第十二章
逆概率:你不会不偏不倚的!
前一章让我们对概率以及它在归纳推理中可能起到的作用有了一个基本的了解。在本章中,我们将会更深入地探讨这个问题。我们先来看一个非常著名的归纳推理。
宇宙物质并不是任意组合起来的一团糟。它呈现出非常特别的模式:物质按照一定的结构形成了星系,星系又形成恒星和行星体系,同时,在其中的一些行星上,物质又按照一定形式形成了你我一样的生物。人们对此会有什么样的解释呢?你也许会说,用物理学和生物学定理来解释。也许是吧。但是,为什么物理学和生物学定理就是那样的?毕竟,这些定理本来可以是另外一副样子。比如,引力本来可以是一种推斥力,而不是吸引力。那样的话,就永远不会再有稳定的物质块,我们所知道的生命在宇宙的任何地方也不会存在。这是否给了我们充足的理由去相信还存在着一个宇宙的创造者:一个智慧的存在物,他为了某种目的用物理学和生物学定理创造了宇宙?简言之,难道宇宙物质按照现在这样的方式有序排列不能让我们有理由相信存在某种神灵吗?

图12物质具有非常显著的结构。一个漩涡状的星系。
这一论证常被称作“根据设计论证”(为证明上帝的存在)。也许称作“设计论证”更好些,但这并不重要。让我们更深入地思考一下这个问题。此论证的前提o为一个陈述,大致的意思是说宇宙是按一定顺序组合起来的。结论g则断言存在一个宇宙创造者——神。除非g正确,否则o是最不可能的事;因此,该论证进一步推理可得:倘若o正确,则g是有可能的。
我们知道,肯定为真的是,o在g为真时的条件概率大大高于g为假时的概率,即:
1.pr(o∣g)﹥pr(o∣﹁g)
但这并不是我们想要的结果。因为,要让o成为g的一个很好的归纳理由,我们得让g在o条件下的概率大于它的否定式的概率,即:
2.pr(g∣o)﹥pr(﹁g∣o)
pr(o∣g)所表示的概率很高并不意味着pr(g∣o)也很高。比如,假设你在野地里看见了一只袋鼠,那么你身处澳大利亚的概率就很高。(在其他地方看到的话,只能是从动物园里跑出来的。)但是,假如你身处澳大利亚,你在野地里看见一只袋鼠的概率就很低。(我在澳大利亚居住了十年才看见过一次。)
pr(o∣g)和pr(g∣o)被称为一组逆概率,刚才我们的所见表明,要让设计论证起作用,逆概率之间的关系必然是不等式2而不是不等式1所表示的。是不是这样呢?实际上,在逆概率之间存在着一种非常简单的关系。还记得前一章所讲的条件概率CP等式吧,根据定义我们知道:
pr(a∣b)= pr(a&b)/pr(b)
因此,我们可得到:
3.pr(a∣b)×pr(b)= pr(a&b)
类似地,我们知道:
pr(b∣a)= pr(b&a)/pr(a)
因此,可得到以下等式:
4.pr(b∣a)×pr(a)= pr(b&a)
但是pr(a&b)= pr(b&a)(因为a&b和b&a为真时的情形完全相同)。因此,由等式3和4可得到:
pr(a∣b)×pr(b)= pr(b∣a)×pr(a)
假设pr(b)不为0——下面我都作了这样的假设,不再一一说明——我们由上面的等式得到:
Inv:pr(a∣b)= pr(b∣a)×pr(a)/ pr(b)
这就是逆概率之间的关系。(等式的右边先是一个b后面跟着一个a;然后是一个a后面跟着一个b。)
用逆概率等式替换不等式1的两边,我们可得到:

消去不等式两边的pr(o),我们可得到:

或者再调整不等式的两边,我们可得到:

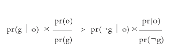
还记得吧,要让设计论证起作用,我们得采用不等式2,由之可得到:

再由不等式5可知,我们只能得到
,即:
pr(g)≥pr(﹁g)
pr(g)和pr(﹁g)的值被称作先验概率;也就是说,g和﹁g的概率先于任何证明(比如o)的应用。因此,要是本论证切实可行的话,我们需要让存在神灵的先验概率大于(或等于)不存在神灵的先验概率。
就是这样吗?很不幸的是,没有理由这样认为。实际上,似乎情况正好相反。假设你不知道今天是星期几。我们用m来表示今天是星期一,那么﹁m则表示今天不是星期一。哪个可能性更大?m还是﹁m?肯定是﹁m,因为今天不是星期一的情形更多。(今天可能是星期二、星期三、星期四……)关于神灵的推理也是同样。令人信服的是,宇宙本来就可以有许多不同的构成方式,从直觉上看,不太可能是按照非常有序的方式形成的:有序是特别的设计。这终究给了“设计论证”有力的回击。不过这样的话,存在一个秩序制定者的宇宙的可能性就相对很小了。因此,从先验角度看,不存在宇宙创造者的可能性要比存在的可能性大得多。
所以,我们的讨论表明,“设计论证”是不成立的。该论证具有诱导性,因为人们经常把概率和与之对应的逆概率混淆,因而回避了论证的核心部分。
许多归纳论证都需要我们对逆概率进行推理。在这方面,“设计论证”并不是一个特例。不过,许多论证在利用逆概率进行推理时更为成功。请让我举例加以说明。假设你去当地的轮盘赌娱乐场。那里有两个转轮,我们称之为A和B。你的一个朋友告诉你,其中一个转轮的转序是固定的——尽管这个朋友不能告诉你是哪一个。一个公平的转轮应该一半时间是红色,一半时间是黑色,而该转轮为红色的概率为3/4,为黑色的概率为1/4。(严格地说,真正的转轮偶尔也会出现绿色;但为了简化,我们就不考虑这个事实了。)现在,假设你观察其中的一个转轮,比如说A,连续转五圈,有以下结果:
R,R,R,R,B
(R表示红色,B表示黑色)。你是否有充足的理由推理认为这就是那个转序固定的转轮呢?换言之,我们用c来表示出现了这样特殊的顺序,并用f来表示转轮A的转序固定。由c推理得到f是一个很好的归纳推理吗?
我们需要知道不等式pr(f∣c)﹥pr(﹁f∣c)是否成立。使用逆概率等式把这个不等式转换成逆概率之间的关系式:

将不等式两边都乘以pr(c),可得到:
pr(c∣f)×pr(f)﹥pr(c∣﹁f)×pr(﹁f)
这个不等式正确吗?首先一个问题是,f和﹁f的先验概率是多少?我们知道,要么A要么B的转序是固定的(但不会两个同时固定)。我们没有理由认为,更可能是A而不是B,或者更可能是B而不是A。因此,是A的概率为1/2;同时,是B的概率也是1/2。换言之,pr(f)= 1/2,且pr(﹁f)= 1/2。因此,我们可以把这两个概率同时从不等式的两边消去,这样,相关条件就变成了:
pr(c∣f)﹥pr(c∣﹁f)
假设转轮转序固定的情况就像所描述的那样,观察到命题c所陈述的转序的概率,即pr(c∣f)的值为(3/4)4×(1/4)。(如果你不知道这其中的原因也不要紧:你就相信我的推算吧。)这个值也就是81/45,经计算得到0.079。假设转轮转序不固定,那么能观察到相关转序的概率,即pr(c∣﹁f)的值为(1/2)(5还是请相信我的推算),经计算可得到0.031。这个值小于0.079。因此,这个推理是有效的。
我们这里计算先验概率的方法值得注意。有两种可能性:要么转轮A的转序是固定的,要么转轮B的转序是固定的。我们没有可用以区分这两种可能性的信息。因此,我们赋予它们相同的概率。这是一种被称为中立法则的应用。该法则认为,当我们有许多可能性且它们之间没有相关的差异时,它们全都具有相同的概率。因此,如果存在N种可能性,那么每一种可能性的概率就为1/N。中立法则是对称原理的一种。
请注意,我们不能把该法则应用到“构思论证”上。在转轮赌例证中,有两个完全对称的可能情形:要么转轮A的转序是固定的,要么转轮B的转序是固定的。在“设计论证”中,有两种情形:要么存在一个为宇宙创造者的神,要么不存在一个为宇宙创造者的神。但是这两种情形的对称性还不如“今天是星期一”和“今天不是星期一”的对称性高。如我们前面所见,仅凭直觉来看,不存在宇宙创造者的可能性要远远大于存在的可能性。
中立法则是对概率进行直觉推理的一个重要部分。我们在结束本章讨论时要注意到,应用中立法则时并非毫无问题。众所周知,某些应用会产生悖论。以下就是其中的一个。
假设一辆汽车在中午时离开昆士兰州首府布里斯班去300公里以外的某个城市。汽车的平均时速保持在50公里/小时至100公里/小时。那么到达时间的概率又是怎样的呢?如果它以100公里/小时的速度行进的话,就会在下午三点钟到达;如果它以50公里/小时的速度行进的话,就会在下午六点钟到达。因此,它会在三点到六点之间到达。这两个时间的中间点为下午四点半。因此,根据中立法则,汽车在四点半以前到达的概率和四点半以后到达的概率一样大。但是,现在的问题是,50公里/小时与100公里/小时的中间时速为75公里/小时。因此,还是根据中立法则,汽车以75公里/小时以上的速度行驶的概率和以75公里/小时以下速度行驶的概率一样大。如果它以75公里/小时的速度行驶,它就会在下午四点到达。因此,它在下午四点以前和四点以后到达的概率一样大。尤其是,一旦如此,下午四点半以前到达的概率更大。(这样会多出半个小时。)
请读者自己考虑这个问题吧。我们在一章之内讨论这么多的概率问题已经足够了!
本章要点

·假如许多可能性之间没有相关的差异,那么它们都具有相同的概率(中立法则)。