7.2.2 国际商务投资管理的主要内容
国际商务投资管理主要包括国家风险管理、国际资本预算管理和国际证券投资组合管理三个方面的内容。
1.国家风险管理
国家风险是指跨国公司在东道国的经营会因为该国经济、社会和政治环境的改变而对跨国公司的现金流量产生不利的影响。当公司准备在某一个国家开展业务或已开展业务时,就必须评估国家风险,并采取相应的对策。[2]跨国公司开展国际投资前的首要工作,就是对国家风险进行评估和检测并做出有关收益风险的抉择。
国家风险一般分为政治风险和经济风险[3],其中政治风险主要来自于政治环境的变化,政治风险的一种极端表现形式是政府直接没收跨国公司在该国子公司的全部财产。而跨国公司通常所遭遇的政治风险往往表现为因东道国法律政策调整以及东道国与母国外交关系的改变给跨国公司带来的各种不利影响。经济风险则是指由于东道国经济方面因素的变化对跨国公司开展国际投资产生的各种负面影响,如该国汇率、利率的波动,资本市场的发展程度等。跨国公司应对国家风险时,可以采取投资前管理和投资后管理的两步策略,最大限度的防范和化解国家风险。
(1)投资前管理
管理国家风险最简单的办法就是回避,很多企业不在政治不稳定的国家投资一般采用这一策略。但是,由于政府都会做出影响经营项目盈利的决策,所有的投资都面临着一定程度的国家风险。关键还在于跨国公司能够容忍何种程度的国家风险,要求获得多大的投资收益。放弃到国家风险高的国家投资往往意味着放弃可能得到的高投资回报,跨国经营本身就是一项冒险的事业。因此,只要国家风险可以识别、控制并能够得到相应补偿,就不应该回避它。
跨国公司也可以通过购买保险来应对国家风险。在美国,投资保险和担保是由海外私人投资公司(OPIC)承担的。该公司是美国政府的一个部门,成立于1969年,其目的是方便和促进美国私营资本在发展中国家的投资。它对四种政治风险提供保险:外国货币不可兑换;海外资产被征用;国外的战争、革命和其他暴力政治事件所导致的财产毁损;政治风波对企业收入造成的损失。1993年,俄罗斯设立了一个保险基金来保护跨国公司免受各种形式的国家风险。世界银行的一个附属机构——多边投资担保机构,为在欠发达国家有直接投资的跨国公司提供政治保险。
除了保险以外,企业可以在投资前通过谈判与东道国政府达成谅解,以特许协议的方式明确双方的权利和义务。在20世纪六七十年代,一些企业在投资于欠发达地区时经常采用这种方式,尤其是在母国的殖民地。不过,随着这类国家的独立或旧政府被推翻,新的执政者往往废止了以前的特许协议。虽然这种特许协议现在仍然存在,但是由于其高违约率,许多跨国公司都在寻求更积极的政策来控制国家风险。一旦企业决定在一个国家投资,它还可以通过调整经营策略和财务策略来尽可能减轻国家风险的受险程度。
(2)投资后管理
跨国公司一旦在国外进行了投资,它对国家风险的防范和抵御能力就会大大下降。不过,下列措施可以帮助跨国公司捕捉各种成功的机会。这些措施包括有计划撤资、短期利润最大化、改变征用的成本收益比、发展当地的利益相关者和适应性调整。
①有计划撤资。有计划撤资是指跨国公司将自己对外投资的全部或大部分所有权分阶段地出售给当地投资者。不过这种方式很难让所有利益相关者都满意。如果项目的盈利性差,也难以吸引当地投资者。而且,如果在谈判期间面临被征用的威胁,也难以达成公平的转让价格。
②短期利润最大化。当需要从东道国撤资时,跨国公司可以设法从东道国的经营中尽快提取大量现金,以减少留在当地的资本数额。提高短期现金流量的具体方法有:推迟设备维修,削减营销开支,只进行维持规模的投资,降低对产品的质量要求,制定较高价格,取消培训计划等。这些政策的采用表明跨国公司已经无意在当地长期经营了,所以这种行为可能会激起东道国政府征用的欲望。因此,跨国公司必须认真制定撤走现金的时间表,并考虑到与东道国的关系及其可能采取的措施,在国家风险急剧上升之前将资金转移走。
③改变征用的成本收益比。如果东道国政府是理性的,那么它在采取征用政策前一定会考虑征用的成本与收益,只有征用的收益大于征用的成本时,它才会采用这一政策。所以跨国公司预防征用的最好办法就是增加东道国征用的成本,或减少征用的收益。增加东道国征用成本的措施主要是控制出口市场、运输路线、技术、商标或在其他国家制造的部件。减少征用收益的主要措施是降低所有权当地化的潜在利益,具体可通过在当地建立研发机构、为子公司的产品拓展出口市场、训练当地员工和管理者、扩大生产设施以及生产一系列进口替代产品来实现。
④发展当地的利益相关者。发展当地的利益相关者是一项比较积极的策略。如果跨国公司在东道国的子公司能持续影响东道国的个人或团体的利益,就可以削弱被征用的风险。潜在的利益相关者包括消费者、供应商、公司的当地雇员、当地的银行及其合资企业的合伙人等。这些利益相关者会出于自身利益的考虑而反对政府征用。例如,消费者担心征用会改变产品的品质,供应商担心征用会影响生产计划,当地银行担心征用会影响跨国公司子公司的现金流量进而影响债务的清偿。
⑤适应性调整。适应性调整是更为激进的国家风险管理措施。这一政策认为潜在的征用是不可避免的,因此跨国公司可通过特许证和管理合同的方式从东道国的资源中获利。例如,委内瑞拉政府与子公司被国有化的外国石油公司签订了管理协议,允许这些公司继续从事开采、提炼和营销业务。从这个角度看,并不一定要拥有或控制某项资产才能盈利。
2.国际资本预算管理
跨国公司在进行国际直接投资时,要运用国际资本预算方法来评估投资项目。大多数国际直接投资耗资巨大,而且不易转让。所以,恰当运用国际资本预算,寻找确实有利可图的项目是一项重要的工作。一般的国际资本预算与国内资本预算有很多相似之处。然而,国际项目所处的环境比较特别,复杂的环境会影响到对未来现金流量的计算和折现率的确定,所以国际资本预算管理更复杂,有更多的问题需要考虑。
国内资本预算管理的常用方法有:净现值法、内含报酬率法、现值指数法、回收期法和会计收益率法。其中,净现值法作为最恰当的决策标准而被广泛使用。而在国际资本预算管理中,除了净现值法外,调整现值法也是经常采用的管理方法。
(1)净现值法
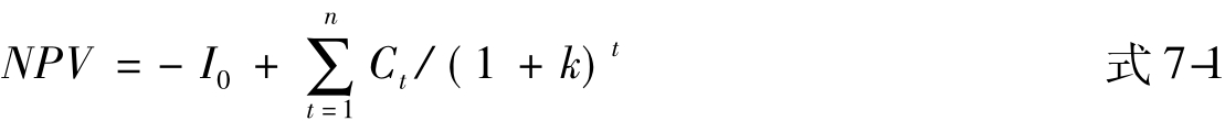
净现值(Net present value,NPV)为项目未来现金流量按项目资本成本折现后的现值减去项目的初始投资支出后的差额。净现值为正的项目是可接受的;净现值为负数的项目应当拒绝。如果两个项目是互相排斥的,则应当采纳净现值较高的项目。净现值的具体计算公式如下所示:

其中I0代表初始现金投资;Ct表示第t期净现金流量;k表示该项目的加权平均资本成本;n代表投资期限。
采用净现值法最突出的优点就是:它评价投资的方式和公司股东评价投资的方法是一致的;净现值关注的是现金而不是会计利润,并强调资金投资的机会成本。因此,这种方法和股东财富最大化的目标相一致。利用净现值为标准的另一个突出优点是它遵循了价值增加原则。也就是说,一个独立项目集合的净现值就是各单一项目净现值之和。这一优点意味着经理们可以独立地考察各个项目,它也表示当公司承担几项投资时,其价值增加额等于接受项目的净现值之和。
(2)调整现值法
由于在净现值分析中,所使用的折现率k是加权平均资本成本,其中的权数是公司资本结构中各项资本来源的比例,只有在所有投资项目的财务结构和经营风险相似的情况下,使用单一比率才是恰当的,风险不同的项目其负债能力很可能也有所不同,因此他们需要不同的财务结构。此外,在外国项目的融资方案中可能包括优惠利率的项目专项贷款或由母公司外汇管制形成的高成本外国资金,这些都使对外投资的资本成本组成不同。
鉴于上述分析,在对国际投资项目进行资本预算时,需要对加权平均资本成本进行修正。首先考虑使用完全权益率k*来折现现金流量。这一比率取自项目的财务结构,并且仅仅以项目预期现金流量的风险程度为基础。换句话说,如果一个项目完全是权益融资,那么完全权益资本成本就等于公司的资本成本。完全权益率可以用资本资产定价模型计算:

其中k*为完全权益率;β*表示完全权益贝塔系数,即与未使用财务杠杆的现金流量相关的贝塔系数。
实际上,公司在现实中不可能精确地估算出β*,可以参考公司股票价格的贝塔系数βτ来估算出β*。也就是说,在目前的资本结构下,βτ看成是公司权益资本成本的贝塔系数的估计值。为了将βτ转换成β*,必须消除债务融资的影响,即将有财务杠杆下的权益贝塔系数转换为无财务杠杆的或完全权益的贝塔值。可利用以下近似公式:

式中,t表示公司的边际税率;D/E代表目前的债务与权益比率。
使用完全权益率k*进行资本预算,是把项目价值视作下列部分之和:扣除融资成本的项目税后现金流量的现值,折现率为k*;债务融资所形成的税收节约额的现值,也称利息税盾;由于政府管制或利息补贴政策,利息补贴使受限制的资金利率与国内无补贴、公平借款的应付利率不同。这种计算投资项目价值的方法称为调整现值法(Adjusted Present Value,APV)。APV的计算公式如下:
APV=投资支出的现值+经营现金流量的现值+利息税盾的现值+利息补贴的现值

其中,Xt表示经营现金流量;Tt代表债务融资方案在第t期的纳税节约额;St是项目融资在第t期的利息补贴税前价值;id是税前债务成本。
公式后两项是以债务的税前成本折现的,以反映税盾和利息节约形成的相对稳定的现金流量。第t期的利息税盾Tt=τidDt,其中τ是公司税率,Dt是项目第t期的新增债务额。
应该强调的是,完全权益的资本成本等于特定项目的要求收益率,即等于无风险收益率加上一个适当的以该项目特有风险为基础的风险溢酬。因此,k*随项目风险的不同而有所不同。
调整现值法与净现值法被用于同一投资项目的评价时,得出的结论应该是一致的,在某些条件下,得到的计算结果是相同的。调整现值法将影响投资项目价值的现金流量按照是否涉及融资活动或风险的大小分别使用不同的折现率(完全权益资本成本或不同的税前债务成本),从而计算各自的现值,再通过累加的方式计算投资项目给公司带来的增值总额。
采用调整现值法评价国际直接投资项目具有简便灵活的优点,因为国际投资项目的现金流量构成一般比国内投资项目复杂,甚至有些因素带来的现金流量很难估算,如税项的递延额或节约额、冻结资金的返还等因素。财务管理人员分析项目时使用调整现值法就可以暂时忽略这些因素的影响,当调整现值为负时才需考虑这些因素的影响,而为正时,直接进行投资决策而不必考察较难的现金流量估算。
3.国际证券投资组合管理
证券投资组合管理,是指根据投资者对证券投资的目的和要求,从经常收入和资本增值方面研究如何进行证券组合,制定相应的投资策略和计划并加以实施的过程。投资者建立并进而管理一个证券组合,牵涉许多基本问题。首先,它必须明确筹集大批资金进行证券投资,其目的或目标是什么。其次,既然是证券投资,投资者应该熟悉证券种类及他们的收益和风险情况,以便根据不同“组合”的目标选购不同证券。再次,证券市场变动频繁,在“组合”中所购的证券,不能一直不变。投资者对“组合”必须根据现有证券构成的收益,经常加以核算和调整。
证券投资组合管理是一项繁重复杂的工作,包括计划、监督、选择证券、决定买进卖出的时机、证券组合的调整,随时研究分析收益和风险的相互关系以及如何使投资有效地实现目标等。概括而言,整个过程大致可以分为三个主要步骤逐步进行:
首先是确定目标。投资者建立并管理一个证券组合,必须根据本身的条件、特点和需要,确定组合应当达到的目标。其次是选择证券。一个证券组合的目标已定,就可依照所规定的目标,适当选购相应的证券。在市场上交易的证券种类繁多,投资者究竟应选购何种证券,必须与所定目标相配。若目标是着重于经常收入,则以购买固定收入证券(如债券、优先股票)为主;若目标是追求资本利得,则选择增长型的普通股票如新兴工业的股票;若目标是两者结合,则在所拟购的证券中,应包括收入证券和增长证券两个部分,如有偏重,则比重可分大小。总之,就是要使选购证券的种类和结构适当,能使整个组合达到收益最大化、风险最小化的最终目的,与各类证券收益相联系的风险大小,也是在选择证券中应妥善考虑的因素。不同的证券包含不同的风险,投资者应结合投资目标和本身的条件,决定所能承受的风险范围。若是机构投资者,还必须受到相关政策法律的限制。完成这些基本前提后,在选择各个具体证券时,应对每种证券进行详细的基本分析,把分析结果作为实际选择的主要参考资料。至于在组合内需包括多少种证券以及各种证券应占多大比重,以达到风险最佳分散化的效果,也需仔细核计。一般讲来,一个充分分散的组合,约在15—25种证券之间,数额分配也应有一个适当比例,不使各种证券的权数有偏重偏轻之弊。一个好的证券投资组合管理还需要考虑组合效益。一个证券组合基金建成以后,必须经常密切注视其效益如何,是否能满足既定目标的要求。因为国民经济的滞涨、行业的盛衰、公司的强弱、政府的政策、技术的革新、原材料与物价的涨落、国际间政治风云的变幻以及人们心理的变化与情绪的波动等,都会在市场上影响证券的价格和风险。因此组合的有效管理就需要对其中每种证券加以不断的监视,看其价格和风险有无发生变化,如有,须出售对其不利的,换购对其有利的,如此进行必要的调整。此外,在调整时,还须充分研究必须买入和卖出的证券种类和掌握低买高卖的适当时机。