利率风险概述
利率风险的定义:
是指由于利率水平的变化引起金融资产价格变动而可能带来的损失。利率风险是各类金融风险中最基本的风险。
利率风险的成因分析:
商业银行资产负债期限错配使得利率波动会影响到其净利息收入
为保持流动性而导致利率风险
利率风险的类型:
价格风险:市场利率上升导致债券与固定利率贷款的市值下跌
再投资风险:市场利率下降时,金融机构将收入性资金投资于获利较差的盈利性资产
利率风险的度量方法
利率风险衡量的方法主要有:
久期和凸性
利率敏感性缺口
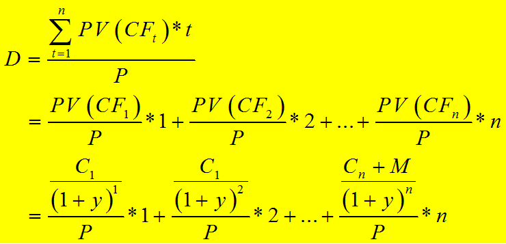
利率风险衡量的久期方法
久期的概念
久期首先由麦考雷(Macaulay)在1938年提出,他使用债券期限的加权平均来计算债券的平均到期时间。实际上,久期度量了收回投资资金所需要的平均时间。

式中,P代表债券的目前价格,PV(Ct)代表债券第t期现金流(利息或本金)的现值。
如果贴现利率是到期收益率(用y表示),则上式变为:

如何理解久期度量了收回投资资金所需要的平均时间?

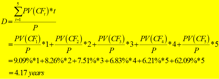
Example:
Suppose a bank grants a five-year loan, annual interest payment of 10%,
face (par) value is 1000, current price is 1000, so the YTM is 10%. The
calculation of duration is like the followings:

Example: The formula with the proper figures entered would be:

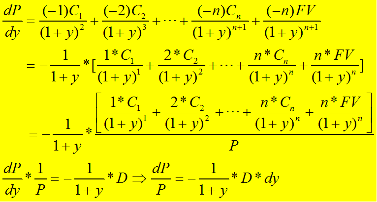
久期与债券价格
The pricing formula of bonds:

First derivative:

债券价格变化、久期与利率变化之间的关系可以表示为:

债券价格对于利率变化的敏感性:

久期与债券价格
久期是债券定价公式的一阶导数
久期度量了收回投资资金所需要的平均时间
久期度量了债券价格对于利率变化的敏感性

