以及接受委托进行分析检验和观察的辅助人员等,均不列入。这些人可以作为参加工作的人员一一列入致谢部分,或排于脚注。
如责任者姓名有必要附注汉语拼音时,必须遵照国家规定,即姓在名前,名连成一词,不加连字符,不缩写。
h.申请学位级别 应按《中华人民共和国学位条例暂行实施办法》所规定的名称进行标注。
i.专业名称 系指学位论文作者主修专业的名称。
j.工作完成日期 包括报告、论文提交日期,学位论文的答辩日期,学位的授予日期,出版部门收到日期(必要时)。
k.出版项 出版地及出版者名称,出版年、月、日(必要时)。
5.1.3 报告和论文的封面格式参见附录A。
5.2 封二
报告的封二可标注送发方式,包括免费赠送或价购,以及送发单位和个人;版权规定;其他应注明事项。
5.3 题名页
题名页是对报告、论文进行著录的依据。
学术论文无需题名页。
题名页置于封二和衬页之后,成为另页的右页。
报告、论文如分装两册以上,每一分册均应各有其题名页。在题名页上注明分册名称和序号。
题名页除5.1规定封面应有的内容并取得一致外,还应包括下列各项:
单位名称和地址,在封面上未列出的责任者职务、职称、学位、单位名称和地址,参加部分工作的合作者姓名。
5.4 变异本
报告、论文有时适应某种需要,除正式的全文正本以外,要求有某种变异本,如:节本、摘录本、为送请评审用的详细摘要本、为摘取所需内容的改写本等。
变异本的封面上必须标明“节本、摘录本或改写本”字样,其余应注明项目,参见5.1的规定执行。
5.5 题名
5.5.1 题名是以最恰当、最简明的词语反映报告、论文中最重要的特定内容的逻辑组合。题名所用每一词语必须考虑到有助于选定关键词和编制题录、索引等二次文献时可以提供检索的特定实用信息。
题名应该避免使用不常见的缩略词、首字母缩写字、字符、代号和公式等。
题名一般不宜超过20字。
报告、论文用作国际交流,应有外文(多用英文)题名。外文题名一般不宜超过10个实词。
5.5.2 下列情况可以有副题名:
题名语意末尽,用副题名补充说明报告论文中的特定内容;
报告、论文分册出版,或是一系列工作分几篇报道,或是分阶段的研究结果,各用不同副题名区别其特定内容;
其他有必要用副题名作为引申或说明者。
5.5.3 题名在整本报告、论文中不同地方出现时,应完全相同,但眉题可以节略。
5.6 序或前言
序并非必要。报告、论文的序,一般是作者或他人对本篇基本特征的简介,如说明研究工作缘起、背景、主旨、目的、意义、编写体例,以及资助、支持、协作经过等;也可以评述和对相关问题研究阐发。这些内容也可以在正文引言中说明。
5.7 摘要
5.7.1 摘要是对报告、论文的内容不加注释和评论的简短陈述。
5.7.2 报告、论文一般均应有摘要,为了国际交流,还应有外文(多用英文)摘要。
5.7.3 摘要应具有独立性和自含性,即不阅读报告、论文的全文,就能获得必要的信息。摘要中有数据、有结论,是一篇完整的短文,可以独立使用,可以引用,可以用于工艺推广。摘要的内容应包含与报告、论文同等量的主要信息,供读者确定有无必要阅读全文,也供文摘等二次文献采用。摘要一般应说明研究工作目的、实验方法、结果和最终结论等,而重点是结果和结论。
5.7.4 中文摘要一般不宜超过200~300字;外文摘要不宜超过250个实词。如遇特殊需要字数可以略多。
5.7.5 除了实在无变通办法可用以外,摘要中不用图、表、化学结构式、非公知公用的符号和术语。
5.7.6 报告、论文的摘要可以用另页置于题名页之后,学术论文的摘要一般置于题名和作者之后、正文之前。
5.7.7 学位论文为了评审,学术论文为了参加学术会议,可按要求写成变异本式的摘要,不受字数规定的限制。
5.8 关键词
关键词是为了文献标引工作从报告、论文中选取出来用以表示全文主题内容信息款目的单词或术语。
每篇报告、论文选取3~8个词作为关键词,以显著的字符另起一行,排在摘要的左下方。如有可能,尽量用《汉语主题词表》等词表提供的规范词。
为了国际交流,应标注与中文对应的英文关键词。
5.9 目次页
长篇报告、论文可以有目次页,短文无需目次页。
目次页由报告、论文的篇、章、条、附录、题录等的序号、名称和页码组成,另页排在序之后。
整套报告、论文分卷编制时,每一分卷均应有全部报告、论文内容的目次页。
5.10 插图和附表清单
报告、论文中如图表较多,可以分别列出清单置于目次页之后。图的清单应有序号、图题和页码。表的清单应有序号、表题和页码。
5.11 符号、标志、缩略词、首字母缩写、计量单位、名词、术语等的注释表
符号、标志、缩略词、首字母缩写、计量单位、名词、术语等的注释说明汇集表,应置于图表清单之后。
6 主体部分
6.1 格式
主体部分的编写格式可由作者自定,但一般由引言(或绪论)开始,以结论或讨论结束。
主体部分必须由另页右页开始。每一篇(或部分)必须另页起。如报告、论文印成书刊等出版物,则按书刊编排格式的规定。
全部报告、论文的每一章、条的格式和版面安排,要求划一,层次清楚。
6.2 序号
6.2.1 如报告、论文在一个总题下装为两卷(或分册)以上,或分为两篇(或部分)以上,各卷或篇应有序号。可以写成:第一卷、第二分册;第一篇、第二部分等。用外文撰写的报告、论文,其卷(分册)和篇(部分)的序号,用罗马数字编码。
6.2.2 报告、论文中的图、表、附注、参考文献、公式、算式等,一律用阿拉伯数字分别依序连续编排序号。序号可以就全篇报告、论文统一按出现先后顺序编码,对长篇报告、论文也可以分章依序编码。其标注形式应便于互相区别,可以分别为:图1、图2.1;表2、表3.2;附注1);文献[4];式(5)、式(3.5)等。
6.2.3 报告、论文一律用阿拉伯数字连续编页码。页码由书写、打字或印刷的首页开始,作为第l页,并为右页另页。封面、封二、封三和封底不编入页码。可以将题名页、序、目次页等前置部分单独编排页码。页码必须标注在每页的相同位置,便于识别。
力求不出空白页,如有,仍应以右页作为单页页码。
如在一个总题下装成两册以上,应连续编页码。如各册有其副题名,则可分别独立编页码。
6.2.4 报告、论文的附录依序用大写正体A,B,C,…编序号。
附录中的图、表、式、参考文献等另行编序号,与正文分开,也一律用阿拉伯数字编码,但在数码前冠以附录序码,如:图A1;表B2;式(B3);文献〔A5〕等。
6.3 引言(或绪论)
引言(或绪论)简要说明研究工作的目的、范围、相关领域的前人工作和知识空白、理论基础和分析、研究设想、研究方法和实验设计、预期结果和意义等。应言简意赅,不要与摘要雷同,不要成为摘要的注释。一般教科书中有的知识,在引言中不必赘述。
比较短的论文可以只用小段文字起着引言的效用。
学位论文为了需要反映出作者确已掌握了坚实的基础理论和系统的专门知识,具有开阔的科学视野,对研究方案作了充分论证,因此,有关历史回顾和前人工作的综合评述,以及理论分析等,可以单独成章,用足够的文字叙述。
6.4 正文
报告、论文的正文是核心部分,占主要篇幅,可以包括:调查对象、实验和观测方法、仪器设备、材料原料、实验和观测结果、计算方法和编程原理、数据资料、经过加工整理的图表、形成的论点和导出的结论等。
由于研究工作涉及的学科、选题、研究方法、工作进程、结果表达方式等有很大的差异,对正文内容不能作统一的规定。但是,必须实事求是,客观真切,准确完备,合乎逻辑,层次分明,简练可读。
6.4.1 图
图包括曲线图、构造图、示意图、图解、框图、流程图、记录图、布置图、地图、照片、图版等。
图应具有“自明性”,即只看图、图题和图例,不阅读正文,就可理解图意。
图应编排序号(见6.2.2)。
每一图应有简短确切的题名,连同图号置于图下。必要时,应将图上的符号、标记、代码,以及实验条件等,用最简练的文字,横排于图题下方,作为图例说明。
曲线图的纵横坐标必须标注“量、标准规定符号、单位”。此三者只有在不必要标明(如无量纲等)的情况下方可省略。坐标上标注的量的符号和缩略词必须与正文中一致。
照片图要求主题和主要显示部分的轮廓鲜明,便于制版。如用放大缩小的复制品,必须清晰,反差适中。照片上应该有表示目的物尺寸的标度。
6.4.2 表
表的编排,一般是内容和测试项目由左至右横读,数据依序竖排。表应有自明性。
表应编排序号(见6.2.2)。
每一表应有简短确切的题名,连同表号置于表上。必要时应将表中的符号、标记、代码,以及需要说明事项,以最简练的文字,横排于表题下,作为表注,也可以附注于表下。
附注序号的编排,见6.2.2。表内附注的序号宜用小号阿拉伯数字并加圆括号置于被标注对象的右上角,如:×××1),不宜用星号“*”,以免与数学上共轭和物质转移的符号相混。
表的各栏均应标明“量或测试项目、标准规定符号、单位”。只有在无必要标注的情况下方可省略。表中的缩略词和符号,必须与正文中一致。
表内同一栏的数字必须上下对齐。表内不宜用“同上”、“同左”、“””和类似词,一律填入具体数字或文字。表内“空白”代表未测或无此项,“—”或“…”(因-”可能与代表阴性反应相混)代表未发现,“0”代表实测结果确为零。
如数据已绘成曲线图,可不再列表。
6.4.3 数学、物理和化学式
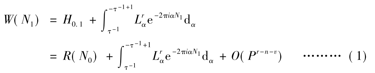
正文中的公式、算式或方程式等应编排序号(见6.2.2),序号标注于该式所在行(当有续行时,应标注于最后一行)的最右边。
较长的式,另行居中横排。如式必须转行时,只能在+,-,×,÷,<,>处转行。上下式尽可能在等号“=”处对齐。
示例1:

示例2:

示例3:

小数点用“.”表示。大于999的整数和多于三位数的小数,一律用半个阿拉伯数字符的小间隔分开,不用千位撇。对于纯小数应将0列于小数点之前。
示例:应该写成94 652.023 567; 0.314 325
不应写成94,652.023,567; .314,325应注意区别各种字符,如:拉丁文、希腊文、俄文、德文花体、草体;罗马数字和阿拉伯数字;字符的正斜体、黑白体、大小写、上下角标(特别是多层次,如“三踏步”)、上下偏差等。
示例:I,l,1,i;C,c;K,k,κ;O,0,o,(°);S,s,5;Z,z,2;B;β;W,w,ω。
6.4.4 计量单位
报告、论文必须采用1984年2月27日国务院发布的《中华人民共和国法定计量单位》,并遵照《中华人民共和国法定计量单位使用方法》执行。使用各种量、单位和符号,必须遵循附录B所列国家标准的规定执行。单位名称和符号的书写方式一律采用国际通用符号。
6.4.5 符号和缩略词
符号和缩略词应遵照国家标准(见附录B)的有关规定执行。如无标准可循,可采纳本学科或本专业的权威性机构或学术团体所公布的规定;也可以采用全国自然科学名词审定委员会编印的各学科词汇的用词。如不得不引用某些不是公知公用的、且又不易为同行读者所理解的、或系作者自定的符号、记号、缩略词、首字母缩写字等时,均应在第一次出现时一一加以说明,给以明确的定义。
6.5 结论
报告、论文的结论是最终的、总体的结论,不是正文中各段的小结的简单重复。结论应该准确、完整、明确、精练。
如果不可能导出应有的结论,也可以没有结论而进行必要的讨论。
可以在结论或讨论中提出建议、研究设想、仪器设备改进意见、尚待解决的问题等。
6.6 致谢
可以在正文后对下列方面致谢:
国家科学基金、资助研究工作的奖学金基金、合同单位、资助或支持的企业、组织成个人;
协助完成研究工作和提供便利条件的组织或个人;
在研究工作中提出建议和提供帮助的人;
给予转载和引用权的资料、图片、文献、研究思想和设想的所有者;
其他应感谢的组织或个人。
6.7 参考文献表
按照GB 7714—1987《文后参考文献著录规则》(已为GB/T 7714—2005代替——编者注)的规定执行。
7 附录
附录是作为报告、论文主体的补充项目,并不是必需的。
7.1 下列内容可以作为附录编于报告、论文后,也可以另编成册。
a.为了整篇报告、论文材料的完整,但编入正文又有损于编排的条理和逻辑性,这一类材料包括比正文更为详尽的信息、研究方法和技术更深入的叙述,建议可以阅读的参考文献题录,对了解正文内容有用的补充信息等;
b.由于篇幅过大或取材于复制品而不便于编入正文的材料;
c.不便于编入正文的罕见珍贵资料;
d.对一般读者并非必要阅读,但对本专业同行有参考价值的资料;
e.某些重要的原始数据、数学推导、计算程序、框图、结构图、注释、统计表、计算机打印输出件等。
7.2 附录与正文连续编页码。每一附录的各种序号的编排见4.2和6.2.4。
7.3 每一附录均另页起。如报告、论文分装几册,凡属于某一册的附录应置于各该册正文之后。
8 结尾部分(必要时)
为了将报告、论文迅速存储入电子计算机,可以提供有关的输入数据。
可以编排分类索引、著者索引、关键词索引等。
封三和封底(包括版权页)。
附录A
封面示例
(参考件)
…
附录B
相关标准
(补充件)
B.1 GB 1434—78 物理量符号。
B.2 GB 3100—82 国际单位制及其应用。
B.3 GB 3101—82 有关量、单位和符号的一般原则。
B.4 GB 3102.1—82 空间和时间的量和单位。
B.5 GB 3102.2—82 周期及其有关现象的量和单位。
B.6 GB 3102.3—82 力学的量和单位。
B.7 GB 3102.4—82 热学的量和单位。
B.8 GB 3102.5—82 电学和磁学的量和单位。
B.9 GB 3102.6—82 光及有关电磁辐射的量和单位。
B.10 GB 3102.7—82 声学的量和单位。
B.11 GB 3102.8—82 物理化学和分子物理学的量和单位。
B.12 GB 3102.9—82 原子物理学和核物理学的量和单位。
B.13 GB 3102.10—82 核反应和电离辐射的量和单位。
B.14 GB 3102.11—82 物理科学和技术中使用的数学符号。
B.15 GB 3102.12—82 无量纲参数。
B.16 GB 3102.13—82 固体物理学的量和单位。
附加说明:
本标准由全国文献工作标准化技术委员会提出。
本标准由全国文献工作标准化技术委员会第七分委员会负责起草。
本标准主要起草人谭丙煜。