


图5-3

当外加电场的频率等于压电振子的谐振频率fr时,压电振子的等效导纳为:

等效阻抗Z|fr=0,电流I3=
(实际上I3=极大值)。这种谐振现象与无线电中的LC 串联谐振现象相同。因为LC 串联谐振时,电路中的阻抗=0,电流=
。
所以可以认为谐振时,压电振子在电路中起着一个串联的电容C1和电感L1的作用。在此情况下,压电振子的等效电路如图5-4所示的串联电路。压电振子的谐振频率fr就等于LC串联电路中的谐振频率fs。
谐振时压电振子的等效电路:

图 5-4

当外加电场的频率等于压电振子的反谐振频率fa时,压电振子的等效导纳为:

等效阻抗Z|fa=
,电流I3=0(实际上为电流极小)。这种谐振现象与无线电中的LC 并联谐振现象相同。因为LC 并联谐振时,电路中的阻抗无限大,电流为零。
所以可以认为反谐振时,压电振子在电路中起着一个由电容C0和电感L1以及电容C1相并联的作用。在此情况下,压电振子的等效电路如图5-5所示的LC并联电路。压电振子的反谐振频率fa就等于LC并联电路中的谐振频率fp。

图 5-5
电振子等效电路中的C0、L1和C1与压电常数、介电常数和弹性常数之间的关系:
一方面,压电振子的振动特性是由压电振子的内部矛盾来解决的,即由压电振子的压电常数、介电常数和弹性常数来决定的。
另一方面,压电振子的振动特性又可用LC 串联电路和LC 并联电路反映出来。因此等效电路中的C0、L1和C1与压电常数、介电常数和弹性常数之间存在一定的关联。

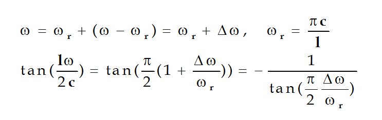
这个联系可通过压电振子的等效阻抗(或等效导纳)与LC电路中的阻抗加以比较而得到。已知压电振子的等效导纳为:


其中:
为分路电容

为分路阻抗
为动态阻抗
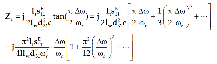
使动态阻抗Z1在谐振频率附近展开,因为

故得:

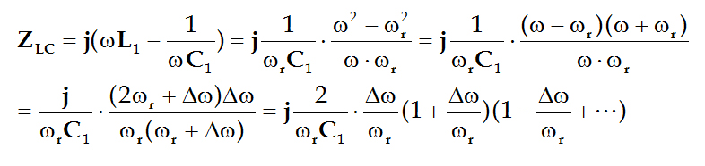
使LC串联阻抗在串联谐振频率:

附近展开得:



LC串联电路:

比较两式可以看出,在谐振频率附近,取一级近似可得动态阻抗等效于(集总参数)LC串联阻抗,其中联系为:

分别给出了压电振子的等效电感、等效电容和压电常数、弹性常数之间的关系。
注意事项:
通过上述讨论使我们对薄长片压电振子的振动特性、等效电路以及有关的压电常数、弹性常数、介电常数和机电耦合系数的测量有了一个较全面的了解。但是应该注意,上述讨论是在压电振子不存在损耗的条件下进行的。而且是在谐振频率附近的近似条件下得到的。
实际上压电振子总是存在损耗的,只是在损耗很小时,才可能将损耗忽略不计,近似认为是无损耗的压电振子。如果压电振子的损耗不能忽略不计,就需要计入损耗的影响,于是问题就比较复杂了。
这里只提出如下两点注意:
(1)在同样大小的外加交变电场E3=E0cos(wt)作用下,有机械损耗的压电振子的振幅比无损耗的压电振子的振幅小一些,这种损耗在等效电路中的反映就是存在等效电阻R1,如图所示。

其中等效电路参数为:

(2)无损耗时,压电振子的谐振频率fr,就等于LC串联电路的谐振频率fs,也等于阻抗最小(电流最大)时的fm。压电振子的反谐振频率fa等于LC并联电路中的谐振频率fp,也等于等效阻抗最大(电流最小)时的测量频率fn,即有:

有损耗时,压电振子的这些频率不再相等,而是:

即有损耗时,实际测量的阻抗最小,电流最大时的频率fm,和阻抗最大,电流最小时的频率fn,既不等于压电振子的谐振频率fr和反谐振频率fa,也不等于LC串联谐振频率fs和LC并联谐振频率fp。
但是当等效电阻R1较小的情况下(即Qm值较高的情况下),fm、fr、fs之间相差较小,fn、fa、fp之间相差也较小。所以实用上常忽略这个差别,近似地认为相等,即:

α石英(点群为32)的压电常数矩阵


