4.6符号运算
Matlab提供了符号数学工具包(Symbolic Math Toolbox),它是操作和解决符号表达式的符号数学工具箱(函数)集合,符号表达式的运算有复合、简化、微分、积分以及求解代数方程和微分方程等。求解线性代数的问题,如求解逆、行列式的精确结果、符号矩阵的特征值。工具箱还支持可变精度运算,即支持符号计算并能以指定的精度返回结果。
在数值计算默认环境中,任何输入的数字都被映射为浮点体系中数加以保存,只能保证有限位有效数字的精度上与用户期望的精准数字相一致。Matlab符号计算环境中,保证产生的符号数字与用户期望的精准数字完全一致。符号运算的时间较长,而数值型运算速度快。
4.6.1符号运算基础
1.创建符号变量、常量和表达式
Matlab提供了sym、syms命令来定义符号变量和表达式。其常用格式:
var = sym('var')
syms var1 var2 ... varN
例如:
>> a=sym('a');
>> b=sym('beta');
>> syms a b c d x; % b被重新定义
>> sym('2*sqrt(5)-1')
ans =
2*5^(1/2) - 1
>> e=[a b c; b c a; c a b]
e =
[ a, b, c]
[ b, c, a]
[ c, a, b]
>> f=a*x^3+b*x^2+c*x+d
f =
a*x^3 + b*x^2 + c*x + d
>> whos %列出当前工作空间中的变量及信息
Name Size Bytes Class Attributes
a 1x1 112 sym
ans 1x1 112 sym
b 1x1 112 sym
c 1x1 112 sym
d 1x1 112 sym
e 3x3 112 sym
f 1x1 112 sym
x 1x1 112 sym
说明:例中定义了符号变量a、b,这与执行“a='a';b='beta';”显示的值相同,但数据类型不同,前者为sym object,而后者为char array,在工作空间可以查看到数据类型不同。
2.基本运算
由于Matlab采用了重载技术,使得符号表达式的运算符和基本函数都与数值计算的几乎完全相同,使符号运算的编程很方便。
(1)符号运算中的运算符
符号基本运算符中,“+”、“-”、“*”、“\”、“/”、“^”分别实现矩阵的加、减、乘、左除、右除和求幂运算。“.*”、“.\”、“./”、“.^”分别实现符号数组(针对每个元素)的左除、右除和求幂运算。“'”、“.'”分别实现符号矩阵的共轭转置和非共轭转置。
在符号对象中,没有“大于”、“大于等于”、“小于”、“小于等于”等概念,只有“等于”、“不等于”的概念。“==”、“~=”分别用于对运算符两边的符号对象进行比较。当为“真”时,结果用1表示,当为“假”时,结果用0表示。
(2)函数
有关三角函数、双曲函数和反三角函数的符号运算与数值计算使用方法相同。指数、对数函数sqrt、exp、log2、log10等都可用于符号运算。矩阵函数diag、triu、tril、rank、eig等都可用于符号计算,但函数svd稍有区别。
3.变换函数
下面介绍几个变换函数。
sym可以将一个数值标量或矩阵转换为符号形式。其格式为:
S = sym(A,flag)
说明:sym函数中的参数flag有四种选项可以是'f'、'r'、'e'或'd',默认值是'r'。例如:
>> a=hilb(3)
a =
1.0000 0.5000 0.3333
0.5000 0.3333 0.2500
0.3333 0.2500 0.2000
>> sym(a)
ans =
[ 1, 1/2, 1/3]
[ 1/2, 1/3, 1/4]
[ 1/3, 1/4, 1/5]
>> sym(3*pi/4,'f') %将该变量改为浮点数输出
ans =
2652839157010665/1125899906842624
>> sym(3*pi/4,'r') %将该变量改为有理数形式输出
ans =
(3*pi)/4
>> sym(3*pi/4,'e') %有理数形式输出,误差估计形式
ans =
(3*pi)/4 - (103*eps)/249
>> sym(3*pi/4,'d') %十进制小数输出,有效位数由digits定义
ans =
2.3561944901923448369984726014081
double将符号矩阵可任意精度表示的矩阵转换成双精度矩阵。例如:
>> gold=sym('(1+sqrt(5))/2')
gold =
5^(1/2)/2 + 1/2
>> double(gold)
ans =
1.6180
eval可以计算符号表达式的值。例如:
>> syms f x; f=sym('1+x^2')
f =1+x^2
>> x=sym('2')
>> p=eval(f)
p =
5
sym2poly可将符号多项式变换成一般多项式,系数向量形式。poly2sym将一般多项式转换成符号表达式。例如:
>> syms f x; f=sym('2*x^2+x^3-3*x+5');
>> fp=sym2poly(f)
fp =
1 2 -3 5
>> a=[1 2 3 4 5];
>> poly2sym(a)
ans =
x^4 + 2*x^3 + 3*x^2 + 4*x + 5
>> poly2sym(a,'s')
ans=
s^3+2*s^2-3*s+5
4.符号计算结果的绘图
将符号计算的结果绘制成图形有两个方法:一种是根据获得的符号表达式或符号数值,转换成数值数据,再利用数值绘图函数绘制成图形。例如:
syms x y;
fx=2-3/(1+exp(x));
xk=0:0.1:5;
fxk=subs(fx,x,xk); %获得xk函数值,结果依是符号变量
plot(xk,fxk) ;
另一种是利用符号绘图函数直接绘图。数值绘图函数与符号绘图函数相比,对绘图对象的操控能力更强,但符号绘图函数更简单方便。常用的绘图函数有ezplot、ezplot3、ezsurf。例如:
ezplot(fx,[0 8]);
5.其他常用符号运算函数
下面简单介绍一组关于符号运算的常用函数。见表4-4。
表4-4符号运算常用函数列表
函数 | 基本格式 | 功能说明 |
collect | collect(s,x) | 合并自变量x的同幂系数 |
expand | expand(s) | 符号表达式s的展开 |
factor | factor(s) | 因式分解 |
numden | numden(s) | 符号表达式s的分式通分 |
simple | simple(s) | 寻找表达式的最简型 |
simplify | simplify(s) | 符号表达式的化简 |
radsimp | radsimp(s) | 对含根式的表达式s化简 |
horner | horner(s) | 符号表达式s的嵌套形式 |
subs | subs(s,old,new) | 该函数是用新的符号变量new替换原来符号表达式s中的变量old。当变量new是数值形式符号时,结果还是符号变量 |
有关表4-4中符号运算函数的使用,举例如下:
>> syms x y ;
>> f1=collect(x^3-2*x^2+1+3*x^3+3*x^2)
f1 =
4*x^3 + x^2 + 1
>> f2=factor(sym('x^4-1')) %
f2 =
[ x - 1, x + 1, x^2 + 1]
>> f3=simplify(exp(log(x+y))) %化简
f3 =
x + y
>> [n,d]=numden(x/y+y/x) %通分,结果为
n =
x^2 + y^2
d =
x*y
4.6.2线性代数中的符号运算
1.基本代数运算
基本代数运算举例如下:
>> syms t ;a=sym([cos(2*t),sin(3*t);-sin(t),cos(4*t)])
a =
[ cos(2*t), sin(3*t)]
[ -sin(t), cos(4*t)]
>> syms a11 a12 a21 a22
>> b1=sym([1 2;3 4]);b2=[a11,a12;a21,a22];
>> b1*b2
ans =
[ a11 + 2*a21, a12 + 2*a22]
[ 3*a11 + 4*a21, 3*a12 + 4*a22]
>> c=sym(magic(3))
c =
[ 8, 1, 6]
[ 3, 5, 7]
[ 4, 9, 2]
>> rank(c)
ans =
3
>> trace(c)
ans =
15
2.特征值和特征向量的计算
求取矩阵的特征多项式使用charpoly函数,求特征值、特征向量用eig函数。例如:
>> h=sym( [3 -1 1;2 0 1 ;1 -1 2])
h =
[ 3, -1, 1]
[ 2, 0, 1]
[ 1, -1, 2]
>> charpoly(h) %返回特征多项式系数
ans =
[ 1, -5, 8, -4]
>> [v,d]=eig(h) %求特征值与特征向量
v=
[ 0, 1]
[ 1, 1]
[ 1, 0]
d =
[ 1, 0, 0]
[ 0, 2, 0]
[ 0, 0, 2]
4.6.3符号微分与积分运算
1.符号变量的确定
当符号表达式中含有多于一个的变量时,通常解题时,将围绕自由符号变量进行。如果不指定,Matlab将按默认规则次序选择,大写字母比小写字母靠后,Matlab将按照与小写字母x的ASCII码距离自动识别自由符号变量,小写字母i、j不能成为自由符号变量。可利用函数findsym查询Matlab在符号表达式中哪一个变量被认为是自由符号变量。其格式是:
findsym(S,N)
说明:S输入符号表达式,N用以设定查找与之相关的N个变量。使用方法举例如下:
>> syms a b t u v w x y z;
>> s=3*a*y+b*z;
>> findsym(s) %查找函数f中全部的符号变量
ans =
a,b,y,z
>> findsym(s,1) %查找函数f中自由符号变量
ans =
y
>> f=u+v+w+x+y+z;
>> findsym(f,5) %查找函数f中排在前五的符号变量
ans =
x,y,w,z,v
2.微分运算
diff函数可用来求导符号表达式的微分。使用时可以指定符号表示式、符号变量及求导的阶数。diff命令也可以使用符号矩阵作为参数,微分对矩阵的每个元素进行,求导的符号变量应相同。例如:
>> p=sym('a*x^2+b*x+c')
p =
a*x^2 + b*x + c
>> diff(p) % p对x求导
ans =
b + 2*a*x
>> diff(p,'a') % p对a求导
ans =
x^2
>> diff(p,2) % p对x求二阶导数
ans =
2*a
>> k=sym([3/2,sin(2*x+1);4/x^2,exp(3*x)])
>> diff(k)
ans =
[ 0, 2*cos(2*x + 1)]
[ -8/x^3, 3*exp(3*x) ]
3.极限运算
当某一极限存在时,可利用函数limit求取极限。其格式:
limit (F,x,a)
limit (F,x,a,'right')
limit (F,x,a, 'left')
说明:对x求趋近a时的极限,省略a,表示求趋近0的极限,'right'表示从右趋近于a,'left'表示从左趋近于a。
[例4-30]求当n→inf,求limit(1+1/n)1/2的值。
>> syms n ;
>> limit((1+1/n)^(1/2),n,inf)
ans =
1
再举例说明使用方法。
>> syms n x;
>> limit((1+x/n)^n,n,inf)
ans =
exp(x)
>> limit(sin(x)/x,x,0)
ans =
1
>> limit(1/x,x,0)
ans =
NaN
>> limit(1/x,x,0,'left'), limit(1/x,x,0,'right')
ans =
-Inf
ans =
Inf
4.积分运算
函数的积分运算包括求函数的不定积分和定积分,积分比微分复杂得多。积分或逆求导不一定是以封闭形式存在,或许存在但软件也许找不到,或者软件可求解,但超过内存或时间限制,当Matlab不能找到逆导数时,它将返回未经计算的命令。其基本格式:
int(f,x)
int(f,x,a,b)
说明:表示对符号变量x求从a到b的定积分。缺省x,表示对自由符号变量求不定积分,a,b是数值也可是是符号变量。如果f是矩阵,如同函数diff一样,积分函数int对符号数组的每一个元素进行运算。例如:
>> syms x s m n; f=sin(s+2*x);
>> int(f) %以x为积分变量进行积分
ans=
-cos(s + 2*x)/2
>> int(f,s) %以s为积分变量进行积分
ans =
-cos(s+2*x)
>> int(f,pi/2,pi) %以x为积分变量从
/2到
进行积分
ans=
-cos(s)
>> int(f,'m','n') %求x从m到n的积分
ans =
cos(2*m + s)/2 - cos(2*n + s)/2
>> syms x; int(exp(-1*x^2),-inf,inf)
ans =
pi^(1/2)
5.求积运算和taylor级数展开
(1)求积运算
当符号变量的级数和存在时,使用symsum函数来求和。symsum即可以对常数级数求和,也可以对含变量的级数求和。函数求表达式的级数和较通用格式如下:
symsum(f,x,a,b)
说明:计算表达式f的级数和,x为自变量,x省略表示对默认自由符号变量求和,a、b为x的取值范围。

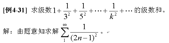
解:由题意知求解
。
>>syms n; symsum( 1/(2*n-1)^2,1,inf)
ans =
pi^2/8
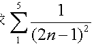
若求此级数前五项的和,即求


>> syms n;symsum( 1/(2*n-1)^2,1,5)
ans =
117469/99225
[例4-32]求含变量的级数和
。
>> syms k x;symsum( x^k,'k',0,inf)
ans =
piecewise([1 <= x, Inf], [abs(x) < 1, -1/(x - 1)])
(2)taylor级数展开
Matlab中提供了将函数展开为幂级数的函数taylor,其较通用格式如下:
taylor(f,x,a)
说明:f为符号表达式,x为自变量,对f进行taylor级数展开,参数a指定函数f在自变量x=a处展开,a的默认值为0。

>> syms x;f=taylor((1-3*x+x^2)^(1/3))
f =
- (31*x^5)/9 - (16*x^4)/9 - x^3 - (2*x^2)/3 - x + 1
>> syms x; f=log(x+1);g=cos(x);
>> taylor(f,x,1)
ans =
x/2 + log(2) - (x - 1)^2/8 + (x - 1)^3/24 - (x - 1)^4/64 + (x - 1)^5/160 - 1/2
>> taylor(g,x,'order',10)
ans =
x^8/40320 - x^6/720 + x^4/24 - x^2/2 + 1
4.6.4符号方程和微分方程求解
1.简单代数方程
代数方程是指未涉及微积分运算的方程,在Matlab中,求解用符号表达式表示的代数方程可由函数solve实现。如果表达式不是一个方程式(不含等号),则在求解之前函数solve将表达式置成等于0。函数格式如下:
y = solve(eqn,var)
说明:求解符号表达式表示的代数方程eqn,求解变量为var。求解代数方程组格式如下:
[y1,...,yN] = solve(eqns,vars)
说明:表示求解符号表达式组成的方程组eqns,求解多个变量vars,若不指定求解变量,则由默认规则确定。举例如下:
>>syms a b c x; solve( ' a*x^2+b*x+c ' )
ans =
-(b + (b^2 - 4*a*c)^(1/2))/(2*a)
-(b - (b^2 - 4*a*c)^(1/2))/(2*a)
结果是符号向量,其元素是方程的2个解。如果想对非缺省x变量求解,solve必须指定变量。
>> f=solve('a*x^2+b*x+c=0','a')
f =
-(c + b*x)/x^2
>> solve( ' cos(x)=sin(x) ' )
ans=
1/4*pi
求解方程组。例如:
>> [x,y]=solve( 'x+3*y=7','x^2+y=3' )
x =
1
-2/3
y =
2
23/9

>> a=solve( 'x+3*y=7','x^2+y=3' ) %a是结构体变量
a =
x: [2x1 sym]
y: [2x1 sym]
>> a.x
ans =
1
-2/3
2.微分方程和微分方程组
常微分方程有时很难求解,Matlab提供了功能强大的工具,函数dsolve计算常微分方程的符号解。因为我们要求解微分方程,就需要用一种方法将微分包含在表达式中。所以,dsolve语法与大多数其它函数有一些不同,用大写字母D来表示求微分,D2、D3等表示重复求微分,并以此来设定方程。任何D后所跟的字母为因变量。方程
用符号表达式D2y=0来表示。独立变量可以指定或由symvar规则选定。函数dsolve格式如下:
S = dsolve(eqn,cond)
[y1,...,yN] = dsolve(eqns,conds)
Y = dsolve(eqns,conds)

>> dsolve( ' Dy=1+y^2 ' )
ans =
tan(C6 + t)
i
-i
其中,C6是任意常数。若不给出初值条件,则求方程的通解,若加入初值y(0)=1条件,则可求得特解。
>> dsolve(' Dy=1+y^2 ',' y(0)=1 ')
ans =
tan(pi/4 + t)

>> y=dsolve(' D2y=cos(2*x)-y ',' Dy(0)=0 ',' y(0)=1 ')
y=
cos(2*x) - cos(t)*(cos(2*x) - 1)
[例4-36]应用dsolve求解例4-27微分方程,并验证dsolve得到的解析结果与数值求值的ode45解算结果是一致的。
>> dsolve('D2y+y=1-1/(2*pi)*t^2','y(0)=0,Dy(0)=0')
ans =
1/pi - cos(t)*(1/pi + 1) - t^2/(2*pi) + 1
编写脚本文件:
t0=0;tf=3*pi;
[t,y]=ode45('odefun1',[t0,tf], [0;0]); %函数odefun1在例4-27中建立完成
ys=1/pi - cos(t)*(1/pi + 1) - t.^2/(2*pi) + 1; %注意与dsolve给出解析表达式书写的不同
plot(t,ys,t,y(:,1),'o');
legend('解析解','数值积分解');

图4-12 数值积分解与解析解
结果如图4-12所示,可以看到dsolve得到的解析结果与的ode45解算结果是一致的。