-
1.1第四版前言
-
1.2第一章 导 论
-
1.2.1一、国际金融学的定义
-
1.2.2二、本书的国情基础
-
1.2.3三、本书的研究目标
-
1.2.4四、本书的研究方法和逻辑
-
1.3第二章 国际收支和国际收支平衡表
-
1.3.1第一节 国际收支
-
1.3.1.1一、国际收支的定义
-
1.3.1.2二、国际收支定义的解释
-
1.3.2第二节 国际收支平衡表
-
1.3.2.1一、国际收支平衡表的基本原理
-
1.3.2.2二、国际收支平衡表的编制实例
-
1.3.2.3三、国际收支平衡表分析
-
1.3.3第三节 国际收支的不平衡问题
-
1.3.3.1一、国际收支中的自主性交易和补偿性交易
-
1.3.3.2二、国际收支不平衡的口径
-
1.3.3.3三、国际收支不平衡的原因
-
1.3.3.4四、国际收支调节的必要性
-
1.3.4第四节 国际收支不平衡的调节
-
1.3.4.1一、国际收支不平衡的自动调节机制
-
1.3.4.2二、国际收支不平衡的政策调节工具
-
1.3.4.3三、国际收支不平衡的调节路径和条件
-
1.3.4.4四、国际收支调节中汇率水平的作用
-
1.4第三章 汇率基础理论
-
1.4.1第一节 外汇和汇率的基本概念
-
1.4.1.1一、外汇
-
1.4.1.2二、汇率及汇率的表示
-
1.4.1.3三、汇率的种类
-
1.4.2第二节 汇率决定的原理(Ⅰ)
-
1.4.2.1一、影响汇率的经济因素
-
1.4.2.2二、金本位下的汇率决定
-
1.4.2.3三、汇率决定学说(上)
-
1.4.2.4四、汇率决定学说(下)
-
1.4.2.5五、汇率理论最新发展简介
-
1.4.3第三节 汇率决定的原理(Ⅱ)
-
1.4.3.1一、本币贬值与国际贸易交换条件
-
1.4.3.2二、本币贬值与物价水平
-
1.4.3.3三、本币贬值与总需求
-
1.4.3.4四、本币贬值与就业和民族工业
-
1.4.3.5五、本币贬值与劳动生产率和经济结构
-
1.4.3.6六、汇率水平决定的比价属性和杠杆属性
-
1.5第四章 内部均衡和外部 平衡的短期调节
-
1.5.1第一节 从国际收支平衡到内部均衡和外部均衡
-
1.5.1.1一、内部均衡和外部均衡的概念
-
1.5.1.2二、内部均衡与外部平衡的相互冲突
-
1.5.2第二节 内部均衡和外部平衡相互冲突的调节原则
-
1.5.2.1一、数量匹配原则
-
1.5.2.2二、最优指派原则
-
1.5.2.3三、合理搭配原则
-
1.5.2.4四、顺势而为原则
-
1.5.3第三节 内部均衡和外部平衡 短期调节的经典理论
-
1.5.3.1一、支出转换型政策与支出增减型政策的搭配
-
1.5.3.2二、财政政策和货币政策的搭配
-
1.5.3.3三、蒙代尔—弗莱明模型
-
1.5.3.4四、西方经典内外均衡调节理论的不足
-
1.5.4第四节 内部均衡和外部平衡短期调节理论的新探索
-
1.5.4.1一、内外均衡调节理论新探索的基本原则
-
1.5.4.2二、坐标系的选取
-
1.5.4.3三、内部均衡曲线和外部平衡曲线
-
1.5.4.4四、均衡汇率分析的基本框架
-
1.5.4.5五、内部均衡和外部平衡调节的短期分析
-
1.6第五章 内部均衡和外部平衡的中长期调节
-
1.6.1第一节 增长条件下内部均衡和外部平衡的中期调节
-
1.6.1.1一、内部均衡曲线的移动
-
1.6.1.2二、外部平衡曲线的移动
-
1.6.1.3三、经济增长前提下的汇率和物价变动
-
1.6.1.4四、经济增长的来源分析
-
1.6.2第二节 可持续增长条件下的汇率模型
-
1.6.2.1一、经济的外延增长和内涵增长
-
1.6.2.2二、长期经济增长与汇率
-
1.6.2.3三、经济均衡增长与汇率
-
1.6.2.4四、长期条件下的汇率失调
-
1.6.3第三节 可持续增长条件下汇率模型的扩展
-
1.6.3.1一、汇率模型在资源视角的拓展
-
1.6.3.2二、汇率模型在经济结构视角的拓展
-
1.6.4第四节 可持续增长条件下的 内外均衡与均衡汇率
-
1.6.4.1一、长期的内部均衡和内部均衡曲线
-
1.6.4.2二、长期的外部平衡和外部平衡曲线
-
1.6.4.3三、内外均衡的长期关系和长期均衡汇率
-
1.6.5第五节 汇率水平变动有效性的讨论
-
1.6.5.1一、汇率变动与企业的生产技术选择
-
1.6.5.2二、汇率效应传导的劳动替代约束
-
1.6.5.3三、汇率效应传导的资本存量约束
-
1.7第六章 外汇管理制度和政策调节
-
1.7.1第一节 汇率制度及其效率分析
-
1.7.1.1一、固定汇率制与浮动汇率制的优劣比较
-
1.7.1.2二、不同汇率制度下宏观经济政策的相对有效性分析
-
1.7.1.3三、其他货币制度简介
-
1.7.2第二节 外汇直接管制及其效率分析
-
1.7.2.1一、外汇直接管制的含义
-
1.7.2.2二、外汇管制的主要原因
-
1.7.2.3三、外汇管制的主要内容
-
1.7.2.4四、外汇直接管制的效率分析
-
1.7.2.5五、外汇直接管制政策的评价
-
1.7.3第三节 外汇市场干预及其效率分析
-
1.7.3.1一、外汇市场干预的类型
-
1.7.3.2二、外汇市场干预的工具和手段
-
1.7.3.3三、外汇市场干预的效力分析
-
1.7.4第四节 外汇管理中会出现的若干问题
-
1.7.4.1一、外汇管理下的资本外逃问题
-
1.7.4.2二、外汇管理的可信度问题
-
1.7.4.3三、外汇管理中的货币替代问题
-
1.8第七章 金融全球化对内外均衡的冲击
-
1.8.1第一节 国际金融市场的构成和特点
-
1.8.1.1一、国际货币市场
-
1.8.1.2二、国际资本市场
-
1.8.1.3三、欧洲货币市场
-
1.8.1.4四、国际外汇市场
-
1.8.2第二节 国际资金流动的原因和影响
-
1.8.2.1一、国际金融市场资金流动的特点
-
1.8.2.2二、国际资金流动的原因
-
1.8.2.3三、国际资金流动的正面影响
-
1.8.2.4四、国际资金流动对内外均衡的冲击
-
1.8.3第三节 金融全球化对内外均衡的冲击:债务危机和银行危机
-
1.8.3.1一、发展中国家的债务危机
-
1.8.3.2二、银行危机
-
1.8.4第四节 金融全球化对内外均衡的冲击:货币危机
-
1.8.4.1一、货币危机概述
-
1.8.4.2二、货币危机的成因
-
1.8.4.3三、货币危机的实例——亚洲货币危机
-
1.8.4.4四、货币危机的一般解决方案——以亚洲货币危机为例
-
1.9第八章 金融全球化下的 国际协调与合作
-
1.9.1第一节 国际政策传导和协调的理论分析
-
1.9.1.1一、两国的蒙代尔—弗莱明模型
-
1.9.1.2二、固定汇率制下经济政策的国际传导
-
1.9.1.3三、浮动汇率制下经济政策的国际传导
-
1.9.1.4四、国际政策传导和国际协调的必要性
-
1.9.2第二节 国际货币协调的制度安排
-
1.9.2.1一、国际货币体系
-
1.9.2.2二、国际货币基金组织
-
1.9.3第三节 国际货币协调中的主要问题
-
1.9.3.1一、国际收支调节的不对称问题
-
1.9.3.2二、储备货币发行国和非发行国的不对称问题
-
1.9.3.3三、以黄金为基础的单一储备货币体系的不稳定问题
-
1.9.3.4四、多元储备货币制度下的不稳定问题
-
1.9.3.5五、发展中国家与发达国家的汇率水平差距问题
-
1.9.4第四节 区域货币协调的理论和实践
-
1.9.4.1一、区域货币合作概述
-
1.9.4.2二、最适度通货区理论简介
-
1.9.4.3三、最适度通货区的政策实践——欧洲经济货币联盟
-
1.10参考书目和文献
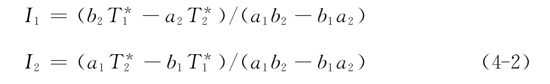
和
令目标是工具的线性函数,即
时所需要的I1和I2的水平,即