波动方程式的解
薄圆片压电振子的波动方程式的通解为:

其中:k=
/c;J1(kr)为一阶一类贝塞尔函数; Y1(kr)为一阶二类贝塞尔函数。
J1(kr) First order Bessel function of the first kind。
Y1(kr) First order Bessel function of the second kind。
由于圆片中心为节点,Y1在r=0点发散,所以B=0。

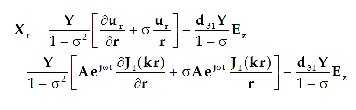
现在来求满足边界条件的解。若薄圆片的边界为机械自由,则在边界上的应力Xr等于零。即:
Xr|a=0
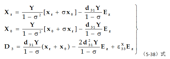
由(5-38)式的第一式:

若电场强度分量为: ![]()
并注意到: 
代入到上式得薄圆片径向伸缩振动的解:

利用边界条件r=a时,Xr|a=0,即可确定任意常数A,由

即得:
(5-43)
将(5-43)式代入到(5-41)式即得满足自由边界条件的解为:
(5-44)
由(5-44)式代表的波形,如图5-8所示。
图 5-8 自由圆片的径向伸缩振动(a)自由圆片中的波形(b)自由圆片的伸缩情况

(a) (b)
r | -a
| 0 | a | |
t=0 |
ur(r,0) |
|
0 |
|
t=π/
|
ur(r,π/
|
|
0 |
|
将(5-43)式代入到(5-42)式即得沿r方向的伸缩应力为:
(5-45)
沿θ方向的伸缩应力为:
(5-46)
沿r方向和θ方向的伸缩应变为:
(5-47)
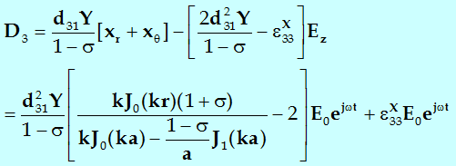
电位移为:


过压电振子电极面的电流I为:![]()
而电极面上的电荷Q为:![]()
积分时注意到:
即得:

于是得到电流为:

压电振子的等效阻抗Z为:

将(5-48)式代入上式得:

薄圆片压电振子的等效阻抗

(5-49)
k=
/c

谐振时压电振子的等效阻抗Z=0,即: G=1/Z=
,这就要求:
![]()
即:

或:

(5-50)
其中:
r=2πfr,fr=谐振频率。
钛酸钡的泊松比约为
=0.30,代入上式:

查贝塞尔函数的数值表,可得上式最小的根为:

由此得到薄圆片压电振子的谐振频率为:










