1
模式识别与智能计算的MATLAB实现
1.4.4.3 2.4.3 层次聚类法
2.4.3 层次聚类法

层次聚类法(或系统聚类法)的基本思想是首先定义样本之间和类与类之间的距离,在各自成类的样本中,将距离最近的两类合并,重新计算新类与其他类间的距离,并按最小距离归类。重复此过程,每次减少一类,直到所有的样本成为一类为止。其聚类过程用图表示,称为聚类图。层次聚类法具有如下的性质:在某一级划分时归入同一类的样本,在此后的划分中,永远属于同一类。

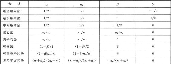
定义类与类间距离有多种方法,不同的定义就产生了不同的层次聚类分析方法,常用的方法有:最短距离法、最长距离法、中间距离法、重心法、类平均法、可变类平均法、可变法及方差平方和法等。这些方法总的递推公式为

alt

式中,Dij为类ωi和ωj之间的距离,各类方法αp,αq,β和γ四个参数见表2.1。

表2.1 系统聚类法参数表

alt