压电效应与压电方程组(二十)
上一节
下一节


设细长杆的长度方向与z轴平行,电极面与z轴垂直。若杆只受到沿z轴方向的应力X3以
及电场E3的作用,在此情况下,杆的内能表示式为:
细长杆压电振子示意图:
选X、E为自变量,描写细长杆的第一类压电方程组为:

代入到内能表达式得:

故得:

再代入到式,即得细长杆长度伸缩振动的机电耦合系数为:

可见电场与形变都沿z方向的细长杆的机电耦合系数与d33成正比,与sE33
X33的根方成反比。

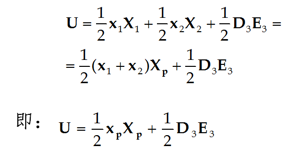
设所研究的晶片为z 切割的薄圆片,并有sE11=sE22,d31=d32,电极面与z轴垂直,晶片只受到应力X1与X2以及电场E3的作用。在此情况下,选X、E为自变量,则第一类压电方程组为:

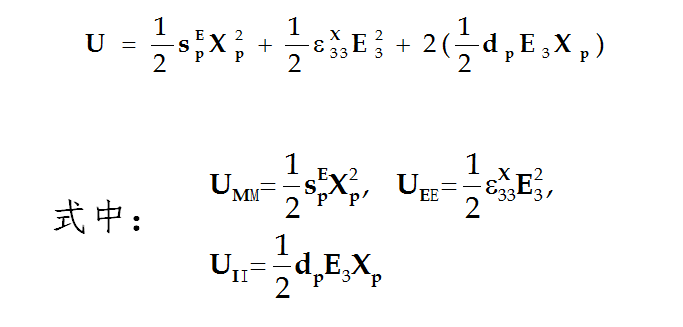
考虑到薄圆片存在sE11=sE22,d31=d32等对称性,因而有X1=X2=Xp,并引入平面应变xp=x1+x2,平面压电常数dp=2d31,平面弹性顺服常数sEp=2(sE11+sE22),利用这些关系,压电方程组可简化为:

薄片的内能表示式为:

将(4-43)式代入(4-44)式可得:

式中kp称为平面机电耦合系数,
=-sE12/sE11称为泊松比,可见平面机电耦合系数kp > k31。
应该注意:因为导出(4-45)式时曾用到sE11=sE22,d31=d32等对称性关系,所以(4-45)式规定的平面机电耦合系数适用范围为:属于四方晶系中的4、4mm点群,三方晶系中的3、3m点群,六方晶系中的6、6mm点群等晶体以及压电陶瓷。


