-
1.1第四版前言
-
1.2第一章 导 论
-
1.2.1一、国际金融学的定义
-
1.2.2二、本书的国情基础
-
1.2.3三、本书的研究目标
-
1.2.4四、本书的研究方法和逻辑
-
1.3第二章 国际收支和国际收支平衡表
-
1.3.1第一节 国际收支
-
1.3.1.1一、国际收支的定义
-
1.3.1.2二、国际收支定义的解释
-
1.3.2第二节 国际收支平衡表
-
1.3.2.1一、国际收支平衡表的基本原理
-
1.3.2.2二、国际收支平衡表的编制实例
-
1.3.2.3三、国际收支平衡表分析
-
1.3.3第三节 国际收支的不平衡问题
-
1.3.3.1一、国际收支中的自主性交易和补偿性交易
-
1.3.3.2二、国际收支不平衡的口径
-
1.3.3.3三、国际收支不平衡的原因
-
1.3.3.4四、国际收支调节的必要性
-
1.3.4第四节 国际收支不平衡的调节
-
1.3.4.1一、国际收支不平衡的自动调节机制
-
1.3.4.2二、国际收支不平衡的政策调节工具
-
1.3.4.3三、国际收支不平衡的调节路径和条件
-
1.3.4.4四、国际收支调节中汇率水平的作用
-
1.4第三章 汇率基础理论
-
1.4.1第一节 外汇和汇率的基本概念
-
1.4.1.1一、外汇
-
1.4.1.2二、汇率及汇率的表示
-
1.4.1.3三、汇率的种类
-
1.4.2第二节 汇率决定的原理(Ⅰ)
-
1.4.2.1一、影响汇率的经济因素
-
1.4.2.2二、金本位下的汇率决定
-
1.4.2.3三、汇率决定学说(上)
-
1.4.2.4四、汇率决定学说(下)
-
1.4.2.5五、汇率理论最新发展简介
-
1.4.3第三节 汇率决定的原理(Ⅱ)
-
1.4.3.1一、本币贬值与国际贸易交换条件
-
1.4.3.2二、本币贬值与物价水平
-
1.4.3.3三、本币贬值与总需求
-
1.4.3.4四、本币贬值与就业和民族工业
-
1.4.3.5五、本币贬值与劳动生产率和经济结构
-
1.4.3.6六、汇率水平决定的比价属性和杠杆属性
-
1.5第四章 内部均衡和外部 平衡的短期调节
-
1.5.1第一节 从国际收支平衡到内部均衡和外部均衡
-
1.5.1.1一、内部均衡和外部均衡的概念
-
1.5.1.2二、内部均衡与外部平衡的相互冲突
-
1.5.2第二节 内部均衡和外部平衡相互冲突的调节原则
-
1.5.2.1一、数量匹配原则
-
1.5.2.2二、最优指派原则
-
1.5.2.3三、合理搭配原则
-
1.5.2.4四、顺势而为原则
-
1.5.3第三节 内部均衡和外部平衡 短期调节的经典理论
-
1.5.3.1一、支出转换型政策与支出增减型政策的搭配
-
1.5.3.2二、财政政策和货币政策的搭配
-
1.5.3.3三、蒙代尔—弗莱明模型
-
1.5.3.4四、西方经典内外均衡调节理论的不足
-
1.5.4第四节 内部均衡和外部平衡短期调节理论的新探索
-
1.5.4.1一、内外均衡调节理论新探索的基本原则
-
1.5.4.2二、坐标系的选取
-
1.5.4.3三、内部均衡曲线和外部平衡曲线
-
1.5.4.4四、均衡汇率分析的基本框架
-
1.5.4.5五、内部均衡和外部平衡调节的短期分析
-
1.6第五章 内部均衡和外部平衡的中长期调节
-
1.6.1第一节 增长条件下内部均衡和外部平衡的中期调节
-
1.6.1.1一、内部均衡曲线的移动
-
1.6.1.2二、外部平衡曲线的移动
-
1.6.1.3三、经济增长前提下的汇率和物价变动
-
1.6.1.4四、经济增长的来源分析
-
1.6.2第二节 可持续增长条件下的汇率模型
-
1.6.2.1一、经济的外延增长和内涵增长
-
1.6.2.2二、长期经济增长与汇率
-
1.6.2.3三、经济均衡增长与汇率
-
1.6.2.4四、长期条件下的汇率失调
-
1.6.3第三节 可持续增长条件下汇率模型的扩展
-
1.6.3.1一、汇率模型在资源视角的拓展
-
1.6.3.2二、汇率模型在经济结构视角的拓展
-
1.6.4第四节 可持续增长条件下的 内外均衡与均衡汇率
-
1.6.4.1一、长期的内部均衡和内部均衡曲线
-
1.6.4.2二、长期的外部平衡和外部平衡曲线
-
1.6.4.3三、内外均衡的长期关系和长期均衡汇率
-
1.6.5第五节 汇率水平变动有效性的讨论
-
1.6.5.1一、汇率变动与企业的生产技术选择
-
1.6.5.2二、汇率效应传导的劳动替代约束
-
1.6.5.3三、汇率效应传导的资本存量约束
-
1.7第六章 外汇管理制度和政策调节
-
1.7.1第一节 汇率制度及其效率分析
-
1.7.1.1一、固定汇率制与浮动汇率制的优劣比较
-
1.7.1.2二、不同汇率制度下宏观经济政策的相对有效性分析
-
1.7.1.3三、其他货币制度简介
-
1.7.2第二节 外汇直接管制及其效率分析
-
1.7.2.1一、外汇直接管制的含义
-
1.7.2.2二、外汇管制的主要原因
-
1.7.2.3三、外汇管制的主要内容
-
1.7.2.4四、外汇直接管制的效率分析
-
1.7.2.5五、外汇直接管制政策的评价
-
1.7.3第三节 外汇市场干预及其效率分析
-
1.7.3.1一、外汇市场干预的类型
-
1.7.3.2二、外汇市场干预的工具和手段
-
1.7.3.3三、外汇市场干预的效力分析
-
1.7.4第四节 外汇管理中会出现的若干问题
-
1.7.4.1一、外汇管理下的资本外逃问题
-
1.7.4.2二、外汇管理的可信度问题
-
1.7.4.3三、外汇管理中的货币替代问题
-
1.8第七章 金融全球化对内外均衡的冲击
-
1.8.1第一节 国际金融市场的构成和特点
-
1.8.1.1一、国际货币市场
-
1.8.1.2二、国际资本市场
-
1.8.1.3三、欧洲货币市场
-
1.8.1.4四、国际外汇市场
-
1.8.2第二节 国际资金流动的原因和影响
-
1.8.2.1一、国际金融市场资金流动的特点
-
1.8.2.2二、国际资金流动的原因
-
1.8.2.3三、国际资金流动的正面影响
-
1.8.2.4四、国际资金流动对内外均衡的冲击
-
1.8.3第三节 金融全球化对内外均衡的冲击:债务危机和银行危机
-
1.8.3.1一、发展中国家的债务危机
-
1.8.3.2二、银行危机
-
1.8.4第四节 金融全球化对内外均衡的冲击:货币危机
-
1.8.4.1一、货币危机概述
-
1.8.4.2二、货币危机的成因
-
1.8.4.3三、货币危机的实例——亚洲货币危机
-
1.8.4.4四、货币危机的一般解决方案——以亚洲货币危机为例
-
1.9第八章 金融全球化下的 国际协调与合作
-
1.9.1第一节 国际政策传导和协调的理论分析
-
1.9.1.1一、两国的蒙代尔—弗莱明模型
-
1.9.1.2二、固定汇率制下经济政策的国际传导
-
1.9.1.3三、浮动汇率制下经济政策的国际传导
-
1.9.1.4四、国际政策传导和国际协调的必要性
-
1.9.2第二节 国际货币协调的制度安排
-
1.9.2.1一、国际货币体系
-
1.9.2.2二、国际货币基金组织
-
1.9.3第三节 国际货币协调中的主要问题
-
1.9.3.1一、国际收支调节的不对称问题
-
1.9.3.2二、储备货币发行国和非发行国的不对称问题
-
1.9.3.3三、以黄金为基础的单一储备货币体系的不稳定问题
-
1.9.3.4四、多元储备货币制度下的不稳定问题
-
1.9.3.5五、发展中国家与发达国家的汇率水平差距问题
-
1.9.4第四节 区域货币协调的理论和实践
-
1.9.4.1一、区域货币合作概述
-
1.9.4.2二、最适度通货区理论简介
-
1.9.4.3三、最适度通货区的政策实践——欧洲经济货币联盟
-
1.10参考书目和文献
其中,R为实际汇率;e为直接标价法下的名义汇率;Pf为外国商品价格水平;Pd为本国商品价格水平。这一公式反映的是以同一种货币表示的外国商品与本国商品之间的相对价格。外部实际汇率R值下降,表示单位本国商品所能换取的外国商品数量增加,即本国货币实际升值;反之,则表示本国货币实际贬值。
其中,PT为本国贸易品的国内价格水平;PN为本国非贸易品的国内价格水平。由于贸易品和非贸易品是一国范围内的两种不同类型商品,因此称为内部实际汇率。内部实际汇率反映的是一国范围内贸易品与非贸易品之间的相对价格。对小国经济而言[1],非贸易品的价格由国内市场所决定,贸易品的价格则取决于国际市场上的价格和本国名义汇率水平。内部实际汇率下降意味着放弃同等数量的非贸易品消费,能够换得更多数量的贸易品消费,即对贸易品而言,本币的购买力增加,本国货币实际升值;反之,则称为本国货币实际贬值。
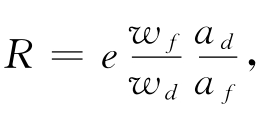
其中,ad、af分别表示本国和外国的劳动生产率;wd、wf分别表示本国和外国的工资(以各自货币计量)。劳动生产率对比的实际汇率下降,表示单位本国劳动所能换取的外国劳动增加,即本国货币实际升值;反之,则表示本国货币实际贬值[2]①。这一定义的实际汇率主要是用来研究实体经济的。如果两国工资水平不变,则这一定义的实际汇率就抛开了货币因素,可以用作其他方式计算得到的实际汇率的标尺,也可以用来衡量名义汇率的低估、高估程度和本国出口商品的竞争力程度。