任务二 防护工程
一、防护堤
1.防护堤线路的选择
防护堤线路的选择应注意以下几点:
(1)防护堤应选择在层次单一、土质坚实的河岸上,尽量避开易液化的粉细砂地基和淤泥地带,以保证地基的稳定性。当河岸有可能产生冲刷时,应尽量选择在河岸稳定边线以外。
(2)防护堤的线路应尽量布置在河岸地势较高的地方,以减小防护堤的高度,同时线路也应尽量顺直,以缩短防护堤的长度,减小防护堤的工程量。此外,还应考虑到能够就地取材,便于施工。
(3)防护堤的线路不应顶冲迎流,同时防护堤的修建也不应使河道过水断面缩窄,影响河道的行洪。
(4)防护堤的线路应尽量少占农田和拆迁民房,并应考虑到汛期防洪抢险的交通要求和对外联系。
(5)防护堤与所防护的城镇边沿之间应有足够宽阔的空地,以便于布置排水设施和防护堤的施工及养护管理。
(6)当防护堤同时作为交通道路时,防护堤转折处的弯曲半径应根据堤高及道路等级要求确定。
(7)防护堤线路的选择最终应根据技术经济比较后确定。
2.防护堤的类型
防护堤通常都采用土料建造,其类型有均质防护堤,斜墙式防护堤和心墙式防护堤等三种,其中最常采用的是均质土料防护堤。
均质防护堤是由单一的同一种土料修建的,这种形式的防护堤结构简单,施工方便,如果筑堤地点附近有足够的适宜土料,则常采用这种类型的防护堤。
斜墙式防护堤的上游面(迎水面)是用透水性较小的土料填筑的,以防堤身渗水,称为防渗斜墙,堤身的其余部分则用透水性较大的土料(如砂、砂砾石、砾卵石等)填筑。
心墙式防护堤的堤身中部是用透水性较小的土料填筑的,起到防渗的作用,称为防渗心墙,堤身的其余部分则用透水性较大的土料填筑。
防护堤的类型应根据地形、地质条件,筑堤材料的性质、储量和运距,气候条件和施工条件来进行综合分析和比较,初步选择防护堤的型式,拟定断面轮廓,然后进一步分析比较工程量、造价、工期,根据技术上可靠,经济上合理的原则,最后选定防护堤的类型。
3.筑堤的土料
筑堤土料应该就地取材,便于施工,而且不易受冲刷和产生开裂,同时土料的抗渗性能和密实性能也都比较好。
1)均质防护堤
2)斜墙和心墙
3)石料
4.防护堤的断面尺寸
(1)防护堤的高度
防护堤堤顶高程的设计与土石坝基本相同,即防护堤的堤顶在河道洪水位以上的超高用式(3-7)计算,即
(3-7)
式中:d----防护堤堤顶在河道设计最高洪水位以上的超高(m);
e--—防护堤前因风而引起的水面壅高(m);
--—风浪在防护堤堤坡上的爬高(m);
A——安全加高(m),根据防护堤的材料和等级采用不小于表3-4中所列之值。
(2)防护堤堤顶宽度
防护堤的堤顶宽度决定于交通要求和防汛要求,当堤顶作为交通道路时,堤顶宽度应满足相应等级公路的有关规定。如无交通要求,仅为防汛和检修需要,则堤顶宽度应根据防护堤的级别和重要性而定,级别高和较重要的防护堤,堤顶宽度应略大一些,其他防护堤的堤顶宽度可略小一些,但最小顶宽一般不小于3.0m。黄河大堤兼作交通道路,并且在防汛时有运土和储备土料的要求,堤顶宽度为7~10m;荆江大堤的堤顶宽度则为7.5~10m。
为了排除降雨时堤顶上的雨水,堤顶应做成向一侧倾斜或向两侧倾斜,使堤顶表面具有2%~3%的横向坡度。
(3)防护堤的边坡坡度
防护堤的边坡坡度决定于防护堤的高度、防护堤的形式、筑堤的材料和运用的条件,通常根据上述条件初步选定防护堤的边坡坡度后,还要根据稳定性计算、渗透计算和技术经济分析才能最后确定。
一般防护堤的边坡坡度迎水坡比背水坡要缓,这是由于迎水坡经常淹没在水中,处于饱和状态,并遭受河道水位变化和风浪的作用,稳定性较差的缘故。但当防护堤背水坡坡脚处不设排水时,则背水坡的坡度应更缓一些。
防护堤的断面形状基本上是一个梯形,当堤身高度不大时,迎水坡和背水坡通常都采用单一的坡度;当防护堤的高度较大时,沿堤高可采用不同的坡度,顶部坡度略陡,下部逐步放缓。考虑到交通、检修、防汛、施工、稳定和渗流的特殊需要,在防护堤的下游边坡上可增设马道(戗道、戗台),马道的宽度一般为2.0~3.0m。在堤坡的变坡处,一般都设有马道。
5.防护堤边坡的护坡
为了防止风、风浪、冰、雨水、温度变化和河道中水位变化等因素对防护堤边坡的影响,防护堤的迎水坡和背水坡应进行护坡。
常用的护坡型式有以下几种:
(1)草皮护坡。
(2)植物护坡。
(3)砖护坡。
(4)编柳填石护坡。
(5)石笼护坡。
(6)堆石及砌石护坡。
(7)混凝土护坡。
6.堤坝及其地基的渗流破坏
(1)防止渗透破坏的措施
由于产生管涌和流土的条件主要是渗流坡降和土的颗粒组成,故防止渗透破坏的措施如下:
(1)在堤坝内设置防渗体(如黏土斜墙、心墙),在地基内设置防渗墙、截水墙,以降低渗流坡降。
(2)在可能发生管涌的地段设置反滤排水,在可能发生流土的地段设置反滤盖重。
(2)反滤层设计
1)反滤层的要求
反滤层应满足下列要求:
a被保护的土粒不得随渗水穿越反滤层;
b允许随渗水被带走的细小颗粒(一般指粒径d<O.1mm的颗粒),应能自由通过反滤层,而不致被截留在反滤层内,造成反滤层堵塞;
c在相邻的两层反滤层之间,颗粒较小一层中的土颗粒不得穿越颗粒较大一层的孔隙;
d反滤层中各层的颗粒在层内不得产生相互移动;
e反滤层应始终保持良好的透水性、稳定性和耐久性。
2)反滤层的设计
a滤层级配的选择
为了满足上述反滤层的要求,反滤层相邻两层之间的颗粒级配应符合下列条件:

式中D15——相邻两层反滤层中颗粒较大一层内相应于颗粒含量为15%的粒径,mm;
d85——相邻两层反滤层中颗粒较小一层内相应于颗粒含量为85%的粒径,mm;
d15——相邻两层反滤层中颗粒较小一层内相应于颗粒含量为15%的粒径,mm。
b反滤层的层数
反滤层一般为2~3层。如被保护土为黏性土,反滤层可采用2层;如被保护土为非黏性土,则反滤层可采用3层。
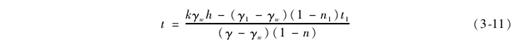
c反滤盖重的厚度
![]()
式中:t——反滤盖重的厚度,m;
k——安全系数,可采用1.3~1.5;
γw——冰的容重,kN/m3;
h——表土层顶面和底面的水头差,m;
γ1——表土层的土颗粒容重,kN/m3;
n1——表土层的孔隙率;
t1——表土层的厚度,m;
γ——反滤盖重的颗粒容重,kN/m3;
n——反滤盖重的孔隙率。
二、防洪墙
(1)重力式墙,通常用浆砌石或混凝土建筑,墙的迎水面为竖直面,背水面为倾斜面。但有时为了反射冲击墙面的波浪,也可将迎水面做成曲线形。
(2)悬臂式墙,通常用钢筋混凝土建筑,墙的迎水面一般为竖直面。
(3)扶壁式墙,即在悬臂式墙的背水面每隔一定距离增设一道扶壁(支墩),以支撑墙面。扶壁式墙通常也是用钢筋混凝土建筑,适用于墙体较高的情况。
为了增加墙体的稳定,在墙的迎水面可设置水平趾板。为了防止墙底受到风浪淘刷,在悬臂式和扶壁式防洪墙迎水面水平趾板的端部可增设垂直齿墙。为了防止防洪墙因温度变化和沉陷影响而产生裂缝,沿防洪墙长度方向每隔15~20m应设一道伸缩缝,缝内应设止水,以防漏水。
除了上述三种基本型式之外,还可采用下列型式的防洪墙:
(1)干砌块石防洪墙。防洪墙的迎水面采用厚度为0.8~2.0m的干砌石层,背水面填土,干砌石层的顶部应高于河道的最高洪水位,其底部应伸入河底以下,以防淘刷。
(2)桩基式防洪墙。当地基为软土,承载力较低时,可将防洪墙修建在桩基上,防洪墙的下部用浆砌石建筑,上部用混凝土建筑,迎水面做成曲线形,以反射冲击墙面的波浪。桩基承台的下面设有排水垫层,墙体内还设有排水孔,以平衡墙体前后的水压力。
(3)阶梯形护岸防洪墙。当河岸较高,上部受风浪冲刷,下部受主流顶冲时,则可采用阶梯形护岸防洪墙,其顶部为防洪墙,中部为砌石护坡,下部则采用抛石、石笼固脚。

